我國城市生活污水處理廠多采用傳統硝化反硝化工藝脫氮, 但由于城市生活污水中碳源有限, 需要投加外碳源確保出水氮素達標, 增加了處理成本.因此, 開發相對經濟高效的城市生活污水的脫氮技術具有重要意義.
在可將氨氮和亞硝氮轉化為氮氣自養厭氧氨氧化被發現前, 異養反硝化被認為是將硝氮/亞硝氮轉化為氮氣的唯一途徑.相比反硝化, 厭氧氨氧化能減少能耗和污泥產量, 被視為低碳氮比污水(如城市生活污水)更經濟高效的脫氮途徑.雖然厭氧氨氧化在城市污水中的應用面臨著諸多挑戰,但厭氧氨氧化菌卻廣泛存在于城市生活污水處理廠中, 我國北方的5座城市污水處理廠均檢測到了厭氧氨氧化菌.此外, 在紐約一污水處理廠中, 其缺氧段攪拌槳上自發富集了大量的厭氧氨氧化菌, 該污水處理廠脫氮性能也明顯變好.厭氧氨氧化菌或具有在污水處理系統中自發富集從而強化污水處理系統脫氮性能的潛能.因此, 富集城市污水處理系統中已存在的厭氧氨氧化菌, 部分總氮通過厭氧氨氧化去除(部分厭氧氨氧化), 從而強化傳統城市污水處理系統脫氮有潛在的可能性.而目前也鮮少有利用城市生活污水處理廠中已存在的厭氧氨氧化菌強化脫氮的研究.
生長緩慢的厭氧氨氧化菌偏向于在聚集體中生長(如生物膜), 投加填料(載體)是富集厭氧氨氧化菌的有效手段之一.因此, 向傳統污水處理反應器中投加填料構成懸浮載體雙污泥系統或具有富集厭氧氨氧化菌的潛能.常見的懸浮載體雙污泥反應器形式有生物膜流化床反應器(BFB)、生物膜升流式反應器(USB)、生物膜氣升式反應器(BAS)和生物膜移動床反應器(MBBR).
本研究通過向后置反硝化SBR中投加填料構建了缺氧MBBR.通過監測缺氧MBBR長期進出水氨氮、硝氮和亞硝氮, 分析其脫氮性能.然后結合活性小試進一步分析厭氧氨氧化是否在缺氧MBBR中存在并對總氮去除有貢獻.最后通過實時定量PCR對絮體污泥及缺氧填料生物膜進行厭氧氨氧化菌的測定, 分析厭氧氨氧化菌豐度的動態變化.
1 材料與方法
1.1 缺氧MBBR反應器的裝置及運行
缺氧MBBR反應器是由機玻璃制成的SBR反應器, 反應器包裹有黑色PVC材料進行避光, 是由缺氧填料生物膜和絮體污泥組成的反硝化雙污泥系統(圖 1).缺氧MBBR的有效容積為9 L/10 L, 其中1 L為填料的體積, 即有效液體容積為8 L/9 L.投加的填料為聚丙烯環, 直徑為25 mm, 密度為0.98~1.00 g ·cm-3, 孔隙率為94%~96%, 填充比為33.3%.配備兩個進水箱分別盛放城市生活污水和A/O硝化液.進水通過兩個蠕動泵來完成, 排水由時控開關和電磁閥控制.
圖 1

缺氧MBBR在室溫(16~25℃)下運行了250 d, 處理實際生活污水和A/O硝化液, 運行參數如表 1所示.缺氧MBBR一天運行兩個周期, 每周期包括6階段:進硝化液、進生活污水、缺氧攪拌反應、沉淀、排水和靜置.根據每周期實際生活污水COD投加乙酸鈉, 調節反應器進水后混合初始碳氮比(COD/TN)約為2.

表 1 缺氧MBBR運行參數
1.2 接種污泥和實驗用水
缺氧MBBR是雙污泥系統, 接種污泥包括絮體污泥和缺氧填料生物膜.絮體污泥使用相同A/O反應器的硝化液培養并以乙酸鈉為碳源.缺氧填料生物膜來自于處理實際生活污水的AAO工藝的缺氧區, 缺氧填料生物膜具有良好的完全反硝化性能.
實驗用水為來自于北京某大學家屬區的實際生活污水以及處理同一生活污水的A/O硝化液.水質參數指標見表 2.
