揮發性有機物是指在標準大氣壓(101.3 kPa)下沸點低于250℃的有機化合物, 可分為鹵代有機物、單環芳烴、有機硫化物和亞砜、苯系物、三鹵甲烷、丙酮和酯類等多個類別.盡管VOCs具有較高揮發性和較低水溶性, 但其經常在水中被檢出, 包括地表水、地下水、污水、飲用水和融化雪水等多種水體中都有報道.在水中檢出率較高的VOCs主要是鹵代烴類化合物(如二氯甲烷、三氯甲烷、一溴二氯甲烷和二溴一氯甲烷等)和苯系物(如苯、甲苯、乙苯和二甲苯等).研究表明, 許多VOCs(尤其是鹵代VOCs)屬于有毒有害污染物, 具有致癌、致畸或致突變等毒性效應, 即使在濃度很低的情況下仍會對人類健康產生不利的影響.
飲用水的水質安全問題一直是環保工作者和公眾關注的焦點, 鑒于飲用水中VOCs的普遍檢出及其對人類健康的潛在危害, 近年來飲用水中VOCs的研究已成為環境領域的研究熱點.然而, 這些研究大多數只關注自來水廠出廠水中VOCs的賦存狀態, 而缺少對飲用水輸送管網中VOCs存在情況的研究.本研究采用吹掃捕集-氣相色譜質譜聯用(T & P-GC/MS)的方法對城市自來水管網中的VOCs進行檢測分析, 旨在對中國2座沿海城市(S市和L市)自來水管網中VOCs的賦存狀態進行調查并對其進行健康風險評估, 同時對VOCs在自來水管網中的分布特征和規律進行研究, 以期為了解我國城市飲用水的輸送安全性提供基礎數據.
1 材料與方法 1.1 標準品與試劑
本研究選擇了47種VOCs作為目標化合物, 這些目標VOCs只屬于鹵代烴類化合物和苯系物2類.鹵代烴類化合物有22種, 分別為:1, 1-二氯乙烷、1, 2-二氯丙烷、1, 1, 1-三氯乙烷、1, 1, 2-三氯乙烷、1, 2, 3-三氯丙烷、四氯化碳、1, 1, 1, 2-四氯乙烷、1, 2-二溴-3-氯丙烷、1, 1-二氯乙烯、順式-1, 2-二氯乙烯、反式-1, 2-二氯乙烯、1, 1-二氯丙烯、順式-1, 3-二氯丙烯、反式-1, 3-二氯丙烯、三氯乙烯、四氯乙烯、二溴甲烷、1, 2-二溴乙烷、一溴二氯甲烷、二溴一氯甲烷、三溴甲烷和六氯丁二烯; 苯系物有25種, 分別為:苯、甲苯、乙苯、鄰二甲苯、對二甲苯、間二甲苯、1, 2, 4-三甲基苯、1, 3, 5-三甲基苯、正丙苯、異丙基苯、對異丙基甲苯、正丁基苯、仲丁基苯、叔丁基苯、氯苯、2-氯甲苯、4-氯甲苯、1, 2-二氯苯、1, 3-二氯苯、1, 4-二氯苯、1, 2, 3-三氯苯、1, 2, 4-三氯苯、溴苯、萘和苯乙烯.
VOCs混合標準品(純度>98.0%)與H同位素標記物(對溴氟苯)均購自美國AccuStandard公司, 甲醇(HPLC級)購買于美國Fisher Scientific公司, 抗壞血酸(優級純)和鹽酸(優級純)均購自國藥集團化學試劑有限公司, 實驗所用超純水取自美國Millipore超純水機(MA, USA).
1.2 樣品的采集與處理
于2016年5月對中國2座沿海城市(S市和L市)共計4個自來水廠的管網水進行了采集, S市采集了13個水樣:1個自來水廠出廠水(S-a)和12個管網水(S2~S13), L市采集了14個水樣:3個自來水廠出廠水(L-a、L-b和L-c)和11個管網水(L2~L5、L7~L10和L12~L14), 其采樣點分別如圖 1和圖 2所示.采樣時, 水樣緩慢注入已預先加入25 mg抗壞血酸的40 mL VOCs棕色樣品瓶中至水樣充滿整個采樣瓶以確保樣品瓶頂部不留任何空間, 然后迅速且同時加入50 μL 6 mol·L-1鹽酸水溶液和20 μL 2.5 mg·L-1對溴氟苯溶液, 擰緊瓶蓋.采集好的水樣存放在4℃的冰箱中, 并在14 d內完成水樣的分析.
