活性污泥工藝是目前應用最廣泛的廢水生物處理技術, 它利用活性污泥(微生物聚集體)去除水中的各種污染物.活性污泥法廢水處理工藝中, 二沉池內的活性污泥通過絮凝和沉淀實現泥水分離, 是決定出水水質、保證廢水處理構筑物內持有穩定數量微生物的關鍵步驟之一.然而, 活性污泥不能有效絮凝形成大、密實、強度高的污泥絮體幾乎是每個污水處理廠都可能遇到且難以快速解決的問題.研究表明在水中投加適量陽離子如Ca2+、Mg2+、Fe3+等能夠強化活性污泥的絮凝性能、改善污泥沉降性能, 促進活性污泥微生物多樣性等.
活性污泥絮體主要由細菌、水、胞外聚合物(extracellular polymeric substances, EPS)等組成.研究表明EPS在活性污泥的生物絮凝中起著關鍵作用. EPS與細菌菌體表面均帶負電荷, 金屬陽離子如Ca2+可基于DCB (divalent cation bridging)理論與EPS相互作用, 形成EPS-Ca2+-EPS聯接物, 構成絮體骨架, 促進活性污泥絮體形成與穩定.
盡管有許多外源陽離子促進活性污泥微生物自固定化(污泥顆粒化)的研究, 這些研究著眼于陽離子投加量、反應器工藝參數、污染物去除性能等方面, 為人們深入理解外源陽離子強化/改進活性污泥絮凝性能的機制奠定了重要的基礎.然而, 對于金屬離子如何影響反應器啟動期活性污泥沉降性能, EPS產生量、組分變化等鮮有報道.本文在活性污泥反應器啟動期, 外源添加Ca2+, 分析Ca2+對活性污泥生物量、沉降性能, EPS含量與組成隨運行時間的動態變化, 以期為外源Ca2+改進和強化活性污泥絮凝性、提升污水生物處理系統穩定性的技術應用提供理論基礎.
1 材料與方法1.1 實驗裝置
接種污泥取自無錫某城市污水處理廠, 污泥混合液懸浮固體濃度MLSS為3 680 mg·L-1±2 mg·L-1, SVI為76 mL·g-1±3 mL·g-1.實驗裝置采用模擬SBR, 有效容積為1 L. SBR運行周期為6 h:進水5 min、曝氣320 min、沉降30 min、排水5 min.
實驗廢水為人工配置, 模擬中等強度城市生活污水水質.人工廢水組成:C6H12O6, 375 mg·L-1; CH3COONa, 586 mg·L-1; NH4Cl, 200 mg·L-1; KH2PO4·3H2O, 700 mg·L-1; MgSO4·7H2O, 500 mg·L-1, 微量元素1 mL·L-1.微量元素組成見文獻.使用NaHCO3調節廢水pH使其保持在6.5~7.5范圍.
前期實驗, 在進水中外源添加不同質量濃度Ca2+(0、30、50、100、150、200 mg·L-1), 當Ca2+添加量為100~200 mg·L-1時, 明顯改善了活性污泥沉降性能和污染物去除性能, 因此本研究中外源Ca2+添加量設置為150 mg·L-1(在圖中以Ca表示), 同時以進水中不添加Ca2+(0 mg·L-1)的SBR作為對照(以CK表示), 研究外源添加Ca2+對活性污泥啟動期污泥性能及EPS產生的動態影響.
1.2 EPS提取
EPS采用超聲-陽離子交換樹脂法從活性污泥中提取.將10 mL活性污泥用超聲波清洗儀(KQ-700DE, 昆山市超聲儀器公司)在40 kHz、100 W條件下超聲2 min.每10 mL活性污泥加入1 g陽離子交換樹脂(Dowex 50WX8, hydrogen form, 200~400 mesh, Sigma-Aldrich, USA); 置于搖床(HYL-A, 太倉強樂), 200 r·min-1轉速, 振蕩4 h; 污泥和樹脂混合液在6 000 r·min-1(Centrifuge 5810R, Eppendorf)、4℃下離心30 min, 所得上清液即為EPS溶液.
