傳統的生物脫氮工藝基本原理是在二級生物處理過程中,先將有機氮轉化為氨氮,再通過硝化菌和反硝化菌的作用將氨氮轉化為亞硝態氮和硝態氮,最終通過反硝化作用將硝態氮轉化為氮氣完成脫氮。因為硝化與反硝化反應的進行存在相互制約的關系;在有機物大量存在的情況下,自養硝化菌對氧氣和營養物的競爭力不如好養異養菌,無法占據主導地位;反硝化需要有機物作為電子供體,但是硝化過程去除了大量的有機物,導致反硝化過程中碳源缺乏,所以為平衡兩單元的不同需求,發展出多種生物脫氮方法相結合的工藝。
傳統的生物脫氮工藝主要依靠調整工藝流程來緩解硝化菌反應環境和反硝化菌反應環境之間存在的矛盾。如果硝化反應階段在前,則需要外加電子供體例如甲醇等物質,提高了運行費用;如果硝化反應階段在后,則需要將硝化廢水回流,容易產生污泥上浮并且需要提高回流比以獲得更高的去除率。這個矛盾在處理氨氮濃度較低的市政廢水中尚不明顯,但在處理垃圾滲濾液、畜牧廢水等高濃度氨氮廢水時,極大的限制了系統脫氮效率。
近年來通過理論研究和實踐創新,人們發現了一些與傳統生物脫氮理論相反的生物脫氮方法,如SND工藝、SHARON工藝、ANAMMOX工藝、SHARON-ANAMMOX組合工藝、OLAND工藝、CANON工藝。
1、同步硝化反硝化(SND)脫氮工藝
根據傳統生物脫氮理論,脫氮途徑一般包括硝化和反硝化兩個階段,硝化和反硝化兩個過程需要在兩個隔離的反應器中進行,或者在時間或空間上造成交替缺氧和好氧環境的同一個反應器中;實際上,較早的時期,在一些沒有明顯的缺氧及厭氧段的活性污泥工藝中,人們就層多次觀察到氮的非同化損失現象,在曝氣系統中也曾多次觀察到氮的消失。在這些處理系統中,硝化和反硝化反應往往發生在同樣的處理條件及同一處理空間內,因此,這些現象被稱為同步硝化/反硝化(SND)。
對于各種處理工藝中出現的SND現象已有大量的報道,包括生物轉盤、連續流反應器以及序批示SBR反應器等等。與傳統硝化-反硝化處理工藝比較,SND能有效地保持反應器中pH穩定,減少或取消堿度的投加;減少傳統反應器的容積,節省基建費用;對于僅由一個反應池組成的序批示反應器來講,SND能夠降低實現硝化-反硝化所需的時間;曝氣量的節省,能夠進一步降低能耗。
因此SND系統提供了今后降低投資并簡化生物除氮技術的可能性。
2、短程硝化脫氮(SHARON)工藝
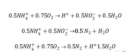
SHARON工藝即短程硝化脫氮工藝,是荷蘭Delft技術大學1997年提出開發的新型生物脫氮工藝。基本原理是在同一個反應器內,在有氧的條件下,自養型亞硝酸菌將NH3-N轉化為NO2-,然后在缺氧條件下,異養型反硝化菌以有機物為電子供體,以NO2-為電子受體,將NO2-轉化為N2。其理論基礎是亞硝酸型硝化反硝化技術,生化反應可用下式表示

該工藝的關鍵是如何將氨氧控制在亞硝酸階段,并持久維持在較高濃度的亞硝酸鹽積累。
該工藝使用無需污泥停留的CSTR反應器,在較短的HRT和30~40攝氏度的條件下,通過“洗泥”的方式進行種群篩選,產生大量的亞硝酸菌。SHARON工藝適用于高濃度氨(500mg/L)廢水的處理,尤其適用于具有脫氨要求的預處理或旁路處理。該工藝與傳統工藝相比可節省供氧量25%,可節省反硝化碳源40%。
3、厭氧氨氧化(ANAMMOX)工藝
ANAMMOX工藝是荷蘭Delft大學1990年提出的一種新型脫氮工藝。在厭氧條件下,微生物以NH3-N為電子供體,NO2-為電子受體,把NH3-N、NO2-轉化為N2的過程。其生化反應可由下式表示

厭氧氨氧化過程中起作用的微生物是ANAMMOX菌。該菌是專性厭氧化學無機自養細菌,生長十分緩慢,在實驗室的條件下世代期為2~3周,厭氧氨氧化過程的生物產量很低,相應污泥產量也很低。
ANAMMOX工藝的影響因素主要集中在系統環境對ANAMMOX菌的抑制。主要影響因素包括反應器的生物量、基質濃度、ph值、溫度、水力停留時間和固體停留時間等。
該工藝相比傳統的脫氮過程,耗氧下降62.5%,不需要外加碳源,節約成本,不需調節ph值降低運行費用。但是也存在不足:工藝還沒有實現實用化和長期穩定運行,ANAMMOX菌生長緩慢,啟動時間長,為保持反應器內足夠多的生物量,需要有效的截留污泥等。具體聯系污水寶或參見http://m.dongaorq.cn更多相關技術文檔。
4、亞硝酸型硝化-厭氧氨氧化脫氮(SHARON-ANAMMOX)技術
SHARON工藝可以通過控制溫度、水力停留時間、pH 等條件,使氨氧化控制在亞硝化階段。目前盡管SHARON工藝以好氧/厭氧的間歇運行方式處理富氨廢水取得了較好的效果,但由于在反硝化期需要消耗有機碳源,并且出水濃度相對較高,因此目前很多研究改為以SHARON工藝作為硝化反應器, 而ANAM MOX工藝作為反硝化反應器進行組合工藝的研究。通常情況下SHARON工藝可以控制部分硝化,使出水中的NH3-N與NO2-比例為 1∶1 , 從而可以作為ANAMMOX工藝的進水,組成一個新型的生物脫氮工藝,其反應如下式所示