表 2 進水水質

1.3 活性小試實驗
1.3.1 原位硝化活性小試
在缺氧MBBR中進行了原位硝化活性小試, 測定在僅攪拌的條件下氨氮氧化活性, 分為兩部分:進水僅為生活污水的小試和進水中無可生化碳源的小試.
在進水僅為生活污水的小試中, 缺氧MBBR的進水為0.6 L生活污水和2.4 L蒸餾水(替代A/O硝化液).在進水中無可生化碳源的小試中, 進水為0.6 L的65mg ·L-1氯化銨溶液(替代生活污水)和2.4 L的A/O硝化液.原位硝化活性小試缺氧攪拌6 h, 小試過程中監測DO在0.0~1.0mg ·L-1變化, 取得的水樣均測定氨氮、亞硝氮及硝氮.
1.3.2 異位厭氧氨氧化活性小試
缺氧MBBR反應器的厭氧氨氧化活性在500 mL的密封的棕色反應器中進行了8 h, 按照缺氧MBBR的填充比, 取絮體污泥和反硝化填料.厭氧氨氧化活性小試在30℃的水浴中進行, 一次投加15 mg ·L-1的氨氮, 亞硝氮在0 h和4 h分兩次投加, 每次投加5 mg ·L-1.本實驗用水均為曝氮氣的無氧蒸餾水, 確保反應在密封無DO環境中進行, 所取水樣測定氨氮、亞硝氮及硝氮.
1.4 分析方法
從缺氧MBBR中定期取得的水樣, 用中速定性濾紙過濾后使用Lachat QuikChem 8500流動注射分析儀(Lachat QuikChem 8500, Lachant, USA)測定水中的氨氮、亞硝氮和硝氮.本研究中總氮為氨氮、亞硝氮和硝氮之和. COD測定使用一種快速測定裝置(Lianhua, China).污泥濃度(MLSS)根據標準方法來測定.同時使用WTW mulit 340i離子計(WTW, Germany)來監測水溫、DO和pH.缺氧填料生物膜的形態通過OLYMPUS_BX51光學顯微鏡(Olympus, Japan)觀察.
1.5 DNA的提取和實時定量PCR
分別取0、64、100、211和246 d的絮體污泥和缺氧填料生物膜泥樣凍干后提取DNA.每個干污泥樣品稱取0.05~0.10 g, 使用試劑盒(Fast DNA Spin kit for soil, MP, USA)對DNA進行提取, 提取后的DNA通過Nanodrop Spectrophotometer ND-1000 (Thermo Fisher Scientific, , USA)測量核酸濃度及純度.提取后的DNA在-80℃下儲存.
采用特異性引物對全菌和厭氧氨氧化菌的16S rRNA進行QPCR擴增.反應在Mx3005P實時定量PCR擴增儀(Agilent Technologies, USA)上進行, 采用試劑盒(SYBR Premix Ex Taq kit, TaKaRa, Japan)進行反應, 體系為20 μL包括10 μL的SYBR緩沖液, 正反向引物各0.3 μL (全菌0.2 μL), 0.3 μL ROX(全菌0.4 μL), DNA模板2 μL, 一定量的ddH2O.實時定量PCR程序見表 3.
表 3 實時定量PCR擴增程序及特異性引物

2 結果與討論
2.1 缺氧MBBR長期脫氮性能
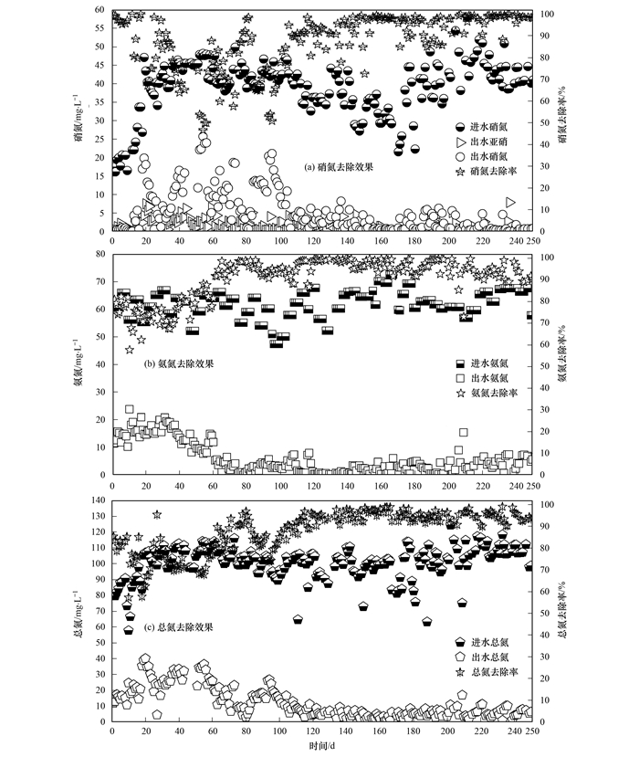
缺氧MBBR在室溫下(16~25℃)運行了250 d, 處理實際生活污水和A/O反應器硝化液, 其脫氮性能如圖 2所示.
