我國水產養殖業的迅速發展產生了大量的水產養殖廢水.未經利用的飼料及水產品代謝物導致養殖廢水中含有大量的含氮污染物,若不經處理肆意排放會造成周圍水域富營養化[1]; 同時養殖過程中使用的抗生素殘留在水環境中會誘導微生物產生抗藥性,并有可能對水產品產生毒害作用[2].目前,高密度水產養殖業中產生的大量廢水及其中所含的各類污染物和殘留抗生素的處理受到越來越多的關注.
人工濕地作為一種生態處理技術,具有投資低、運行費用省和運行耗能低的優勢[3, 4],已成功運用于養殖廢水的處理[5~8].潛流人工濕地通常被分為水平潛流和垂直流,研究表明,水平潛流和垂直流人工濕地構造和水流方式的差別以及濕地內水力停留時間的長短,均易導致污水與填料接觸時間、濕地內氧含量等的差異,從而影響到對污水中含氮污染物的去除效果[9].水平流擁有相對長距的流程,潛在的反硝化程度高[10],而垂直流濕地內部污水從表面流至底部時能夠與氧較好地混合,硝化反應好且去除較多的有機物[11].有學者在考察人工濕地對抗生素的去除效果時也發現,垂直流人工濕地優于水平流人工濕地[12].隨著研究的深入,人們發現單一的水流方式不能同時提供好氧和厭氧的環境,所以構造復合人工濕地來提供不同的氧化還原狀態以適宜硝化和反硝化的進行,進而改進凈化污水的效果[13, 14].
本研究分別構建了水平潛流和下行-上行復合垂直流兩種構型的人工濕地裝置,考察在不同工況下兩個人工濕地對水產養殖廢水中含氮污染物的去除效果和影響因素,并通過對微生物活性、代謝能力及細菌群落結構組成的研究闡明人工濕地構型對含氮污染物去除的差異,并進一步考察兩個人工濕地對水產養殖常用抗生素的去除效果及影響因素,以期為人工濕地技術應用于水產養殖廢水特征污染物的去除提供借鑒.
1 材料與方法
1.1 人工濕地試驗裝置
水平潛流和下行-上行復合垂直流人工濕地的結構分別如圖 1、圖 2所示.裝置均由PVC材料制成,裝置中種植了蘆葦(Phragmites australis),種植密度為50株 ·m-2.

圖 1 水平潛流人工濕地結構

圖 2 復合垂直流人工濕地結構
水平潛流人工濕地裝置(HF)的規格為1.5 m×0.4 m×0.8 m.裝置兩端用穿孔板隔開,形成0.15 m的布水區和集水區,布水區和集水區內填充有0.4 m高的礫石(粒徑30~50 mm),并在填料區的前端和后端各鋪設0.1 m的礫石(粒徑15~30 mm),有效水深為0.6 m.主填料區依次為碎石(粒徑5~10 mm)和沸石(粒徑5~15 mm),填充比例為3 ∶1.
復合垂直流人工濕地裝置(IVF)的規格為1.0 m×0.6 m×1.0 m.裝置中間加裝一層隔板,并在下層固定穿孔承托層,進水通過布水管均勻布水,經過下行和上行后,由集水管收集入集水槽中,有效水深為0.8 m.在裝置的最底層鋪設0.1 m高的礫石(粒徑15~30 mm),下行段從下往上依此鋪設填充比例為1 ∶3的沸石(粒徑5~15 mm)和碎石(粒徑5~10 mm).上行段從下往上依次填充碎石(粒徑5~10 mm)和沸石(粒徑5~15 mm),填充比例為1 ∶3.
1.2 進水水質與裝置運行
人工濕地進水取自某水產養殖場的生產河道,進水水質如表 1所示.兩個裝置并聯運行,進水量由蠕動泵控制,全天24 h連續運行.在人工濕地系統穩定運行之后于2014年3月~9月進行試驗,初設的水力停留時間為1 d,然后通過進水量的改變控制水力停留時間和水力負荷,根據不同的工況可將試驗分為4個階段,各階段的運行參數如表 2所示,每階段進行試驗前均設有5~8 d的過渡期以確保人工濕地穩定運行.

