1 引言(Introduction)
美國環保署提出的一份關于首要污染物的報告中列舉了10種有毒重金屬離子, 其中就包括銅和鋅.銅、鋅礦產資源的廣泛開發及其大量使用產生了一系列嚴重的環境問題, 同時, 堿性鋅錳電池也逐步取代了汞電池從而用量越來越大, 這些電池如不被及時處理也將會導致環境污染.有關銅的危害性早已被證明, 由于其非生物降解性和持續性, 可通過食物鏈在環境中積累, 最終會給人類健康帶來很嚴重的危害, 因此, 它們在環境中的濃度被嚴格地控制在一定的范圍內以符合相關的環境法規.
傳統去除金屬離子的方法大多數具有成本高、易產生二次污染等不足.研究發現, 當金屬離子濃度在1~100 mg·L-1時物理法對對金屬離子的去除效率很低.一些廢棄生物材料如海藻、花生殼、木屑和甘蔗等在吸附方面的用途都已被研究, 盡管這些吸附材料具有很好的吸附效果, 但都需要經高溫處理后才能發揮作用, 從而導致高能耗.而生物吸附由于具有高效性和低能耗的優勢從而引起廣大研究人員的極大興趣.
研究表明, 胞外聚合物(Extracellular Polymeric Substances, EPS)對廢水中的金屬離子具有很好的吸附性能.Liu等(2001)提取了4種不同細菌的胞外聚合物吸附重金屬, 結果表明, 其對同一種金屬離子的最大吸附量分別比樹脂高83.8%、92.5%、96.3%和64.8%.因此, 有關胞外聚合物的研究已迅速成為一個熱點(Guo, 2015).EPS上含有豐富的官能團(如羧基、氨基、羥基和羰基等), 可以和水中的金屬元素(如銅、鉛、鋅等)進行絡合、鰲合, 能夠捕捉和吸附水中的重金屬(楊敏等, 2011).本實驗室前期針對在微生物降解中應用非常廣泛的浮選藥劑(如苯胺黑藥)進行了大量研究, 但關注點僅限于鉛、鋅、銅礦選礦廢水中的有機藥劑, 而實際上, 選礦廢水中的金屬離子特別是Cu2+、Zn2+和Pb2+也不能忽略.雖然人們對EPS吸附重金屬進行了廣泛的研究, 但在綜合考慮選礦廢水中的有機藥劑和重金屬方面, 特別是本實驗室分離出的苯胺黑藥降解菌(Bacillus vallismortis)吸附重金屬方面的研究還遠不夠充分.因此, 本文以提取自Bacillus vallismortis的EPS作為一種生物吸附劑, 去除單一體系的Cu2+、Zn2+, 研究吸附過程中的影響因子, 探討吸附等溫線和動力學模型, 并采用FTIR進行分析.以期為選礦廢水中有機藥劑和重金屬的同時去除提供理論基礎, 并為制備一種同時去除選礦廢水中有機藥劑和重金屬的生物制劑提供參考.
2 材料與方法(Materials and methods) 2.1 供試菌株
苯胺黑藥高效降解菌從廣州市瀝滘污水處理廠沉淀池回流污泥中選育, 于2014年由實驗室分離純化獲得, 將這種細菌馴化后制成20 g·L-1的菌懸液保存在4 ℃冰箱中備用.由圖 1可知, 固定脫水處理較好地保持了苯胺黑藥降解菌的形態, 呈短棒狀結構, 平均粒徑約為649.7 nm, 長度約為1.67 μm.經16S rRNA測序, 確定該降解菌為死亡谷枯草芽孢桿菌Bacillus vallismortis(宋衛鋒等, 2012), 對苯胺黑藥有優異的降解性能.