EPS數量以總有機碳(total organic carbon, TOC)來表征, 采用TOC分析儀(TOC-VCPN analyzer, Shimadzu, Japan)測定. EPS中多糖(polysaccharides, PS)采用苯酚-硫酸法測量, 標準物質為葡萄糖; 蛋白質(proteins, PN)采用考馬斯亮藍法測量, 牛血清白蛋白作為標準物質.
1.3 三維熒光光譜分析
EPS的三維熒光光譜(three-dimensional excitation emission matrix fluorescence spectroscopy, 3D-EEM)采用熒光分光度計(LS-55, Perkin-Elmer Co., USA)測定.使用氙弧燈為激發光源, 激發波長Ex為200~400 nm, 發射掃描波長Em為280~500 nm; 激發與發射狹縫寬度均為5 nm, 激發波長掃描間隔為10 nm, 掃描速度為1 200 nm·min-1; Origin 8.0軟件進行數據分析.
1.4 紅外光譜分析
反應器中活性污泥濃度、污泥沉降性能及污染物(C、N、P等)去除性能保持穩定時, 反應器進入啟動末期或者穩定期.在反應器啟動末期, 采集活性污泥樣品提取EPS, 進行紅外光譜(fourier transform infrared spectrum, FT-IR)分析. EPS提取物在-80℃冰箱(SANYO, 日本)冷凍24 h, 然后置于冷凍干燥儀(Christ ALPHA 2-4 LD, 德國)干燥處理.完全干燥后, EPS與KBr以1:100(質量比)的比例混合, 放在瑪瑙坩堝里研磨均勻.取約150 mg樣品, 壓縮成薄片, 采用NEXUS 870FT紅外光譜儀(Nicolet, USA)分析.紅外光譜分析儀掃描波長為4 000~400 cm-1, 掃描32次, 指定分辨率為4 cm-1.
1.5 污泥生物量與沉降性能分析方法
混合液懸浮固體濃度(mixed liquor suspended solids, MLSS)、混合液揮發性懸浮固體濃度(mixed liquor volatile suspended solids, MLVSS)是計量活性污泥反應器中生物量的指標, 污泥容積指數(sludge volume index, SVI)是表征活性污泥沉降、濃縮性能的指標, 其測定方法采用標準方法測定. SBR中泥水混合液溶解氧(dissolved oxygen, DO)采用Thermo公司Orion 3star DO儀測定, 混合液pH用雷磁pHS-3C精密pH計測定, 確保反應器運行參數穩定.
2 結果與討論2.1 啟動期SBR活性污泥生物量及沉降性能的動態變化