圖 2

2.1.1 硝氮去除性能
缺氧MBBR經過一段時間的運行后表現出了相對穩定且高效的硝氮去除性能[圖 2(a)]. 1~31 d進水硝氮濃度從16mg ·L-1逐漸增長為45 mg ·L-1, 起初出水中基本無硝氮, 但當進水硝氮濃度高于25 mg ·L-1時, 出水硝氮不斷積累. 32~106 d, 進水硝氮濃度穩定在(43.2±2.9) mg ·L-1, 出水硝氮濃度不斷增長并在54 d時達到峰值25.7mg ·L-1. 55~92 d出水硝氮濃度逐漸降至10mg ·L-1以下, 平均出水硝氮濃度為9.6 mg ·L-1.但由于季節原因遭遇了降溫, 出水硝氮濃度由83 d時的4.3 mg ·L-1逐漸增長至94 d時的21.1 mg ·L-1.在沒有采取調控手段的情況下, 硝氮去除性能在95 d時開始好轉, 逐漸恢復了較好的硝氮去除效果. 100~106 d的出水平均硝氮濃度僅為(6.3±4.0)mg ·L-1, 硝氮去除效率為(89.8±4.2)%.這表明缺氧MBBR具有對降溫有一定的適應性.從107 d起缺氧MBBR始終表現出穩定高效的硝氮去除性能. 107~166 d的平均進水硝氮濃度為(35.5±4.5)mg ·L-1.出水中硝氮和亞硝氮濃度分別為(2.5±1.3)mg ·L-1和(1.1±1.3) mg ·L-1, 平均硝氮去除效率達到(92.8±5.9)%.從167 d起將反應時間縮短為4 h, 硝氮去除性能基本沒有被影響. 167~202 d的平均進水硝氮濃度為(38.9±9.2)mg ·L-1, 出水中硝氮和亞硝氮的濃度分別為(2.6±2.0)mg ·L-1和(0.8±1.3)mg ·L-1, 平均硝氮去除率為(93.5±4.9)%. 203~250 d提高了處理負荷, 增大污水處理量, 將排水比由33.3%提高為40%(表 1).平均進水硝氮濃度為(44.1±4.5)mg ·L-1, 出水硝氮和亞硝氮的濃度分別降為(0.9±1.1)mg ·L-1和(0.5±1.4)mg ·L-1, 平均硝氮去除效率高達(97.7±2.9)%.
在缺氧MBBR中, 通過投加乙酸鈉調節混合初始碳氮比(COD/TN)約為2, 而此碳氮比對于反硝化是不充足的.在缺氧MBBR啟動初期出水硝氮的不斷積累便是由于碳源的不足, 而硝氮的去除性能在沒有增大碳氮比的情況下不斷提高, 167~250 d的平均硝氮去除率達到了(97.7±2.9)%.這說明缺氧MBBR中可能存在碳源需求少的其他脫氮途徑.具體聯系污水寶或參見http://m.dongaorq.cn更多相關技術文檔。
2.1.2 氨氮去除性能
缺氧MBBR中的氨氮由生活污水提供, 在運行一段時間后表現出高效穩定的氨氮去除性能.運行中平均進水氨氮濃度為(61.9±5.0)mg ·L-1. 1~31 d出水氨氮逐漸積累, 31 d時出水氨氮濃度達到了20.8mg ·L-1.從32 d起出水氨氮濃度表現出穩定的下降趨勢, 70 d時出水氨氮濃度僅1.8mg ·L-1.此后出水氨氮濃度均維持在一個較低的水平. 71~106 d出水氨氮的濃度穩定在(2.7±1.4)mg ·L-1, 平均氨氮去除率為(94.6±2.8)%. 83 d開始的降溫使得出水氨氮有小幅上升, 但同硝氮去除性能一起最終得以恢復. 107~166 d的平均出水氨氮濃度進一步降低到(1.9±2.1)mg ·L-1, 平均氨氮去除率高達(97.1±3.3)%.縮短反應時間對氨氮的去除也基本無影響, 167~202 d的平均出水氨氮濃度小幅上升為(2.2±1.7)mg ·L-1, 平均氨氮去除率為(96.4±2.8)%.即使203~250 d提高負荷時, 平均出水氨氮濃度仍能維持在(4.5±1.1)mg ·L-1, 平均氨氮去除率為(93.3±2.9)%.