S市自來水廠(其出廠水為S-a)采用的是深度水處理工藝, 工藝流程為預氧化、混凝沉淀、過濾、臭氧、活性炭和加氯消毒, 預氧化劑為氯胺, 混凝劑為聚合硫酸鋁溶液, 氯消毒劑為次氯酸鈉, 日常投加量需保證出廠水中余氯量為0.80~1.20 mg·L-1; L市1號自來水廠(其出廠水為L-a)采用的是常規水處理工藝, 工藝流程為預氧化、混凝沉淀、過濾和加氯消毒, 預氧化工藝為預氯化, 混凝劑為聚合氧化鋁溶液, 氯消毒劑的日常投加量為3.00~4.00 mg·L-1, 保證出廠水中余氯量為0.50 mg·L-1; L市2號自來水廠(其出廠水為L-b)和3號自來水廠(其出廠水為L-c)均采用的是深度水處理工藝, 工藝流程為預氧化、混凝沉淀、過濾、臭氧、活性炭和加氯消毒, 預氧化劑為氯和臭氧, 而L市2號自來水廠和3號自來水廠所用的混凝劑、氯消毒劑以及出廠水中余氯量均與L市1號自來水廠保持一致.同時, 本研究對4個自來水廠的原水進行了采集, 所采集的水樣經0.45 μm玻璃濾膜過濾后用于無機陰離子(F-、Cl-、Br-、NO2-、NO3-和SO42-)、溶解有機碳(DOC)和UV254分析.比紫外吸光度(SUVA)是UV254與DOC的比值, 用于表征水中有機物親疏水特性, SUVA值越小表示其水樣中親水性物質越多[14]. 4個自來水廠原水的基本水質參數列在表 1中.
1.3 分析儀器條件及參數
采用吹掃捕集-氣相色譜質譜聯用儀(T & P-GC/MS)對水中VOCs進行定量分析, 吹掃捕集(purge and trap, P & T)裝置為美國Tekmar公司的3100型, 氣相色譜/質譜聯用儀(GC/MS)為美國安捷倫公司的6890N/5973MSD系列.用氣密注射器(25 mL, 安捷倫公司)準確吸取20 mL水樣注入到P & T的吹掃管中, 以高純氮氣進行吹掃捕集后進行GC/MS分析. VCOs測定的儀器條件及參數詳見文獻.
原水水樣的無機陰離子(F-、Cl-、Br-、NO2-、NO3-和SO42-)、DOC和UV254分別采用ICS-1500離子色譜儀(美國Dionex公司)、Fusion TOC總有機碳分析儀(美國Teledyne Tekmar公司)和HACH DR5000紫外分光光度計(美國HACH公司)測定, 具體分析方法參照文獻[16].
1.4 方法的線性、檢出限和回收率
為了消除干擾, 本文采用內標法定量.本研究所用實驗方法線性良好, 在線性范圍內絕大多數目標化合物的相關系數(R2)在0.95以上, 檢出限均在0.200 μg·L-1以下, 最低可低至0.005 μg·L-1(苯乙烯), 回收率范圍為90%~117%, 可用于水中痕量VOCs的測定.
1.5 健康風險評價
采用US EPA推薦的健康風險評價模型及相關參數來評估自來水管網中檢出VOCs的健康風險.健康風險分別采用致癌風險和非致癌風險進行表征, 其計算方法如下:

式中, CDI為每日單位體重攝入量[mg·(kg·d)-1], SF為污染物的致癌斜率因子(kg·d·mg-1), RfD為污染物的非致癌參考劑量[mg·(kg·d)-1].
飲水途徑暴露計算CDI的公式為:
式中, c為水中化學物質的質量濃度(mg·L-1), DR為日飲用水攝入量(2 L·d-1), EF為暴露頻率(365 d·a-1), ED為暴露持續時間(70 a), BW為平均體重(70 kg), AT為平均暴露時間(25 550 d).