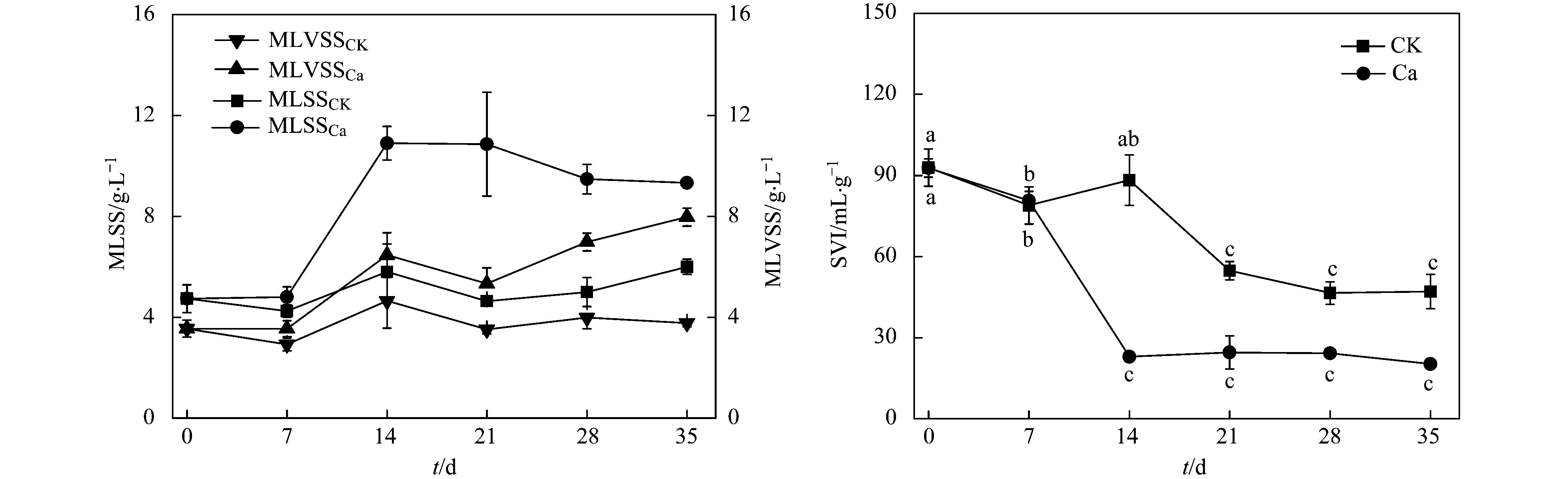
在進水中分別添加0和150 mg·L-1 Ca2+, 對SBR啟動期活性污泥生物量、沉降性能的影響如圖 1所示. SBR接種污泥的SVI、MLSS和MLVSS分別是92.9 mL·g-1、4.7 g·L-1和3.6 g·L-1. SBR運行前7 d中, 2個反應器中活性污泥生物量沒有明顯變化, 活性污泥微生物處在接種后的適應期; 但2個反應器中活性污泥SVI值與接種污泥相比均有明顯降低.運行7 d后, 與接種污泥相比, 2個反應器中活性污泥生物量都有顯著增加.運行至28 d, 與接種污泥相比, 進水中添加150 mg·L-1 Ca2+的SBR中活性污泥生物量大幅度提高, MLVSS增長率為96.9%, SVI顯著降低, 為24.3 mL·g-1; 進水中沒有添加外源Ca2+的SBR, 活性污泥生物量也有增長, MLVSS增長率為12.1%, SVI值為46.5 mL·g-1.運行至28 d, 添加150 mg·L-1 Ca2+的SBR中活性污泥生物量MLVSS與SVI分別是對照反應器中污泥的1.8倍和0.5倍.可見, 進水中添加外源Ca2+在活性污泥啟動期明顯促進了活性污泥微生物的生長, 改善了污泥的沉降性能. Yu等發現300 mg·L-1以下外源Ca2+促進了活性污泥系統中微生物的生長和沉降性能, 但超過300 mg·L-1時, 活性污泥的濃度反而降低, 沉降性能下降, 系統對污染物的去除率也會降低. Liu等在反應器中加入外源Ca2+和Mg2+, 發現Ca2+能夠有效促進活性污泥顆粒的形成, 使活性污泥表現出更好的沉降性能, 而Mg2+主要影響活性污泥微生物的多樣性.

CK:進水中不添加Ca2+的反應器; Ca:進水中添加150 mg·L-1 Ca2+的反應器
圖 1 啟動期活性污泥生物量與沉降性能的動態變化
2.2 啟動期活性污泥EPS含量及組分的變化
EPS在活性污泥絮體的形成及絮體結構穩定性的維持有著重要作用.在SBR啟動期間, 活性污泥絮體產生的EPS動態變化如圖 2所示. SBR運行至21 d, 與接種污泥相比, 進水中添加150 mg·L-1 Ca2+的活性污泥, EPS產生量顯著增加, 達71.3 mg·L-1, 與接種污泥相比, 增加了25.2%;進水中不添加Ca2+的活性污泥, EPS產生量反而降低, 與接種污泥相比, 降低了13.0%.隨著運行時間增加, 2個SBR活性污泥產生的EPS沒有顯著性增加或降低.運行第28 d, 進水中添加150 mg·L-1 Ca2+, 其活性污泥EPS數量為80.2 mg·L-1, 對照反應器中活性污泥EPS僅有45.5 mg·L-1.

