1 引言(Introduction)
染料廢水中含有大量難降解有機物, 一直是廢水處理中的難題.目前,處理染料廢水的傳統的主要方法有物化法(楊忠敏, 2015)、化學法、電化學法和生物法等.但這些方法都有著自身的局限性, 存在處理效果不佳、成本過高等問題.而光催化技術由于處理條件溫和, 一般不會產生二次污染, 被廣泛應用于有機物廢水處理.光催化處理技術中, 過渡金屬氧化物與過氧化氫組成類Fenton催化劑(鄧景衡等, 2014), 以產生·OH氧化分解有機物轉化為無機鹽、CO2和H2O是一種簡單高效的方法.CuO是一種p型半導體, 禁帶寬度大約為1.2 eV, 可以充分利用可見光, 是一種優良的類Fenton催化劑.偕胺物纖維負載CuO可以解決其分離回收困難和重復使用的問題.
研究表明, 采用配位的方式將納米CuO負載在AOCF上, 得到一種催化性能良好的新型類Fenton催化劑CuO/AOCF, CuO與AOCF結合牢固, 穩定性好, AOCF對CuO的催化性能有著很好的促進作用, 且回收工藝簡單, 可多次重復使用.
2 材料與方法(Materials and methods) 2.1 主要試劑與儀器
聚丙烯腈纖維, 鹽酸羥胺(分析純), 無水碳酸鈉, 五水合硫酸銅, 氫氧化鈉, 30%過氧化氫, 活性紅K-2BP均為分析純.BL-GHX-V光催化反應儀(上海比朗儀器有限公司);721分光光度計(上海分析儀器廠);S-4800高分辨場發射掃描電鏡(日本日立公司);D8 X-射線衍射儀(德國布魯克公司).
2.2 CuO/AOCF催化劑的制備
AOCF的制備參照文獻.取0.3 g AOCF放置于50 mL 70 mmol·L-1 CuSO4溶液中, 在50 ℃恒溫水浴下配位反應2 h.取出纖維, 用蒸餾水洗滌, 再加入到100 mL 0.1 mol·L-1NaOH溶液中, 在80 ℃恒溫水浴下反應4 h, 用蒸餾水洗滌, 晾干后即可制得CuO/ AOCF.
2.3 類Fenton催化降解實驗
將CuO/AOCF在300 W Xe燈作為光源下, 降解活性紅染料溶液, 反應前后染料的降解率見式(1) .

式中, D為活性紅染料的降解率, A0和At分別為初始和對應t時刻活性紅染料溶液的吸光度.
3 結果與討論(Results and discussion) 3.1 產物的SEM、EDS和XRD分析
從圖 1a、1b中可以看出, AOCF表面光滑, 而CuO/AOCF表面存在著納米尺寸的顆粒.EDS能譜對產物表面成分進行分析(圖 1c), 其表面存在C、N、O、Cu等元素.由此推測樣品表面顆粒為銅氧化物.

圖 1 AOCF (a)、CuO/AOCF(b)的SEM 照片和CuO/AOCF 的EDS譜圖(c)
圖 2為AOCF和CuO/AOCF的XRD衍射圖.從圖 2可以看出, 2θ在18°左右的衍射峰為AOCF衍射峰.把圖中各衍射峰的峰位和相對強度與標準PDF卡片(45-0937) 對照, 得知實驗值與標準值基本吻合, 可以得出樣品為CuO/AOCF.

圖 2 AOCF和CuO/ AOCF XRD圖譜
3.2 CuO/AOCF的XPS分析
圖 3是CuO/AOCF的XPS全譜圖及N1s、O1s和Cu2p的精細譜圖.從圖 3b、3c得知CuO/AOCF中的N1s和O1s的結合能分別為399.54 eV和531.67 eV, 而AOCF中的N1s和O1s的結合能分別為399.26 eV和532.37 eV(Wu et al., 2010), 比較CuO/AOCF和AOCF的N、O結合能, 得知CuO/AOCF中的N1s和O1s的結合能發生了變化, 結合能的變化表明Cu與N是配位結合.從圖 3d得知Cu 2p3/2和Cu 2p1/2的結合能分別為933.76 eV和954.0 eV, 且940~950 eV有顯著的伴峰, 可以得出銅的氧化物形式為CuO, 且與AOCF是以配位的形式結合.

圖 3 CuO/ AOCFXPS全譜圖(a)、N1s(b)、O1s(c)和Cu 2p(d)的XPS精細譜圖
3.3 制備條件對CuO/AOCF催化性能的影響 3.3.1 Cu2+濃度對催化劑活性的影響
取50 mL 70 mg·L-1的活性紅染料溶液, 加入0.1 mL H2O2和不同初始濃度Cu2+溶液制得的CuO/AOCF, 以活性紅溶液的降解率為指標, 考察Cu2+濃度對催化劑活性的影響, 結果如圖 4a所示.
從圖 4a可以看出Cu2+濃度為0.01~0.07 mol·L-1時, 隨著Cu2+濃度的增大, 染料溶液的降解率變大, 0.07 mol·L-1時降解率最高, 繼續增大Cu2+濃度, 降解率反而有所降低.這是因為在一定濃度范圍內, 隨著濃度的增大, Cu2+在AOCF的負載率增大, 催化劑活性變大;濃度繼續增大可能會引起納米顆粒的團聚, 比表面積變小, 催化劑活性變小.所以選擇制備納米CuO/AOCF催化劑的最佳Cu2+濃度為0.07 mol·L-1.