2.1.3 總氮去除性能
出水中的總氮主要為氨氮和硝氮, 其去除性能變化趨勢與氨氮和硝氮變化趨勢基本相同, 即出水總氮濃度先上升后下降, 遭遇降溫后惡化并恢復, 最終維持在較低的濃度.穩定后的總氮去除性能令人滿意. 107~166 d的平均出水總氮濃度和去除率分別為(5.3±2.8)mg ·L-1和(94.6±3.0)%; 167~202 d的平均出水總氮濃度和去除率分別為(4.9±2.6)mg ·L-1和(94.4±1.8)%; 203~250 d的平均出水總氮濃度和去除率分別為(5.9±2.7)mg ·L-1和(94.3±2.7)%.
缺氧MBBR經過一段時間的運行后獲得了良好的脫氮性能, 出水的氨氮和總氮都達到了一級A排放標準(GB 18918-2002), 出水總氮在5 mg ·L-1左右, 實現了城市生活污水深度脫氮.
2.2 氨氮去除途徑分析
缺氧MBBR實現了氨氮和硝氮的同步去除.硝氮主要通過缺氧反硝化去除, 而在反硝化的過程中還伴隨著氨氮的同化作用.根據乙酸鈉為碳源的完全反硝化化學方程式, 氨氮的同化量為硝氮反硝化量的0.167.以107~202 d為例, 其平均硝氮去除速率為(1.5±0.7)mg ·(L ·h)-1, 則理論氨氮的同化速率為(0.2±0.1)mg ·(L ·h)-1, 遠小于107~202 d實際平均氨氮去除速率[(0.8±0.3)mg ·(L ·h)-1].因此, 同化作用不是缺氧MBBR中氨氮去除唯一途徑, 還存在其他氨氮轉化途徑.
由于缺氧MBBR不密封, 難以避免攪拌帶入水中的DO, 所以硝化也可能是氨氮轉化的途徑.于是在缺氧MBBR中進行了原位硝化活性小試(圖 3), 但沒有觀察到明顯的氨氮下降現象.在進水僅為生活污水的硝化活性小試中[圖 3(a)], 氨氮僅降低了不足1.0mg ·L-1; 而在與實際運行狀態更接近的進水中不含可生化碳源的硝化活性小試中[圖 3(b)], 氨氮甚至出現了小幅的升高(1.5mg ·L-1).這說明缺氧MBBR中雖存在硝化反應但作用較為微弱.此外, 考慮到同化作用造成的理論氨氮去除后, 107~202 d的平均氨氮去除速率為(0.6±0.3)mg ·(L ·h)-1, 若全部通過硝化作用轉化, 相應的平均理論氧氣消耗量為(2.6±1.3)mg ·(L ·h)-1.然而缺氧MBBR反應階段的DO是有限的(DO≤0.05mg ·L-1), 部分異養菌也會和硝化細菌競爭氧氣, 僅攪拌帶入的DO難以滿足上述的硝化反應.因此, 推斷硝化作用不是缺氧MBBR中氨氮去除現象的主要原因.