圖 2 啟動期活性污泥EPS數量的動態變化
在SBR啟動期, Ca2+不僅對EPS數量有影響, 對EPS組成也有明顯影響(圖 3).總體上, 進水中無論是添加150 mg·L-1 Ca2+還是不添加Ca2+, 與接種污泥相比, EPS中多糖含量呈明顯增加趨勢, 蛋白質含量呈明顯下降趨勢.運行至28 d, 進水中添加150 mg·L-1 Ca2+的活性污泥, 與接種污泥相比, 多糖增加了90.3%, PS/PN值由6.4增加到68.8, 而蛋白質下降了82.4%;不添加Ca2+的活性污泥, 多糖增加了53.5%, PS/PN值由5.2增加到36.6, 而蛋白質下降了78.1%.進水中添加Ca2+, 明顯促進了胞外多聚物中多糖含量的增加.活性污泥絮體中的多糖在細胞間黏附以及微生物絮凝中起重要作用.多糖官能團例如—OH, 可以和Ca2+作用, 形成緊密、不易變形的膠狀介質, 提高污泥絮體的穩定性, 從而使反應器有更高的抗沖擊負荷性能. Adav等認為多糖類物質是好氧顆粒污泥形成的重要物質, 他們在研究中發現, 與接種污泥相比, 好氧顆粒污泥EPS的PS/PN比例明顯升高, 由3.4升到6.2. Jiang等在進水中添加100 mg·L-1 Ca2+, 顆粒污泥形成時間由32 d縮短為16 d, EPS中PS含量由41 mg·g-1 VSS增加到92 mg·g-1 VSS.但也有研究表明蛋白質是影響活性污泥絮凝性能的主要因素.張燕等研究Ca2+對生物膜形態結構及其組分的影響, 發現生物膜EPS中胞外蛋白質含量為1.7 mg·mL-1, 而多糖含量僅為0.37 mg·mL-1. Mcswain等在培養好氧顆粒污泥時發現EPS中蛋白質/多糖的比例始終維持在6.6~10.9之間, 甚至有研究者認為多糖類物質的大量生成是代謝阻滯現象, 可能會阻止微生物間的聚集.多糖和蛋白質是EPS中主要的組成部分, 其種類和含量直接決定了活性污泥的表面性質, 絮凝和沉降性能.

圖 3 啟動期活性污泥EPS組分的動態變化
2.3 啟動期活性污泥EPS三維熒光光譜的動態變化
3D-EEM被認為是一種選擇性高、靈敏度好的光譜技術, 而且其所需樣品量少, 不破壞被測物質結構, 廣泛應用于EPS組分、官能團鑒定.進水中添加外源Ca2+與不添加Ca2+活性污泥EPS的三維熒光光譜見圖 4.進水主要成分為葡萄糖, 乙酸鈉和無機鹽類, 這些物質均不產生熒光, 因此三維熒光光譜檢測到的物質來源于EPS產物.在SBR啟動期, 活性污泥三維熒光光譜中具有4個熒光峰, A峰(Ex/Em=225~230/250~343 nm), B峰(Ex/Em=250~300/340~350 nm), C峰(Ex/Em=250~280/280~300 nm), D峰(Ex/Em=200~250/250~300 nm), 這些峰均屬于芳香族類蛋白質, 其中, D峰為酪氨酸.本實驗采用陽離子交換樹脂作為EPS的提取劑, 腐殖酸及富里酸類化合物沒有在三維熒光光譜中檢測到, 這可能是陽離子交換樹脂對EPS中腐殖酸類物質提取效率較差的緣故. EPS組分測定結果顯示進水中含Ca2+的活性污泥EPS中總蛋白質含量較CK反應器中活性污泥EPS總蛋白質含量低, 但從3D-EEM光譜圖中, 與對照反應器相比, 外源加入Ca2+活性污泥EPS中芳香族類蛋白質更多, 酪氨酸具有穩定長鏈環狀結構, 可以穩定污泥絮體. Sheng等通過外源加入不同濃度Ca2+, 發現Ca2+對好氧污泥及厭氧污泥EPS的三維熒光圖譜、峰強度和峰位置影響較小, Hg2+對污泥3D-EEM圖譜影響較大, 雖然圖譜中峰位置沒有發生明顯變化, 但峰強度隨著Hg2+濃度的增加而顯著降低, Cu2+也會有相同的影響.