表 1 試驗進水水質

表 2 運行參數
1.3 分析方法
1.3.1 常規指標分析
試驗過程中,常規水質分析項目包括溫度、電導率、DO、pH、TN、NH4+-N、NO3--N和NO2--N.溫度和電導率采用電導率儀測定(上海雷磁),DO采用溶解氧儀測定(上海雷磁),pH采用酸度計測定(美國Fisher Scientific),其他指標均參照《水和廢水監測分析方法》中的標準分析方法測定.
1.3.2 微生物分析
當兩個人工濕地運行穩定并維持水力停留時間為4 d一段時間后,分別在水平潛流人工濕地裝置中的上層前部基質和復合垂直流人工濕地下行流的上層基質采樣,采樣位點在圖 1、圖 2中有所示意,每組樣品均由寬度方向上多位點采集的基質均勻混合而成.采樣后對基質中微生物的代謝特性與多樣性及其中細菌的數量和結構組成進行分析.
微生物代謝特性與多樣性:采樣后,揀出植物根系和雜質,取40 g加入經高壓滅菌后的含100 mL生理鹽水的250 mL三角錐形瓶中,置搖床上以200 r ·min-1速度振蕩30 min,然后取20 mL懸液離心(1 500 r ·min-1,8 min,20℃)以去除懸浮物對光密度測定的干擾.用移液器取上清液接種于BIOLOG ECO PlateTM微平板中,每孔150 μL.密封后放置在與采樣日平均溫度相同的30℃培養箱內,每個樣品作3個重復.分別在12、48、72、96、120、144、168、192和216 h利用多功能酶標儀(Bio-Tek Synergy 4,美國)在590 nm的波長下進行數據采集.采集后,參照文獻[15]計算單孔平均光密度(Average Well Color Development,AWCD),并根據多樣性公式分別計算Shannon指數、McIntosh指數和Simpson指數.
細菌數量和結構組成:采用Real-time PCR法檢測樣本中細菌的16S基因絕對含量.定量PCR試劑為:ABI Prower SybrGreen qPCR Master Mix (2X); 定量PCR儀為:ABI7500型熒光定量PCR儀; 細菌定量分析的引物對為:Eub338-Eub518; RT-PCR反應參數為:1×(10 minutes at 95℃); 40×(15 seconds at 95℃; 60 seconds at 60℃).對人工濕地中細菌群落結構分析中的Miseq高通量測序部分委托美吉生物科技有限公司完成.
1.3.3 抗生素分析
在水力停留時間為1~3 d的運行階段內,對兩個人工濕地進出水中的3種抗生素(恩諾沙星、磺胺甲 唑、氟甲砜霉素)進行測定.各抗生素濃度的測試方法見文獻[16, 17],采用固相萃取-高效液相色譜串聯質譜法(SPE-HPLC-MS/MS).實驗試劑:繪制標線所用標準品均購自阿拉丁試劑(上海)有限公司,純度99%; 有機試劑均為HPLC級; 試驗用水均為超純水(Millipore).分析儀器:TSQ Quantum液相色譜-串聯質譜儀(美國Thermo Fisher Scientific); 12管防交叉固相萃取裝置(美國Supelco)等.
取500 mL水樣通過0.45 μm水相濾膜除去懸浮物,加入5 mL Na2EDTA(50 g ·L-1)絡合水樣里面的重金屬離子,用鹽酸調節水樣pH至3.0,然后用Oasis HLB SPE(500 mg ·6 mL-1,美國Waters公司)小柱進行固相萃取富集.上樣前,SPE柱依次用6 mL甲醇和6 mL超純水進行活化平衡; 然后水樣以流速5mL ·min-1負壓抽濾通過SPE小柱; 上樣后,用6 mL 5%甲醇水溶液淋洗SPE柱,然后在負壓下抽干30 min; 用6 mL甲醇洗脫,洗脫液收集于試管中,在35℃下用氮氣吹干; 然后,用甲醇 ∶水(3 ∶2,體積比)定容至1.0 mL,經0.22 μm的針頭式濾器過濾后保存于2 mL棕色小瓶內,通過HPLC-MS/MS進行定量分析,色譜和質譜的分析條件見文獻[17].
1.4 數據分析
本研究中數據整理統計和圖表繪制分別采用Microsoft Excel 2010和Origin 9.0軟件進行.
2 結果與討論
2.1 人工濕地構型對含氮污染物去除的影響
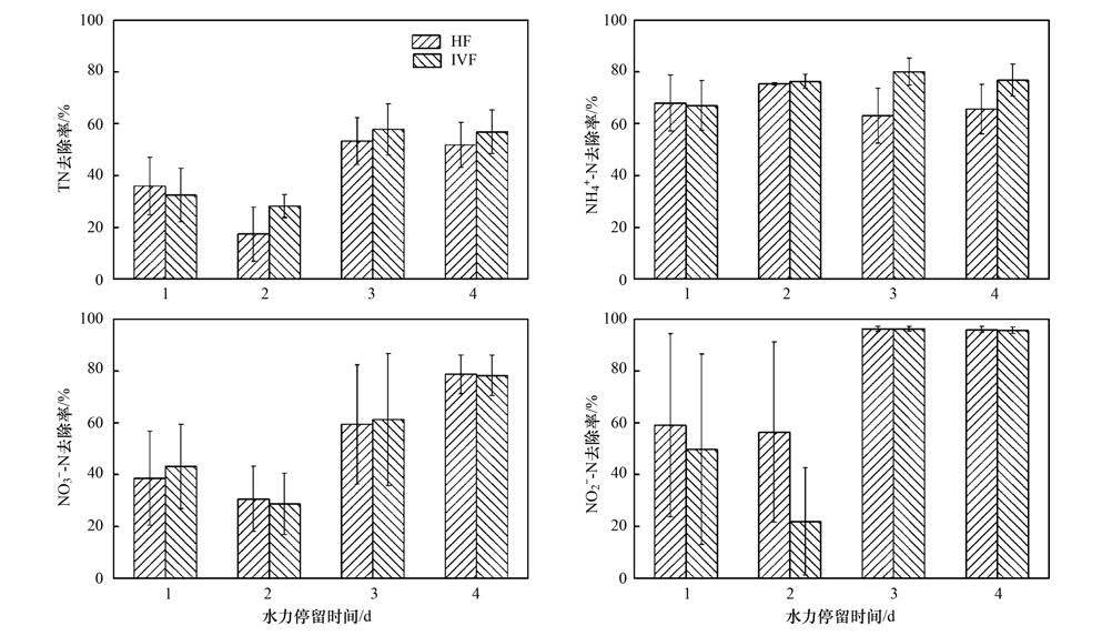
兩個人工濕地對各類含氮污染物均有一定的去除效果,人工濕地對污染物的去除效果隨停留時間的變化呈現出波動.水平潛流和復合垂直流人工濕地在各階段內對各類含氮污染物的去除效果如圖 3所示,從中可以發現人工濕地的構型對含氮污染物的去除效果具有較為明顯的差異.

