隨著我國經濟和城鎮化進程的快速發展,城市污泥發生量迅速增加,對環境的壓力也越來越大. 目前污泥的處置方式主要是填埋、 焚燒和堆肥,但由于城市污泥含水率高、 脫水性能差和重金屬含量高等原因[1],致使60%左右的污泥仍未得到有效處理處置. 另一方面,由于城市污泥中含有大量的有機物和N、 P、 K等對植物生長有益的營養成分,它又是一種廉價的可利用資源[2, 3]. 因此如何有效提高城市污泥脫水性能和固化重金屬是污泥資源化利用的關鍵問題.
水熱處理作為一種高效的污泥脫水技術受到越來越多的關注. 水熱處理技術是通過高溫高壓飽和蒸汽作用使污泥顆粒碰撞幾率增大,使微生物細胞破碎、 破壞膠體結構,束縛水含量顯著降低并析出為自由水,最終使污泥的脫水性能得到大幅提高. 目前國外系統開展污泥水熱脫水應用研究的代表之一是日本東京工業大學的吉川邦夫教授團隊[4, 5, 6, 7, 8, 9]. 該團隊研究得到的最佳水熱處理工藝條件是:反應終溫在170~190℃范圍內和反應時間為30 min[8],利用板框壓濾機可以將水熱處理后的污泥含水量降至50%以下,壓濾后的污泥自然風干24 h后含水量低于20%,而且污泥經水熱處理后所得固體中碳含量和熱值均隨著水熱反應終溫和反應時間的遞增而增加. 國內的典型代表,清華大學王偉教授團隊詳細分析了水熱改性污泥水分布特性與脫水性能的變化關系,發現在170℃下水熱改性的污泥壓濾脫水后含水率可降低至50%左右[10, 11, 12],在10 t·d-1的示范工程上運行18個月發現180℃下反應30 min后的市政污泥經板框壓濾后直接脫水到37%左右. 另一方面,孫雪萍等[13]研究污泥熱水解前后Zn、 Cu、 Cd和Pb的形態分布時發現,經熱水解后的污泥中重金屬主要存在于固相中,且主要以殘渣態形式存在,遷移性較水解前有明顯的降低. Liang等[14]也發現經水熱處理后污泥中的重金屬主要保留在固相中. 由此可見,水熱處理技術不但能夠顯著提高污泥的脫水性能,還具有使污泥中的重金屬以殘渣態存在的傾向. 但是,目前的污泥水熱脫水實驗研究和中試基本都在相對較高的水熱反應終溫(180~200℃)下開展,會導致運行成本偏高,特別是污泥中的營養元素N、 P及K在水熱處理過程中的遷移行為還未見有系統的研究報道.
因此,本文在較低的水熱反應終溫160℃下,研究水熱處理時間對污泥脫水性能影響,系統考察了污泥中N、 P、 K在水熱處理過程中從固相向液相中的遷移規律,以及Zn、 Cu、 Pb、 Cr、 Ni、 Cd和As重金屬的遷移行為.
1 材料與方法
1.1 實驗材料
原污泥(含水率85.25%)采自廈門市某污水處理廠,污水廠采用DE氧化溝處理工藝,污泥處理采用重力濃縮后離心脫水. 污泥在攪拌機上高速均質化后于4℃冰柜中保存待用. 實驗污泥的基本性質見表 1.
表 1 試驗污泥的物化性質
1.2 水熱實驗裝置及方法
污泥水熱處理實驗在2 L的高壓反應釜內(河南鞏義市英峪博研儀器設備廠,FCF-2L型)進行,裝置示意圖如圖 1所示. 污泥水熱處理方法為:稱取樣品污泥1.3 kg(記為m1)轉移到高壓反應釜中,反應釜升溫前,通入99.99%的氬氣以排除其中氧氣,形成惰性氣氛,然后擰緊氣閥,使反應釜處于密閉狀態. 在反應過程中,采用電加熱的方式在200 r·min-1的攪拌速度下使物料升溫,待反應釜中心溫度升至設定溫度160℃(0.8 MPa),維持一定恒溫時間(分別為30、 60、 90 和120 min)后關閉電源并降溫到室溫. 打開反應釜收集釜內的水熱處理產物,利用板框壓濾機(山東景津環保設備有限公司,XAYG0.6/250-U型)將液體與固體壓濾分離,操作條件為10 MPa下壓濾10 min. 壓濾所得的固相產物在鼓風箱中105℃恒溫烘干至恒質量(記為m2),計算固體回收率(α=[m2/(m1×0.852 5)]×100,以%計). 再將干燥固體研磨后過0.15 mm篩子,保存于干燥箱中備用.