SHARON -ANAM MOX的組合工藝具有耗氧量少、污泥產量少、不需外加碳源等優點,是迄今為止最簡捷的生物脫氮工藝,具有很好的應用前景。
5、限制自養硝化反硝化(OLAND)工藝
根據亞硝酸型硝化—厭氧氨氧化脫氮技術原理,比利時Gent大學微生物生態實驗室開發出OLAND工藝(限制自養硝化反硝化) ,具有耗氧量少、污泥產量少、不需外加碳源等優點。
OLAND工藝是限氧亞硝化與厭氧氨氧化相耦聯的一種新穎的生物脫氮反應工藝,該工藝分兩個過程進行:第一步是在限氧條件下將廢水中的部分氨氮氧化為亞硝酸鹽氮:第二步是在厭氧條件下亞硝酸鹽氮與剩余氨氮發生厭氧氨氧化反應(ANAMMOX),從而去除含氮污染物。其機理是由亞硝化細菌對亞硝酸鹽氮催化進行歧化反應。總反應式為:

該工藝的核心技術是在限養亞硝化階段通過嚴格控制溶解氧水平,將近50%的NH3-N轉化為NO2-,實現硝化階段穩定的出水比例[NH3-N:NO2-=1:1],從而為厭氧氨氧化階段提供理想的進水,提高整個工藝的脫氮效率。
相比傳統工藝,OLAND工藝可以節省62.5%的耗氧量,不需要加入外加有機碳源,產生的污泥量也很少,可有效減低運行成本。與SHARON-ANAMMOX組合工藝相比,可節省37.5%的能耗,在較低溫度(22~30攝氏度)仍可獲得較好的脫氮效果,在兩階段懸浮式生物膜脫氮系統中,內浸式生物膜的加入克服了SHARON-ANAMMOX組合工藝中生物量流失的缺點,避免了硝化階段的微生物對 厭氧氨氧化階段微生物的影響,使反應過程更加容易控制,增加了脫氮反應過程的穩定性。
OLAND工藝在混合菌群連續運行的條件下尚難以對氧和污泥的pH值進行良好的控制,若工藝運行過程中可以通過化學計量方法合理地控制氧的供給則可有效地控制在亞硝化階段。同時,該工藝僅在生物膜系統中獲得了良好的效果,在懸浮系統中低氧下活性污泥的沉降性、污泥膨脹以及同步硝化反硝化等問題仍有待于進一步研究與完善。在實際應用中,由于厭氧氨氧化階段的生物量生長非常緩慢,同SHARON-ANAMMOX組合工藝一樣仍然存在著啟動時間長的問題(>=100 d)。
6、單級全程自養脫氮(CANON)工藝
1999年THIRD K A等首先提出,CANON是一種基于亞硝酸氮的單級全程自養脫氮工藝,其理論基礎是在一體化反應器體系內同時實現半短程硝化與厭氧氨氧化反應。在生物膜表面或顆粒污泥表面,由于處于低溶解氧環境,部分氨氮在氨氧化菌的作用下被氧化成亞硝酸氮;在生物膜內部或顆粒污泥內部,由于處于厭氧環境,產生的亞硝酸氮和剩余氨氮在厭氧氨氧化 菌的作用下反應生成氮氣,并產生很少量的硝酸氮,從而實現氨氮從廢水中的去除。
該工藝去除氨氮的影響因素有溫度、DO、ph值、水中游離氨(FA)、有機物、重金屬離子、重金屬沉淀物等。CANON工藝雖然革新了傳統生物脫氮的思路,但要大規模工程化還存在一些局限性。例如啟動周期長,厭氧氨氧化反應階段的功能菌 AnAOB增殖緩慢,世代時間為7~14 d,是反硝化菌的幾十倍,因此富集培養困難,世界上第一個生產性裝置啟動時間長達3.5年;其次溫度要求高,現已報道的CANON 工藝基本都是30 ℃以上,并不是所有廢水都能達到該標準,若加熱勢必會帶來能耗增加,運行易失穩,由于亞硝酸鹽積累而進行排泥,結果降低了反應器的生物質濃度 造成系統失穩;還會排放溫室氣體N2O。
CANON 工藝是迄今為止更為新型的生物脫氮方法,與傳統的生物脫氮工藝相較有明顯的優勢,因而有廣闊的應用前景,目前CANON已逐步向實際工程推進,但作為一項新型脫氮工藝,其還存在一些問題尚需改進與解決。(來源:環保工程師)