圖 1 試驗所用苯胺降解菌掃描電鏡照片
2.2 培養基
無機鹽培養基:1.6 g磷酸二氫鉀, 0.4 g磷酸氫二鉀, 0.06 g硫酸鎂, 0.001 g氯化鈣, 1.0 g氯化銨溶, 1 L蒸餾水.
富集培養基:1.25 g牛肉膏, 2.5 g蛋白胨, 1.25 g氯化鈉, 250 mL蒸餾水.
2.3 胞外聚合物的提取與測定
胞外聚合物采用高速離心法(12000 r·min-1冷凍離心15 min, 2次離心后再用0.45 μm濾膜過濾)(D′Abzac et al., 2010; Adav et al., 2008)、熱提法(80 ℃水浴加熱2 h, 16800 r·min-1離心15 min, 上清液用濾膜過濾)(Comte et al., 2006)、超聲波法(40 kHz、50 W進行超聲處理)(D′Abzac et al., 2010)3種方法提取, 提取的EPS于-18 ℃下保存, 備用.
EPS的化學成分比較復雜, 但其中的多糖和蛋白質含量達到70%~80%, 因此, 上述EPS的提取量以多糖和蛋白質之和來表征.其中, 多糖含量采用蒽酮比色法測定, 蛋白質含量采用考馬斯亮藍G-250法測定(劉美等, 2007), 所有實驗結果均為3次平行試驗的平均值.
2.4 Cu2+、Zn2+吸附試驗
取一定體積的金屬離子濃度為10 mg·L-1的硫酸鹽(分析純)溶液, 按照EPS質量與金屬離子質量比為2:1的比例, 在Cu2+、Zn2+溶液中加入EPS;然后分別改變pH、溫度、離子濃度和吸附時間, 于150 r·min-1下振蕩3 h后放入經過預處理的透析袋中, 在裝有100 mL蒸餾水的燒杯中透析12 h, 用火焰原子吸收分光光度計測量燒杯水溶液的Cu2+、Zn2+濃度.用相同體積的水代替EPS, 其他條件不變, 作為空白實驗.
廢水中Cu2+、Zn2+濃度采用火焰原子吸收分光光度計測定(日立22000型, 檢出限0.001 mg·L-1, 日本日立儀器有限公司), pH用PHS-3C型pH計測定.去除率和吸附量計算公式如下:


式中, r為金屬離子去除率;Q為單位EPS吸附量(mg·mg-1);C0為金屬離子初始濃度(mg·L-1);V0為吸附前溶液體積(mL);Ct為某時刻金屬離子濃度(mg·L-1);Vt為某時刻溶液體積(mL);m為EPS質量(mg).
2.5 吸附等溫模型
EPS對Cu2+、Zn2+的吸附可以用吸附等溫式表示, 在30 ℃、pH=6.5±0.1、EPS質量與金屬離子質量比為2:1的條件下, 將EPS分別加入初始濃度為5、10、15、20、25、30、40 mg·L-1的Cu2+、Zn2+溶液中, 吸附平衡后分析金屬離子濃度.通常情況下, 吸附劑的吸附量取決于吸附金屬離子的平衡濃度, 常用的吸附等溫方程為Freundlich吸附等溫方程(3)和Langmuir吸附等溫方程(4).

式中, Qe為吸附平衡時單位EPS的吸附量(mg·mg-1);Qm為單位EPS的最大吸附量(mg·mg-1);k、n、b為常數(一般認為0.1 < 1/n < 0.5時易于吸附, 1/n > 2時則難以吸附);其余符號含義同前.
2.6 吸附熱力學研究
為了描述EPS吸附Cu2+、Zn2+的熱力學行為, 選擇20、30、40 ℃時測得的吸附量計算吸附熱力學參數, Gibbs自由能變(ΔG)、焓變(ΔH)及熵變(ΔS)可通過方程(5)~(7)計算.