圖 3 兩個人工濕地對含氮污染物的去除效果
在總氮去除方面,當水力停留時間為2 d時,兩個人工濕地的去除率均有下降,而當水力停留時間延長至3 d及更高時,兩個人工濕地對TN的去除率均顯著提升(P <0.05),且去除率保持相對穩定的水平.兩個人工濕地在水力停留時間為3 d時去除效果最好,去除率可分別達到53%和58%,且去除效果較為穩定,這與Wu等[18]設置水力停留時間為2.4 d的試驗結果相似.總的來說,復合垂直流對TN的去除率均高于水平潛流人工濕地,說明復合垂直流人工濕地的構型可以對TN的去除產生影響.
在NH4+-N去除方面,兩個潛流人工濕地對NH4+-N的去除率均高于60%,當水力停留時間維持在3 d及以上時,復合垂直流人工濕地對NH4+-N的去除率顯著高于水平流(P <0.05),在水力停留時間為3 d時復合垂直流人工濕地的去除率最高可達到80%.NH4+-N主要通過微生物的硝化作用去除[19],與人工濕地內部的溶解氧濃度具有較大關系.當水力停留時間維持在3 d及以上時,水平潛流人工濕地內部的復氧條件相對不足,去除率有所降低,復合垂直流人工濕地內部則能夠通過水流方式提高與氧的混合,較好地供氧能夠促進微生物硝化反應的進行[11],從而促進了NH4+-N的去除.
在NO3--N去除方面,兩個人工濕地的去除率差異不大.當水力停留時間為4 d時,兩個人工濕地的去除率均在75%以上,且較為穩定; 水力停留時間降低時,兩個人工濕地去除率均顯著降低(P <0.05),并且在水力停留時間為2 d達到最低.由于硝化、反硝化作用的速率有限,隨著水力停留時間的減少,NO3--N的去除量明顯降低.不同構型的人工濕地在高水力停留時間的工況下對NO2--N的去除效果均較好,水力停留時間為3 d及以上時,亞硝態氮去除率均大于95%.
2.2 人工濕地構型對濕地系統內微生物的影響
2.2.1 人工濕地構型對微生物碳源代謝特性及多樣性的影響
AWCD值反映了微生物群落對不同碳源代謝的總體情況,其變化速率反映了微生物的代謝活性.水平潛流人工濕地上層前部與復合垂直流人工濕地上層基質不同時間的AWCD值如圖 4所示.在這兩個不同構型的人工濕地中,復合垂直流對碳源的利用程度高于水平潛流,微生物群落代謝功能的差異可能與不同構型濕地中溶解氧濃度和污染物內部降解規律有關.