圖 3

在硝氮去除性能的分析中推測缺氧MBBR中可能存在反硝化以外的脫氮途徑, 結合氨氮去除現象, 推測缺氧MBBR中存在厭氧氨氧化反應.為了驗證厭氧氨氧化的存在, 取絮體污泥和缺氧填料生物膜混合進行了異位厭氧氨氧化活性小試, 結果如圖 4所示.氨氮與亞硝氮同步減少, 當亞硝氮耗盡時氨氮也不變; 再次投加亞硝氮后氨氮重新開始隨亞硝氮一同減少.以240~300 min的數據計算得ΔNO2--N/ΔNH4+-N和ΔNO3--N/ΔNH4+-N為1.53和0.12, 與厭氧氨氧化反應的理論化學計量關系1.32和0.26相近, 是比較典型的厭氧氨氧化現象.厭氧氨氧化活性小試有力地支撐了缺氧MBBR中存在厭氧氨氧化反應.此外, 在缺氧填料生物膜也觀察到靠近載體的生物膜中分布有暗紅色的顆粒, 而富含亞鐵血紅素C的厭氧氨氧化菌也呈暗紅色.因此, 缺氧MBBR中氨氮的去除有厭氧氨氧化的作用, 即缺氧MBBR中存在部分厭氧氨氧化.結合缺氧MBBR表現出的高效穩定的脫氮性能, 厭氧氨氧化對脫氮或有不可忽視的貢獻.
圖 4

2.3 厭氧氨氧化菌的實時定量PCR結果
缺氧MBBR中存在厭氧氨氧化反應, 而厭氧氨氧化由厭氧氨氧化菌參與完成.為了進一步了解缺氧MBBR中的厭氧氨氧化, 對0、64、100、211和246 d的絮體污泥和缺氧填料生物膜分別進行了總菌及厭氧氨氧化菌的16S rRNA實時定量PCR, 結果如圖 5所示.實時定量PCR結果表明, 厭氧氨氧化菌在缺氧MBBR中富集, 尤其是在缺氧填料生物膜中.
圖 5

厭氧氨氧化菌在缺氧填料生物膜中富集.厭氧氨氧化菌豐度由0 d的4.37×107 copies ·g-1增長到了246 d的2.28×1010 copies ·g-1, 相對豐度也由0.01%增至7.21%.缺氧填料生物膜的厭氧氨氧化菌豐度均呈增長趨勢, 尤其是從211~246 d厭氧氨氧化菌相對豐度由1.93%增長至7.21%.在絮體污泥中也觀察到了厭氧氨氧化菌的富集, 但絮體中厭氧氨氧化菌相對豐度始終較低, 且厭氧氨氧化豐度均大幅低于同一時間的缺氧填料生物膜. 211 d時絮體污泥中厭氧氨氧化菌豐度最高, 厭氧氨氧化菌豐度及相對豐度分別為4.75×107 copies ·g-1和0.02%, 遠低于此時缺氧填料生物膜中的6.86×109copies ·g-1和1.93%.此外, 由于絮體污泥齡由22 d減少為13 d(表 1), 在246 d時絮體污泥中厭氧氨氧化菌豐度減少到了3.08×107 copies ·g-1, 絮體污泥中世代周期長的自養細菌(如厭氧氨氧化菌)被淘洗, 但缺氧填料生物膜中厭氧氨氧化菌仍然繼續增長.生物膜具有獨特分層結構能為不同生態生理特征的微生物提供生存機會.一般而言, 生長速率更快的微生物如異養菌會長在生物膜的外層, 而生長速率較慢的微生物例如厭氧氨氧化菌更偏向于生長于生物膜內層.內層細菌不易受外界剪切力影響和被淘洗, 有利于其持留.無論從厭氧氨氧化菌的富集程度還是抗環境沖擊能力, 缺氧填料生物膜在缺氧MBBR的厭氧氨氧化菌富集中起著重要作用.
3 結論
(1) 缺氧MBBR在250 d長期運行中表現出穩定高效的脫氮性能, 出水總氮在5mg ·L-1左右, 實現了城市生活污水的深度脫氮.
(2) 缺氧MBBR中存在厭氧氨氧化反應, 結合長期脫氮性能與活性測試, 厭氧氨氧化有不可忽視的貢獻, 實現了部分厭氧氨氧化脫氮.
(3) 厭氧氨氧化菌在缺氧MBBR中富集, 尤其是在缺氧填料生物膜中.缺氧填料生物膜中厭氧氨氧化菌相對豐度由0.01%增長到了7.21%.缺氧填料生物膜在厭氧氨氧化菌富集中有重要作用.(來源:環境科學 作者:楊嵐)