圖 1 水熱處理實驗裝置示意
1.3 產物分析
實驗樣品的工業分析參照《煤的工業分析方法》(GB/T 212-2001)[15]進行. C、 H、 N、 S用元素分析儀測定[16]. 水熱液的氨氮、 亞硝酸鹽氮和硝態氮檢測分別采用納氏試劑法、 重氮化偶合法和麝香草本法完成,水熱液的總氮(TN)用堿性過硫酸鉀消解后再采用紫外分光光度法測定. 實驗樣品中的常量元素,包括K和P等,通過ICP-OES 測定. 微量重金屬元素,包括Zn、 Cu、 Cr、 Ni、 Pb、 As和Cd等,通過ICP-MS測定. 為了能夠滿足ICP-OES與ICP-MS對樣品的要求,對約0.2 g左右的樣品在微波消解系統上進行HNO3/HClO4消解[17],從而得到濃度均一的液態樣本. 實驗樣品中磷的形態的測定采用SEM法測定,SEM法[18]將所提取的磷分為5種:總磷、 無機磷、 有機磷、 非磷灰石無機磷和磷灰石無機磷.
2 結果與討論
2.1 水熱處理時間對污泥脫水性能的影響
為了降低工程上水熱處理成本,本研究試圖在相對較低的水熱處理溫度160℃下,通過優化處理時間來達到較好的污泥脫水性能. 圖 2為污泥在160℃下不同水熱處理時間處理后的脫水性能變化. 與其他研究者相似[19],污泥含水率均隨水熱處理時間延長而降低. 從中可知,水熱處理后的污泥經壓濾脫水后含水率在30 min時為53.46%,60 min時降低到43.17%,60 min以上污泥含水率下降緩慢,120 min時含水率降至36.63%,因此污泥在160℃下的最佳水熱處理時間為60 min. Jiang等[8]研究發現,污泥在最佳水熱工藝條件(190℃和30 min時間)下處理所得污泥液經機械脫水后含水率大約在55%左右. Neyens等[20]也報道了相類似的結果. 而本研究在適合水熱工藝條件(160℃和60 min時間)下處理經板框壓濾后的污泥含水率能夠降到接近40%,這個程度的含水污泥已經可以滿足后續資源化利用,如作為燃料的要求. 其原因可能是各污泥的性質有所不同所致.

圖 2 水熱處理時間對污泥脫水性能的影響
2.2 水熱處理時間對污泥中氮磷鉀的影響
2.2.1 水熱處理時間對N元素遷移的影響
污泥中氮的存在形態主要是蛋白質氮[21],其次是吡啶氮. 表 2為污泥水熱處理后固相產物的元素分析. 對照表 1發現,經水熱處理后固相產物中N元素含量較原污泥均有降低,并隨著水熱處理時間的增加而遞減. 水熱處理時間為60 min時的N元素含量為3.07%,比原污泥中的4.51%降低了31.82%. 原因為蛋白質在高溫高壓下首先水解為氨基酸,氨基酸再經過一系列反應分解為氨等含氮類化合物進入液相[22]. 并隨著水熱時間的延長,蛋白質和氨基酸的分解量逐漸增加,更多的氨等含氮類化合物進入液相.