圖 4 兩個人工濕地基質樣品AWCD值隨時間的變化
為研究兩個人工濕地上層前部基質微生物群落功能多樣性,選擇96 h作為取樣時間點,根據多樣性公式分別計算Shannon指數、McIntosh指數和Simpson指數.如表 3所示,復合垂直流的各項指數均略高于水平潛流人工濕地,兩者之間并沒有顯著差異(P >0.05).人工濕地上層的復氧條件較好,同時進水端污染物濃度較高,微生物表現出較高的代謝程度[20].在本研究中兩個不同構型的人工濕地微生物的表現相當,說明構型對入流端基質微生物的代謝及多樣性的影響不大.

表 3 兩個人工濕地基質樣品中微生物多樣性指數 1)
2.2.2 人工濕地構型對細菌數量和結構組成的影響
不同構型人工濕地中的水流方式可以影響人工濕地的理化參數并因此影響其基質中微生物生物量的空間分布[21].采用定量PCR對兩個人工濕地基質樣品微生物中的細菌數量進行測試,結果顯示水平潛流人工濕地上層前部的基質細菌數量為1.1×106,而復合垂直流人工濕地上層基質細菌數量為6.0×106,顯著高于水平潛流人工濕地(P <0.05).在兩種構型中,上層基質細菌的數量通常都是較多的[22, 23],這說明不同構型的水流方式對入流端基質中的細菌數量產生影響.
采用高通量測序對兩個人工濕地基質樣品微生物中的細菌進行測試,可進一步分析細菌群落結構組成的差異.不同樣品按照“門”的群落結構如圖 5所示.在所有的濕地樣品中,變形菌門(Proteobacteria)的豐度最高,綠彎菌門(Chloroflexi)、擬桿菌門(Bacteroidetes)、酸桿菌門(Acidobacteria)、綠硫細菌(Chlorobi)和厚壁菌門(Firmicutes)的豐度也較高.研究中發現變形菌門是主要的門類,這與人工濕地及活性污泥中均類似[24],因為變形菌門包括很多與碳、氮和硫循環中相關的細菌[25].

圖 5 不同樣品的群落結構組成(門)
不同樣品按照“屬”的群落結構如圖 6所示,除去無法鑒定的微生物,比例較高的主要有Denitratisoma屬和Nitrospira屬.Denitratisoma屬于變形菌門β-變形菌綱紅環菌目,其作為一種反硝化細菌主要參與人工濕地中的脫硝過程[26].反硝化過程主要在厭氧條件下進行,所以Denitratisoma在兩個人工濕地的入流端基質中復合垂直流略高于水平潛流,而2.1節中水力停留時間為4 d時水平潛流對NO3--N的去除率略高,說明人工濕地系統對NO3--N的去除主要發生在后端或下層.Nitrospira屬于慢生型菌,底物親和力常數較低,通常在低濃度底物下生長[27].從圖 6可以看到,Nitrospira在復合垂直流人工濕地上層基質中分布比例相對較多,未鑒定到屬的亞硝化單胞菌科(Nitrosomonadaceae)也有較多分布,表明硝化作用較好,這與2.1節中水力停留時間為4 d時復合垂直流對NH4+-N的去除有較好的效果一致.