圖 4 Cu2+濃度(a)和水浴時間(b)對催化劑活性的影響
Fig. 4 Effect of different Cu2+ concentrations (a)water-bath time(b) on catalytic activity
3.3.2 水浴時間對催化劑活性的影響
取50 mL 70 mg·L-1活性紅染料溶液, 加入0.1 mL H2O2和80 ℃恒溫水浴下不同水浴時間所制備的CuO/AOCF, 以活性紅降解率為指標, 考察水浴時間對催化劑活性的影響, 結果如圖 4b所示.
從圖 4b中可以看出, 水浴時間為2~4 h時, 時間越長, 催化劑的活性越高;4 h后繼續延長反應時間, 催化劑的活性沒有明顯變化.所以選擇制備CuO/AOCF催化劑的最佳水浴時間為4 h.
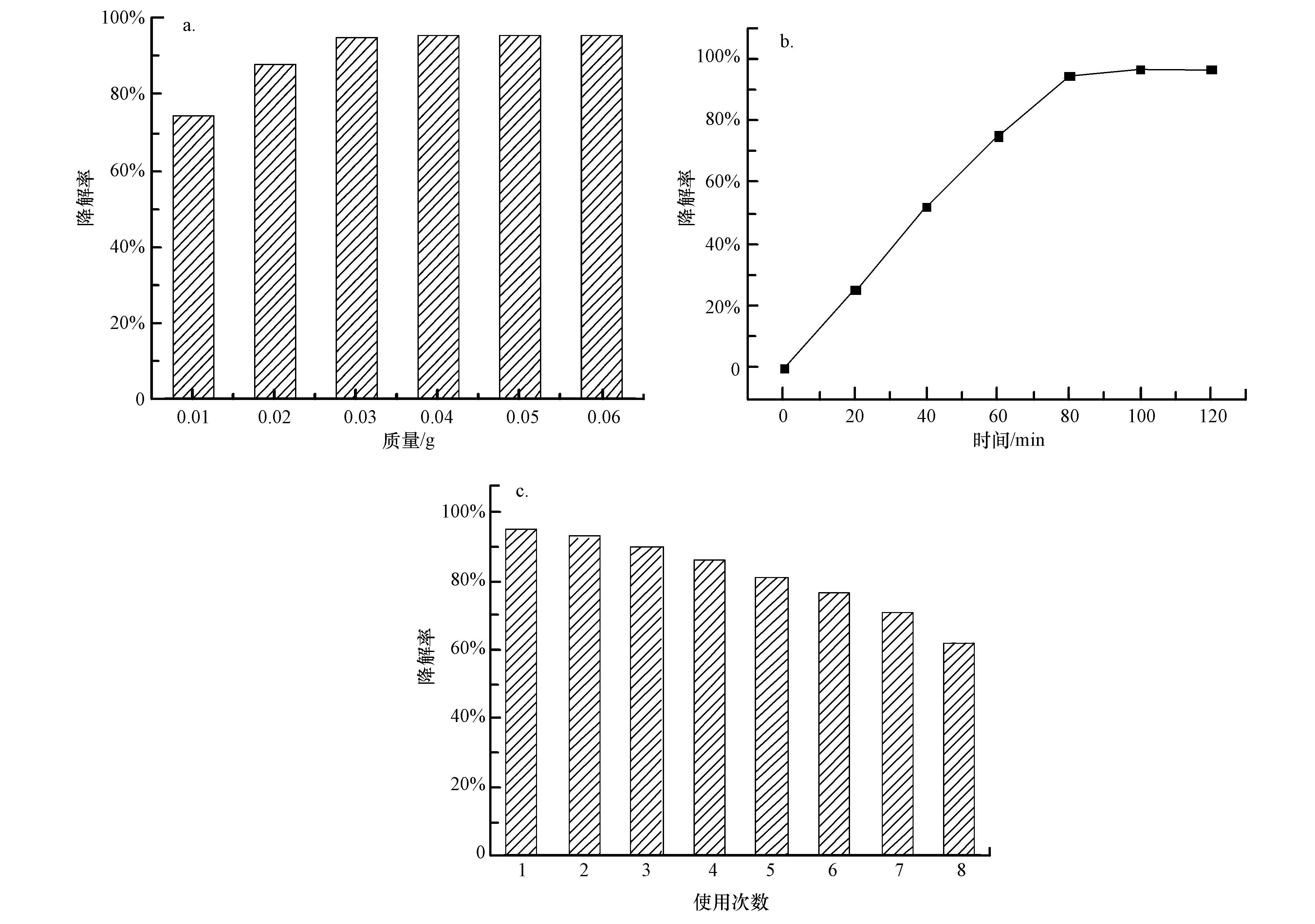
3.4 納米CuO/AOCF光催化性能研究 3.4.1 催化劑的最佳用量
取50 mL 70 mg·L-1活性紅染料溶液, 加入0.1 mL H2O2和不同質量CuO/AOCF, 以活性紅降解率為指標, 考察催化劑的最佳用量, 結果如圖 5a所示.
從圖 5a中可以看出催化劑用量為0.03 g時, 染料溶液的降解率最大.說明降解70 mg·L-1活性紅染料溶液, 所需的催化劑最佳用量為0.6 g·L-1.