式中, K為平衡常數(L·g-1);R為摩爾氣體常數(8.314 J·mol-1·K-1);T為溫度(K);Ce為吸附平衡時金屬離子濃度(mg·L-1), 其余符合含義同前.焓變ΔH、熵變ΔS可由ΔG-T線性圖的斜率和截距求得.
2.7 紅外光譜分析
取一定量95%乙醇于-18 ℃下保存2 h, 將EPS原樣或吸附了金屬離子的EPS與冰乙醇按1:5的比例混合, 繼續放置在-18 ℃的條件下約12 h直至出現沉淀, 取沉淀物進行冷凍干燥;然后將凍干的EPS原樣或吸附了金屬離子的EPS樣品與KBr按照質量比為1:150混合, 在瑪瑙研缽中研磨, 然后將適量的粉末放入壓片機中, 進行壓片, 制備樣品, 采用傅里葉變換紅外光譜儀(Nicolet380, 美國THERMO Fisher Scientific)在波數4000~400 cm-1范圍內對樣品進行分析.
3 結果與討論(Results and discussion) 3.1 三種提取方法的效果對比
按2.3節所述方法對Bacillus vallismortis進行EPS提取, 3種提取方法的效果對比見圖 2.由圖 2可知, 菌懸液濃度為20 g·L-1時, 熱提法的提取效率最高, 提取的EPS濃度為71.659 mg·L-1, 其中, 多糖占86.4%, 蛋白質占13.6%;離心法和超聲波法提取的EPS濃度相對較低, 分別為5.675 mg·L-1和41.303 mg·L-1, 說明該降解菌比較適合熱提法提取.因此, 后續實驗采用熱提法提取EPS, 將其稀釋1倍后使用, 濃度為35.83 mg·L-1.

圖 2 三種不同的提取方法效果對比
3.2 pH對EPS去除Cu2+、Zn2+的影響
pH是影響胞外聚合物吸附重金屬的重要因素, 對胞外聚合物表面的官能團(-COOH、-NH2、NH、-SH、-OH)活性有顯著影響(Guibaud et al., 2009).由圖 3可知, 當pH=7時, EPS對Cu2+去除率達到最高值96%, 吸附量為0.643 mg·mg-1;當pH=8時, EPS對Zn2+的去除率達到最高值79.1%, 吸附量為0.527mg·mg-1;當pH=3時, Cu2+和Zn2+的去除率最低, 分別只有38%和20.9%, 吸附量也分別只有0.251和0.139 mg·mg-1.這是因為在低pH條件下, 溶液中大量的H+與金屬離子競爭EPS表面的吸附位點, EPS表面的排斥力增強, 使金屬離子難以和EPS表面的帶電基團接觸, 不利于吸附的進行;當pH逐漸升高時, 去除率隨之升高, 吸附量也隨之增大.這是因為EPS表面去質子化且呈負電性, 提供了更多的結合位點, Cu2+和Zn2+與EPS迅速接觸, Cu2+和Zn2+去除率上升, 吸附量也隨之升高;當pH值過高時, 去除率迅速降低, 溶液呈堿性, OH-和金屬離子結合生成沉淀析出(Comte et al., 2006), 此時金屬離子的去除就不僅僅是EPS的吸附作用了;當pH=9時, EPS對Cu2+和Zn2+去除率分別降至31%和61.8%, 吸附量也分別只有0.207和0.412 mg·mg-1.上述結果說明, 溶液pH會嚴重影響EPS對重金屬離子的吸附, pH過高或過低, 去除率都會明顯下降, 這與其他研究者用細菌EPS吸附重金屬試驗結果吻合(Pérez et al., 2008; Bhaskar et al., 2006).在后續試驗中為了排除pH過高產生沉淀的干擾, 選擇最佳pH為6.5±0.1.