US EPA對LCR提出了介于10-6~10-4的潛在致癌風險區間, LCR<10-6時表示致癌風險可以忽略, LCR>10-4時表示致癌風險處于不可接受的水平; 而HI的評估閾值為1, HI<1時表示非致癌毒性危害可能不顯著, HI>1時表示可能存在非致癌毒性危害.
2 結果與討論 2.1 目標VOCs在自來水管網中的賦存狀態
表 2列出了在S市和L市自來水管網中目標VOCs的檢出情況. 47種目標VOCs中共有16種被檢出, 其中鹵代烴類化合物和苯系物所占比例分別為81%和19%.檢出的16種VOCs中, 有11種在所研究的2市自來水管網中均有檢出, 分別為1, 2-二氯丙烷、順式-1, 2-二氯乙烯、反式-1, 3-二氯丙烯、四氯乙烯、二溴甲烷、一溴二氯甲烷、二溴一氯甲烷、三溴甲烷、苯、甲苯和叔丁基苯, 其中鹵代烴類化合物和苯系物所占比例分別為73%和27%. 2座城市自來水管網中VOCs的存在情況(數量和類別)具有較大的相似性, 并且均以鹵代烴類化合物為主要污染物, 該結論與其他人的報道具有一致性.在2市共同檢出的11種VOCs中, 除二溴甲烷和叔丁基苯外, 其余9種VOCs在2市自來水管網中的檢出率均超過50%, 其中有3種化合物檢出率超過90%, 分別為一溴二氯甲烷、二溴一氯甲烷和三溴甲烷, 均屬于三鹵甲烷類污染物, 是自來水凈化消毒過程中產生的典型消毒副產物, 也是水中檢出最主要和最頻繁的一類VOCs.
1)“Min”表示最小值, “Max”表示最大值, “Mean”表示平均值, “Meadium”表示中位值, “nd”表示未檢出, “/”表示未查到相關數值
表 2 目標VOCs在S市和L市自來水管網中的檢出情況1) Table 2 Occurrences and detection frequencies of target VOCs in tap water samples for both S City and L City
從濃度水平來看, 除一溴二氯甲烷和二溴一氯甲烷外, 其他檢出VOCs在2市自來水管網中的最大檢出濃度范圍為0.31~97.32 μg·L-1, 濃度平均值范圍和濃度中位數范圍均為0.31~60.11 μg·L-1.在檢出的16種目標VOCs中, 有9種在我國《生活飲用水衛生標準(GB 5749-2006)》中規定了限值(見表 2), 其中只有一溴二氯甲烷和二溴一氯甲烷的濃度超過了限值(限值分別為60 μg·L-1和100 μg·L-1), 二者在S市自來水管網中的超標率分別為100%和92%, 而在L市自來水管網中的超標率則均達100%.一溴二氯甲烷和二溴一氯甲烷屬于典型的氯化消毒副產物, 主要來源于自來水廠的氯化消毒過程.由于本研究中的4個自來水廠均采用了預加氯和加氯消毒的水處理工藝, 所以, 一溴二氯甲烷和二溴一氯甲烷在2市自來水管網中均被普遍檢出, 且二者的平均檢出濃度也最高, 甚至超過了GB 5749-2006中的標準限值.值得注意的是, 盡管4個自來水廠的原水中均未檢出Br-、但在4個自來水廠出廠水及管網水中卻普遍檢出含溴的消毒副產物(如一溴二氯甲烷和二溴一氯甲烷等), 可能的原因是自來水廠使用的氯化消毒劑中普遍含有微量的溴化物, 在自來水廠加氯消毒處理工藝過程中, 這些溴化物與氯消毒劑反應而生成含溴消毒副產物.
一溴二氯甲烷被認為是可能致癌物, 而二溴一氯甲烷則被認定為內分泌干擾物質, 因此, 一溴二氯甲烷和二溴一氯甲烷在2座城市自來水管網中的濃度水平及其可能存在的潛在危害必須引起重視.