圖 6 不同樣品的群落結構組成(屬)
2.3 人工濕地構型對抗生素去除的影響
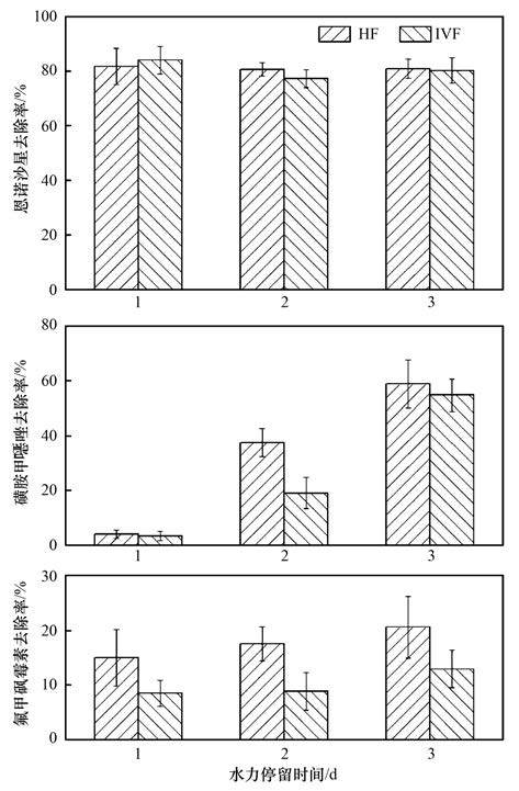
兩個人工濕地對抗生素去除效果如圖 7所示,從中可知水產養殖廢水進水中恩諾沙星、磺胺甲 唑和氟甲砜霉素的平均濃度分別為75.36、98.07和556.48 ng ·L-1,其中氟甲砜霉素的濃度明顯高于其他兩種抗生素.人工濕地構型對抗生素的去除效果相差不大,但不同抗生素的去除效果存在一定的差異:恩諾沙星的去除率明顯大于磺胺甲 唑和氟甲砜霉素,氟甲砜霉素的去除效果最差.水力停留時間對恩諾沙星和氟甲砜霉素的去除無顯著影響(P >0.05),而對磺胺甲 唑的影響顯著(P <0.05),磺胺甲 唑的去除率隨著水力停留時間的增加有明顯的升高,水平潛流人工濕地的去除率從4%升到59%,復合垂直流人工濕地從3%升到55%.

圖 7 兩個人工濕地對3種抗生素的去除效果
抗生素在人工濕地中的去除受光解、水解、植物吸附、填料吸附和微生物降解共同作用的影響[28, 29].3種抗生素由于結構不同,其去除機制存在一定的差異.恩諾沙星為氟喹諾酮類抗生素,具有喹諾酮類的兩個六元環拼合的雙環結構并引入了氟原子,易發生光解、易被吸附但不易發生水解[30, 31],由于潛流人工濕地中光解的作用可以忽略,試驗結果表明其去除又與人工濕地構型、水力停留時間無關,說明其在人工濕地中主要通過填料的吸附作用被去除.磺胺甲 唑為磺胺類抗生素,進入環境后降解較慢.本試驗結果中水平流人工濕地相對較差的氧環境更有利于磺胺甲 唑的去除,說明其在人工濕地中主要的去除途徑是厭氧微生物降解,這與鐘振興等[32]的研究結果一致; 同時在人工濕地中水力停留時間延長后,去除率提升,水平潛流人工濕地在水力停留時間為3 d時能夠達到50%以上的去除率,與Hijosa-Valsero等[33]的研究結果相似.氟甲砜霉素為氯霉素類抗生素,具有氟、氯多個鹵代基團和苯環結構,研究者發現其在太陽光照射下不發生光解[34],且不易發生水解[35].本試驗研究表明進水中氟甲砜霉素濃度較高且性質較為穩定,說明氟甲砜霉素在常規人工濕地中難以被去除,有效的去除方法有待進一步研究.
3 結論
水平潛流人工濕地和下行-上行復合垂直流人工濕地可以去除水產養殖廢水中的各類含氮污染物,其中復合垂直流因其水流方式可產生較好的溶解氧條件,基質中上層的微生物活性和多樣性均較高,對污染物的去除效果相對較好,水力停留時間為3~4 d時對各類污染物的去除效果可達到最優.兩種人工濕地對恩諾沙星的去除效果優于磺胺甲 唑和氟甲砜霉素,水力停留時間的延長有助于提高磺胺甲 唑的去除率.說明通過改進人工濕地工藝、優化工藝參數可以促進養殖廢水中含氮污染物和抗生素的去除.人工濕地對不同種類抗生素的去除機理較為復雜,后續擬通過穩定同位素示蹤法、抗性基因檢測等手段進一步揭示其機制.(來源及作者:同濟大學環境科學與工程學院 劉佳、易乃康、熊永嬌、黃翔峰)