圖 3 pH對吸附去除重金屬的影響
3.3 溫度對EPS吸附Cu2+、Zn2+的影響
不同溫度下EPS對Cu2+、Zn2+的去除率和吸附量如圖 4所示.由圖 4可知, 隨著溫度的逐漸上升, 溶液中粒子布朗運動加快, Cu2+、Zn2+與EPS接觸的幾率也隨之升高, 在試驗范圍內, EPS對Cu2+、Zn2+的去除率和吸附量逐漸升高.Cu2+去除率由20 ℃時的89.7%升高到40 ℃時的91.9%, 吸附量也由0.5978 mg·mg-1升高到0.6127 mg·mg-1;Zn2+去除率由20 ℃時的45.8%升高到40 ℃時的51.8%, 吸附量也由0.3053 mg·mg-1升高到0.3453 mg·mg-1.當溫度繼續升高至50 ℃, EPS對Cu2+、Zn2+的去除率和吸附量都開始下降, 可能是因為EPS受到溫度影響, 其中的蛋白質組分由于溫度升高活性下降.當溫度升到60 ℃時, Cu2+的去除率和吸附量都略有升高, 而Zn2+的去除率和吸附量都降至最低的42.6%和0.284 mg·mg-1.整體過程中溫度對EPS吸附金屬離子的影響表現得不是很明顯.

圖 4 溫度對EPS吸附去除重金屬的影響
3.4 吸附動力學研究 3.4.1 時間對吸附效率的影響
在pH=6.5±0.1、溫度為常溫的條件下, Cu2+、Zn2+濃度和去除率隨吸附時間的變化關系見圖 5.由圖 5可知, 吸附時間也是影響EPS吸附Cu2+、Zn2+的重要因素, 吸附屬于動態的過程, 前3 min內, Cu2+、Zn2+的去除率分別達到了70.1%、28.6%;隨著時間的增加, 其去除率不斷升高, 8 min時Cu2+、Zn2+的去除率分別達到最高的90.7%、52.3%;但隨后去除率稍有下降, 30 min后, 去除率逐漸回升并呈現出輕微波動;80 min后, EPS對Cu2+、Zn2+吸附基本達到平衡狀態, 表明EPS對Cu2+、Zn2+的吸附是一個快速表面吸附過程, 對Cu2+的吸附較Zn2+更為明顯.整個吸附過程都大致可以分為3個階段:快速吸附-慢速吸附-吸附平衡.在生物體吸附重金屬的研究中這3個階段的吸附已經被廣泛報道(Saǧ et al., 1996; Sarı et al., 2009), 胞外聚合物同Cu2+和Zn2+吸附主要通過絡合、鰲合、離子交換等作用進行, 官能團通過這種方式同重金屬結合不需要耗費大量的能量, 因此, 反應進行的很快, 均能很快能達到吸附平衡.

圖 5 EPS吸附金屬離子的吸附平衡圖
3.4.2 吸附動力學參數
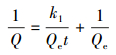
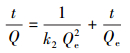
為研究吸附過程的控速步驟和吸附機理, 分別采用擬一級動力學模型(8)和擬二級動力學模型(9)來擬合動力學數據.


式中, k1為擬一級反應速率常數(min-1);t為吸附時間(min);k2為擬二級反應速率常數(g·mg-1·min-1);其余符號含義同前;k1和Qe可以根據1/Q~1/t擬合曲線的斜率與截距得到;k2和Qe可以根據t/Q~t擬合曲線的斜率與截距得到.
由表 1可知, EPS吸附Cu2+、Zn2+的擬一級反應模型的R2分別為0.9374和0.7942, 而采用擬二級反應模型能較好地擬合動力學數據, 吸附Cu2+、Zn2+的R2分別為0.9897和0.9998.EPS對Cu2+、Zn2+吸附大致分為3個階段, 第一階段為0~8 min的擬二級動力學吸附階段, 第二階段為8~120 min的波動吸附階段, 第三階段為120 min后的吸附平衡階段.
表 1 EPS吸附Cu2+、Zn2+的動力學方程及可決系數
3.5 吸附熱力學研究 3.5.1 金屬離子初始濃度對吸附效率的影響
在pH=6.5±0.1、溫度為常溫條件下, 改變金屬離子初始濃度后去除率和吸附量的變化情況見圖 6.由圖 6可知, 隨著初始金屬離子濃度的增加吸附量也隨之增大, 且Cu2+比Zn2+表現得更明顯.