表 2 水熱處理后污泥固相產物的元素分析
水熱液中總氮一般包括無機氮和有機氮,無機氮又包括氨氮、 亞硝酸鹽氮和硝酸鹽氮. 本研究中亞硝酸鹽氮(NO2--N)采用重氮化偶合法測定,其檢測下限是0.01 mg·L-1. 本研究水熱液中亞硝酸鹽氮濃度低于檢出值,因為具有一定還原性的NO2-不穩定,在水熱過程中少量的NO2-氧化為NO3-. 表 3給出了不同水熱處理時間后所得水熱液中總氮、 氨氮和硝酸鹽氮的變化情況,其中有機氮的濃度是由總氮濃度減去無機氮濃度計算所得. 可以看出,隨著水熱處理時間的增加,水熱液中總氮濃度不斷增加,例如當處理時間由30 min增加到120 min時,水熱液中總氮濃度由3 788 mg·L-1增加到5 637 mg·L-1. 這與之前固體產物中氮元素含量不斷降低的結果相吻合. 氨氮濃度在60 min前基本保持不變,但在120 min時有所增加. 是因為蛋白質水解所得的氨基酸與糖類物質的水解物發生Maillard反應,并生成含氨雜環化合物. 蛋白質氮是污泥中氮的主要存在形態,處理時間增加使更多的蛋白質水解為氨基酸并進一步轉化為氨氮等化合物,致使氨氮濃度增加. 硝酸鹽氮的濃度遠低于總氮和氨氮的濃度,在87~120 mg·L-1之間變化,說明水熱處理時間對硝酸鹽氮濃度影響不大. 有機氮濃度的增加是由于Maillard反應產生的含氨雜環化合物和吡啶氮水解所得可溶性含氮有機物不斷增加所致.
表 3 水熱液中的N元素的組成分析
從圖 3(a)所示的水熱處理后N元素在污泥固相和液相中的分布發現,污泥中N元素從固相轉移到液相中的量隨著水熱處理時間的增加而增大,轉移率從30 min的39.85%增加到120 min的53.38%.

圖 3 水熱處理后污泥中的氮元素、 鉀元素和磷元素在固相和液相中的分布
2.2.2 水熱處理時間對K元素遷移的影響
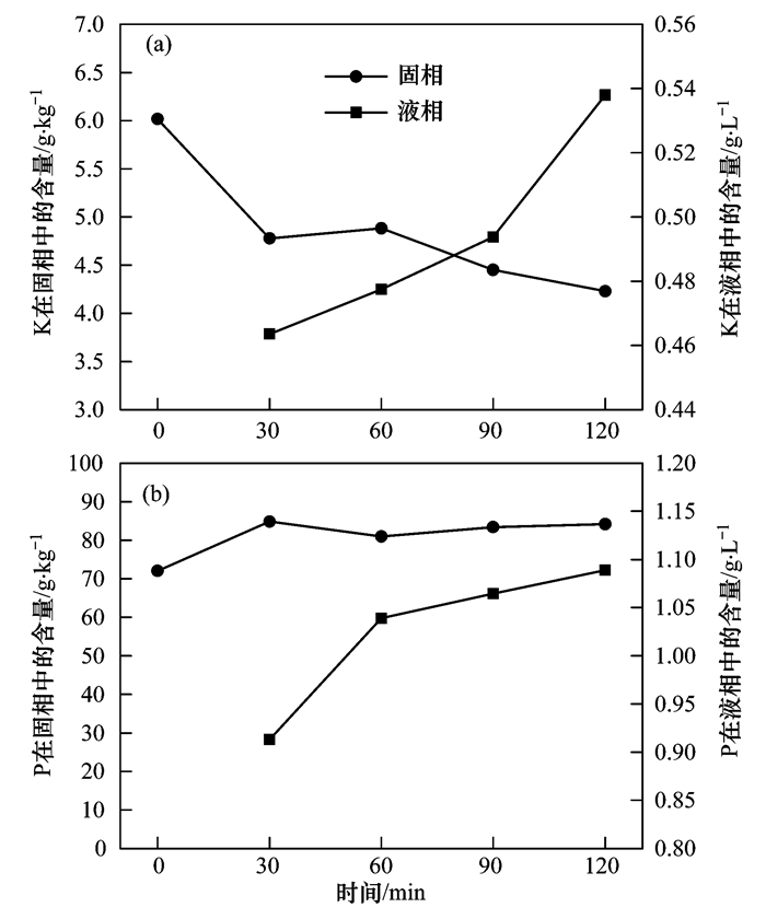
污泥中鉀的形態按照溶于水的難易程度可分為水溶性和代換性鉀(速效性鉀)、 非代換性鉀(緩效性鉀)以及礦物質鉀(難溶性鉀). 圖 4(a)所示為水熱處理時間對污泥固體產物和水熱液中K的濃度影響情況. 可以看出,經水熱處理后,固相產物中的K含量均低于原污泥固體中K的濃度. 在60 min之前,固體產物中K的濃度基本保持不變,而后則逐漸緩慢降低. 對應地,水熱液中K的濃度則隨水熱處理時間的增加逐漸緩慢增加,例如從30 min時的0.46 g·L-1增加到120 min時的0.54 g·L-1. 說明在水熱處理過程中,污泥中速效性K幾乎完全溶入水熱液中,且隨著時間的增加,緩效性K也緩慢轉變為速效性K進入水熱液. 因此從圖 3(b)中不難看出,污泥中K元素從固體產物轉移到水熱液的轉移率隨著時間的增加而緩慢增加,但仍有57.70%以上K元素殘留在固體產物中.