圖 4 啟動期活性污泥三維熒光光譜的動態變化
2.4 啟動末期活性污泥EPS的紅外光譜分析
紅外光譜分析可以表征EPS中官能團變化, 當SBR運行至啟動末期即穩定期時(28 d), 將2個SBR中活性污泥EPS進行了紅外光譜分析(圖 5).紅外譜圖中1 800~900 cm-1與氨基、羰基等官能團相關, 1 517 cm-1表征酪氨酸苯酚結構中芳香環環形振動引起的肩峰, 2組污泥EPS中均存在此峰, 但在CK污泥中此峰強度低于進水中添加150 mg·L-1 Ca2+的污泥, 吸收峰越高, 表明該峰代表的基團濃度越高.進水中添加150 mg·L-1 Ca2+的活性污泥EPS紅外光譜與CK相比, 存在3處有差異的吸收峰, 酰胺蛋白質肽鍵分別出現在1 710 cm-1(CK反應器)、1 730 cm-1(150 mg·L-1 Ca2+反應器)處, 脂碳鏈C—H分別出現在1 950 cm-1(CK反應器)、1 940 cm-1(150 mg·L-1 Ca2+反應器), 締合—OH及氨基的峰則分別出現在3 390 cm-1(CK反應器)、3 410 cm-1(150 mg·L-1 Ca2+反應器)處, 這表征CO及C—H在相應位置已發生變化.這些變化顯示Ca2+可能導致EPS中官能團發生變化, EPS中官能團的改變對活性污泥的形成與結構穩定性影響較大. Zhu等也發現污泥沉降性能良好時, 與接種污泥相比, 活性污泥EPS的紅外光譜發生變化, 多糖成分、含量的改變及在顆粒污泥形成過程起重要作用.具體參見污水寶商城資料或http://m.dongaorq.cn更多相關技術文檔。

圖 5 啟動末期活性污泥EPS的紅外圖譜
3 結論
(1) 與對照相比, 進水中添加150 mg·L-1外源Ca2+可以明顯促進活性污泥生物量增加、改善污泥沉降性能.運行約28 d, 反應器進入穩定運行期, 與對照相比, 添加Ca2+的反應器活性污泥MLSS、MLVSS分別增加了89.6%、75.6%, SVI降低了47.9%.
(2) Ca2+促進活性污泥微生物分泌更多的胞外多聚物, 相同工況下運行28 d, 進水中加入150 mg·L-1Ca2+的活性污泥EPS比對照活性污泥EPS增加34.7 mg·L-1, EPS中多糖量增加28.8%, 有利于增加細胞間粘附以及微生物絮凝.
(3) 活性污泥EPS三維熒光光譜和紅外光譜分析表明, 添加150 mg·L-1外源Ca2+改變了EPS組分, 促進多糖及芳香族類蛋白質的產生, 有利于活性污泥絮體結構穩定性及改進活性污泥沉降性能.