2.2 自來水管網中檢出目標VOCs的健康風險評估
盡管本次調查中2市自來水管網中絕大多數目標VOCs(僅一溴二氯甲烷和二溴一氯甲烷除外)的檢出濃度均低于GB 5749-2006中的相關限值, 但這并不能保證自來水管網中這些濃度未超標的VOCs對人類健康是無害的, 同時具有高檢出濃度的VOCs也并不一定意味著其會對人類健康產生不利影響, 因為評估管網水中賦存的VOCs對人類健康是否具有危害作用不僅與其在管網水中的濃度水平有關, 而且與其毒性數據等參數也相關.因此, 為評估2市自來水管網中檢出VOCs是否會對人類健康產生危害作用, 本文采用US EPA推薦的健康風險評價模型及相關參數來評估自來水管網中檢出VOCs的健康風險.由于化合物基礎毒性數據(如污染物致癌斜率因子SF和非致癌參考劑量RfD)的限制, 本研究只能對部分檢出的VOCs進行健康風險評價, 其評估結果列于表 3中.
化合物的健康風險評價主要包括2個方面, 即致癌風險和非致癌風險評價, 本文對10種具有SF值的VOCs進行了致癌風險評價, 對13種具有RfD值的VOCs進行了非致癌風險評價.根據US EPA提供的化合物健康風險評估參考閾值, 在S市發現2種VOCs(三氯乙烯和四氯乙烯)具有潛在的致癌風險(LCR在10-6~10-4數量級之間), 3種VOCs(1, 2-二溴乙烷、一溴二氯甲烷和二溴一氯甲烷)的致癌風險處于不可接受的水平(LCR>10-4).其中1, 2-二溴乙烷的致癌風險雖然最大(3.43×10-3), 但其僅在一個采樣點中被檢出(S10), 可能存在著偶然性, 而一溴二氯甲烷和二溴一氯甲烷則是在S市所有采樣點中的致癌風險均處于不可接受的水平; 同樣, 二者在L市所有采樣點中的致癌風險也均處于不可接受的水平, 與S市不同的是在L市所發現的具有潛在致癌風險的VOCs為四氯乙烯和三溴甲烷.因此, 一溴二氯甲烷和二溴一氯甲烷是2市自來水管網中主要的致癌風險貢獻者, 應當給予足夠的重視, 此外, 四氯乙烯被發現在2市自來水管網中均具有潛在的致癌風險, 四氯乙烯在2市自來水管網中的存在情況也應被給予關注.對于2市13種VOCs非致癌風險的評估表明, 在S市只有一溴二氯甲烷可能存在非致癌風險(HI>1), 該化合物的非致癌風險被發現在S市38%的采樣點中出現; 而在L市除一溴二氯甲烷外, 二溴一氯甲烷也同樣可能存在非致癌風險, 一溴二氯甲烷和二溴一氯甲烷在L市具有非致癌風險的采樣點分別達到71%和50%.因此, 一溴二氯甲烷和二溴一氯甲烷2市自來水管網中的非致癌風險也不可忽略.總體上看, 一溴二氯甲烷和二溴一氯甲烷在2市自來水管網中均具有較高的健康風險, 應被列為2市自來水管網中優先控制的污染物.
2.3 目標VOCs在自來水管網中的分布規律
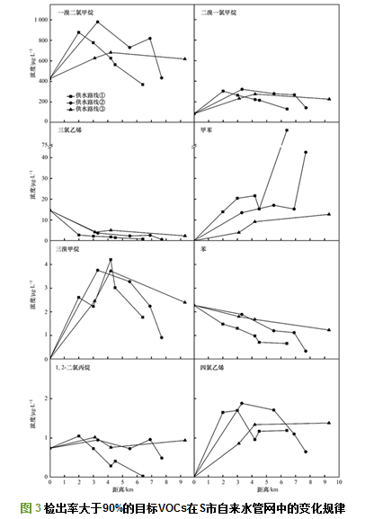
在本研究中, 所采集的S市管網水均來自同一個自來水廠的出廠水(即S-a), 其出廠水可分為3條路線進行供水(見圖 1), 分別為: ① S-a、S2、S3、S4、S5、S6, ② S-a、S7、S8、S9、S10, ③ S-a、S11、S12、S13;而L市的管網水分別取自3個不同的自來水廠(L-a、L-b和L-c)(見圖 2), 其供水路線為: ① L-a、L2、L3、L4、L5, ② L-b、L7、L8、L9、L10, ③ L-c、L12、L13、L14.由于本次調查中L市的管網水取自不同的自來水廠, 且不同水廠的供水管網相互交錯、彼此影響, 因此, 本文只選取了S市自來水管網作為代表來探究目標VOCs在城市自來水管網中的空間變化規律.同時, 如圖 3所示,為了使探究的結果更具科學性, 本文僅選取在S市管網水中檢出率大于90%的VOCs(共8種)作為研究對象, 探討其在S市不同供水路線中的分布規律, 其中每條供水路線中的采樣點按照距水廠的距離順序做圖(圖 3).