圖 5 催化劑最佳用量(a)、催化時間(b)及催化劑的重復使用(c)研究
3.4.2 光催化時間
取50 mL 70 mg·L-1的活性紅染料溶液, 加入0.1 mL H2O2, 0.03 g CuO/AOCF, 以活性紅降解率為指標, 考察光催化時間的影響, 結果如圖 5c所示.
從圖 5b可以看出, 催化時間為0~80 min時, 降解率隨著時間的延長明顯升高;80 min之后, 降解率緩慢升高;100 min之后, 繼續延長反應時間, 降解率沒有明顯變化.這是因為降解率與染料溶液的濃度有關, 溶液濃度越高, 降解速率越快;反應初始時, 染料溶液的濃度大, 降解速率快, 隨著反應的進行, 溶液中染料的含量變小, 降解速率也變慢.
3.4.3 重復使用性能
取50 mL 70 mg·L-1活性紅染料溶液, 加入0.1 mL H2O2、0.03 g CuO/AOCF, 待反應結束后, 取出CuO/AOCF, 用蒸餾水洗滌, 自然晾干后用于下次實驗.催化劑的重復使用次數及降解率如圖 5c所示.
從圖 5c中可以看出在催化劑重復使用5次后, 染料的降解率迅速下降到80%.可能是多次的重復使用, 催化劑活性中心部分失活以及部分纖維被損傷.
3.4.4 對照實驗
取4份50 mL 70 mg·L-1活性紅染料溶液, 加入0.1 mL H2O2, 分別向其中2份加入0.03 g CuO/AOCF、1份加入等質量活性組分納米CuO粉體、1份空白, 用于黑暗和氙燈光照下的光催化降解實驗, 結果如圖 6所示.

圖 6 對照實驗(a.氙燈+H2O2+CuO/AOCF, b. 氙燈+H2O2+CuO粉體, c. 氙燈+H2O2, d.黑暗+H2O2+CuO/ AOCF)
對比分析圖 6結果, 在氙燈光照作用下, H2O2及H2O2-CuO粉體對活性紅染料溶液有一定的降解作用, 且H2O2-CuO粉體降解率高于H2O2;H2O2-CuO/AOCF體系對活性紅染料溶液降解率達到95%左右, 但黑暗條件下H2O2+CuO/AOCF體系對活性紅溶液幾乎不降解.由此可以說明, H2O2+CuO/AOCF體系對染料溶液屬于光催化降解, CuO/AOCF具有良好的催化性能.與粉體CuO相比, 相同質量的CuO活性組分, 纖維配位負載大大提升了CuO的催化性能.可能是由于CuO與偕胺肟纖維的配位使材料的光催化活性有所提高.
3.5 類Fenton反應動力學
在300 W Xe燈作為光源下, 用0.03 g CuO/AOCF催化劑對50 mL不同初始濃度的活性紅染料溶液進行催化降解.根據染料溶液濃度隨時間的變化關系, 按照動力學模型:-dc/dt=kcn, 兩邊取對數得lg(-dc/dt) = nlgc + lgk, 根據lg(-dc/dt)與lgc的關系即可得到反應級數n和速率常數k.確定反應級數.
圖 7a為不同初始濃度活性紅染料溶液催化降解反應過程c-t關系曲線.由圖 7a可以求出曲線各端點處的斜率值-dc/dt.從而作出lg(-dc/dt)與lgc的關系曲線(圖 7b).從圖 7b可以看出lg(-dc/dt)與lgc呈直線關系, 斜率n=0.9079≈1, 線性相關系數R2=0.9976, 可近似將反應級數視為1.即CuO/AOCF和H2O2組成的類Fenton試劑對活性紅染料的催化降解反應遵循一級反應動力學規律.速率常數k=10-1.6774=0.0210 min-1.速率方程:c=c0e-0.021t.具體參見污水寶商城資料或http://m.dongaorq.cn更多相關技術文檔。

圖 7 活性紅染料溶液c-t關系圖(a)及lg(-dc/dt)與lgc關系圖(b)
4 結論(Conclusions)
以偕胺肟纖維與CuSO4溶液配位反應, 再經NaOH溶液沉淀-熱分解, 在纖維表面原位負載CuO, 獲得一種新型類Fenton試劑CuO/AOCF.CuO/AOCF對染料溶液具有良好的光催化降解性能.AOCF對CuO的催化性能有著很好的促進作用.CuO與AOCF結合牢固, 穩定性好, 且回收工藝簡單, 可多次重復使用.對CuO類Fenton試劑光催化降解有機物廢水具有重要的實際應用前景.