圖 6 金屬離子濃度對EPS去除重金屬效率和吸附量的影響
在決定吸附效率方面, 平衡吸附是很重要的.關于單一系統中EPS對Cu2+、Zn2+的吸附數據常用Freundlich吸附等溫方程和Langmuir吸附等溫方程來擬合, 擬合曲線如圖 7、8所示.

圖 7 Cu2+(a)和Zn2+(b)的Freundlich吸附模型擬合結果

圖 8 Cu2+(a)和Zn2+(b)的Langmuir吸附模型擬合結果
Langmuir模型主要用于研究最大單分子層吸附量, Freundlich模型通常能較好地描述水溶液中的吸附(熊芬等, 2009).表 2結果表明, EPS對Cu2+、Zn2+的吸附都能較好地用Freundlich和Langmuir等溫吸附方程擬合.等溫線的相關參數可通過回歸方程計算, 其中, k和n值與吸附劑的吸附量和吸附強度密切相關, k值常用來表征吸附劑對金屬離子的親和力, 吸附Cu2+的k值為1.81, 說明EPS對Cu2+表現出較強的親和力, n值都介于1~10之間, 說明Cu2+、Zn2+在EPS上的吸附是向著有利于吸附的方向進行(Mishra et al., 2009), 對Cu2+吸附的R2值分別為0.982和0.976, 對Zn2+吸附的R2值分別為0.964和0.992, 這表明在本實驗條件下, 吸附Cu2+實驗值用Freundlich方程擬合效果較好, 吸附Zn2+實驗值用Langmuir方程擬合效果較好.方程中的最大吸附量Qm也反映了吸附劑的吸附能力、吸附劑與金屬離子結合的穩定性、吸附受溶液金屬離子濃度影響程度(鄭蕾等, 2008), 以EPS吸附金屬離子為單分子層吸附時通過Langmuir方程計算得到Cu2+、Zn2+最大單分子層吸附量分別為2.155、0.508 mg·mg-1.
表 2 EPS對Cu2+和Zn2+吸附的熱力學方程擬合系數
3.5.2 吸附熱力學參數
利用公式(6)作ΔG與T之間的曲線, 進行熱力學參數求解, 結果見表 3.由表 3可知, 在不同溫度(293.15、303.15、313.15K)條件下, 計算得到的ΔG < 0, 溫度越高, ΔG越低, 表明溫度升高有利于吸附的進行;在溫度變化范圍內ΔH>0, 表明吸附是吸熱過程;ΔS為正值說明到達吸附平衡時體系自由度有所增加, 吸附質和吸附劑之間能量再分配, 吸附質和吸附劑的結構可能發生了改變(Feng et al., 2013; Guo et al., 2014).由熱力學參數值推斷, 苯胺黑藥高效降解菌EPS吸附Cu2+、Zn2+的反應是一個自發過程, 且屬于吸熱反應.ΔG隨溫度變化的幅度非常一致, 變化趨勢與其他研究結果類似(Guo, 2015).然而, 表中各參數的絕對值均比上述文獻高, 文獻中308 K下不同初始Cu2+濃度(80~120 mg·L-1)吸附過程的ΔG為-8.46~-9.38 kJ·mol-1, ΔH為13.86~46.2 kJ·mol-1, ΔS為0.074~0.186 kJ·mol-1·K-1, 這可能是由于菌種和初始金屬離子濃度不同所致.
表 3 吸附熱力學參數
3.6 吸附金屬離子前后EPS紅外光譜分析
為明確胞外聚合物中對重金屬離子起吸附作用的活性基團, 對吸附重金屬離子前后的EPS進行紅外光譜(400~4000 cm-1)分析, 結果如表 4、圖 9所示.圖 9曲線a中存在著一些蛋白質和多聚糖基團對應的強頻段, 它們的譜峰都特別明顯.有一些強度較弱的基團表明存在著以酸性或堿性鹽存在的羧酸, 而EPS中一些含量很低的組分, 如脂類和核酸, 在紅外光譜分析中一般很難檢測到, 在指紋區的一些頻段表明核酸組成基團之一的磷酸鹽的存在.
表 4 FTIR觀察到的EPS的主要基團