圖 3顯示了選擇的8種目標VOCs在S市管網水中的濃度隨自來水輸送管網距離延長而變化的情況, 發現除甲苯外其他目標VOCs在自來水管網的濃度隨著自來水管網輸送距離的增加而降低, 只有甲苯的濃度隨著自來水輸送距離的增加而逐漸升高.由于VOCs通常具有較高揮發性和較低水溶性, 所以一般來說自來水廠出廠水中含有的VOCs會隨著自來水輸送管網距離的增加而不斷從水中揮發出來, 從而使得其在水中的濃度逐漸降低.如三氯乙烯和苯, 二者在本次S市采樣最遠端(距出廠水9.3 km處)管網水中的濃度均比其在出廠水中的濃度要低, 與出廠水中濃度相比, 二者在最遠端采樣點(S13)中的濃度分別降低了84%和46%.然而一溴二氯甲烷、二溴一氯甲烷、三溴甲烷、1, 2-二氯丙烷和四氯乙烯在自來水管網中的濃度是隨著管網輸送距離的增加先升高后降低, 其主要原因可能是由于自來水廠出廠水中余氯的存在而不斷形成消毒副產物.當輸送管網距離足夠長時, 自來水管網中這些以三鹵甲烷為主的VOCs濃度便開始逐漸降低, 由圖 3可知, 在S市3條不同供水路線中這類VOCs在距出廠水3~4 km左右后, 其在自來水管網中的濃度開始降低.而甲苯是本次調查中唯一一個濃度隨管網輸送距離增加而逐漸升高的化合物, 其在出廠水中未檢出, 在本次S市采樣最遠端(距出廠水9.3 km處)管網水中的濃度為12.69 μg·L-1.盡管如此, 甲苯在距出廠水9.3 km處的管網水中的濃度仍未超過GB 5749-2006中的限值(700 μg·L-1).由于管網水是一個特殊的水環境, 自來水管網中的VOCs不僅來源多樣, 而且管網中VOCs還會發生遷移轉化等過程, 因此, 本研究對于S市采樣最遠端管網水中甲苯含量的增加尚不能給出一個確切合理的解釋.
3 結論
(1) 在所分析的2大類47種VOCs中, 鹵代烴類化合物是2座城市自來水管網中最主要檢出的VOCs, 其中又以三鹵甲烷類VOCs(一溴二氯甲烷、二溴一氯甲烷和三溴甲烷)為主.而且一溴二氯甲烷和二溴一氯甲烷這2種化合物在2市自來水管網中的檢出濃度超過了GB 5749-2006中規定的限值.
(2) 本文對有基礎毒性數據的10種VOCs進行了致癌風險評價, 對13種VOCs進行了非致癌風險評價.結果表明, 一溴二氯甲烷和二溴一氯甲烷在2市自來水管網中均具有較高的健康風險, 應給予足夠的重視, 建議將二者列為2市自來水管網中優先控制的污染物.具體聯系污水寶或參見http://m.dongaorq.cn更多相關技術文檔。
(3) 除甲苯外, 本文所研究的其他VOCs在城市自來水管網中的濃度隨著管網輸送距離的增加而逐漸降低, 即使部分三鹵甲烷類VOCs在距出廠水短距離內濃度會升高, 但只要管網輸送距離足夠長, 其在自來水管網中的濃度便會隨管網距離的增加而降低.