圖 9 EPS原樣和吸附Cu2+、Zn2+后EPS的紅外光譜圖(a.EPS, b.EPS-Zn, c, EPS-Cu)
表 4列出了紅外光譜分析中觀察到的EPS主要基團, 從表 4和圖 9可以看出, 吸附金屬離子后, 一些官能團的峰發生了漂移或者消失, 3404 cm-1處的-OH、氨基發生了漂移, 可以推斷O-H鍵和N-H鍵參與了金屬離子吸附;1552.17 cm-1處的酰胺Ⅱ的CO伸縮振動譜消失, 說明參與了對金屬離子的吸附;1222.44 cm-1處的CO彎曲振動、-OH伸縮振動消失, 這是典型的羧基陰離子基團通過與金屬陽離子共價鍵絡合造成的.通常這種情況下, 大多數羧基陰離子已經結合、絡合或鰲合了金屬離子(吳謹光, 1994).1642.35 cm-1處的酰胺I的CO和C-N伸縮振動漂移, 1383.36 cm-1處的酰胺Ⅲ的C-N伸縮振動、C-N彎曲振動發生漂移, 說明酰胺中的O和N原子對EPS吸附重金屬離子貢獻很大;1064.80 cm-1處表征多聚糖的C-O-C伸縮振動的譜峰也發生漂移, 所有的這些變化表明金屬離子和EPS表面的帶電基團發生了化學反應, 這與其他研究者的結果類似(Yahya et al., 2012).EPS吸附Cu2+、Zn2+起主要作用的官能團是羥基、氨基、酰胺基團、羧基和C-O-C基團.
圖 9中EPS吸附Cu2+和吸附Zn2+后的譜圖相似, 表明EPS對兩者的吸附機理類似, EPS中參與吸附Cu2+的官能團也都參與了Zn2+的吸附.
4 結論(Conclusions)
1) 相對于離心法和超聲波法, 苯胺黑藥高效降解菌Bacillus vallismortis的胞外聚合物用熱提法提取效果最佳, 當菌懸液濃度為20 g·L-1時, 提取出的胞外聚合物濃度是71.659 mg·L-1, 其中, 葡萄糖占86.4%, 蛋白質占13.6%.
2) EPS對Cu2+、Zn2+的吸附性能良好, 當pH < 7時, 隨著pH變大去除率和吸附量都逐漸升高.
3) 本實驗中溫度對EPS吸附金屬離子的影響不明顯, 在40 ℃時Cu2+、Zn2+的去除率和吸附量都達到最大的91.9%、51.8%和0.6127、0.3453 mg·mg-1.
4) EPS對Cu2+、Zn2+的吸附都屬于表面快速吸附, 分為快速-慢速-平衡3個階段, 最佳吸附時間都在8 min左右, 此時Cu2+、Zn2+的去除率已經達到了最高的90.7%、52.3%.具體參見污水寶商城資料或http://m.dongaorq.cn更多相關技術文檔。
5) 吸附Cu2+的過程中Freundlich方程擬合效果較好, 吸附Zn2+的過程中Langmuir方程擬合效果較好, EPS對Cu2+的吸附能力、吸附穩定性和親和力都要大于Zn2+, 由Langmuir方程計算的Cu2+的最大吸附量為2.155 mg·mg-1, Zn2+最大吸附量為0.508 mg·mg-1, 吸附Cu2+、Zn2+的反應屬自發進行的反應, 且是吸熱反應.
6) EPS對Cu2+、Zn2+的吸附機理類似, 主要起作用的官能團是羥基、氨基、酰胺基團、羧基和C-O-C基團.