圖 4 固體產物和水熱液中鉀和磷濃度的變化情況
2.2.3 水熱處理時間對P元素遷移的影響
污泥中P含量通常高達1%~10%,P元素是污泥中營養元素的重要組成部分[23]. 若污泥作為肥料或者土壤改良劑長期施用會導致P在土壤中的大量富集,增加生物可利用態P向地表水流失的風險. 污泥中P的含量和穩定性決定P的環境風險性. 非磷灰石無機磷(NaOH-P)與Fe、 Mn、 Al氧化物及其氫氧化物結合的磷,屬于不穩定態磷. 磷灰石無機磷(HCl-P)一般為與Ca結合的穩定磷. 有機磷(OP)由磷脂、 DNA和磷酸單酯組成,并在環境中呈現出不同的穩定性. Hamdan等[24]研究發現,與含有大量含氧烴基有機物結合的OP穩定性較差,而與含有烴基和芳香族有機物結合的OP穩定性較強. 通常NaOH-P和OP 的含量之和可粗略認為是潛在的可釋放P,即生物有效P. 生物有效P是指能夠以溶解態磷酸鹽釋放,并被植物生長所吸收利用的那部分P,也是易向地表水流失的P.
水熱處理時間對污泥固體產物和水熱液中P的濃度影響如圖 4(b)所示. 污泥固相產物中P的含量較原污泥固體中均有所增加,如在60 min時,固體產物中的P含量較原污泥固體中增加了12.40%. 在處理時間范圍內,固體產物中P的含量在81.01~84.86 g·kg-1之間變化,說明水熱處理時間的增加對固體產物中P的含量影響不大. 而水熱液中P的濃度有緩慢增加的趨勢,例如從30 min時的0.91 g·L-1增加到120 min時的1.09 g·L-1,說明污泥中不穩定性P從固相轉移到液相中的量有所增加. 這與固體產物中P的含量隨處理時間增加而變化不大有點不一致. 可能是由于固體回收率隨著水熱處理時間的增加而降低所致,本文中處理時間30、 60、 90和120 min時對應的固體回收率分別為82.87%、 82.47%、 81.03%和77.82%. 進一步從圖 3(c)中可知,污泥中P元素絕對量從固體產物轉移到水熱液中的比率隨著時間緩慢增加,但有93.06%以上的P元素殘留在固體產物中. 污泥在水熱處理前,細胞內主要由無機元素和有機物組成,無機元素主要有Na、 Mg、 Ca、 P、 K、 Fe等,P元素較易與Fe、 Mn、 Al氧化物及其氫氧化物結合為沉淀物殘留在固體中,而大量的Na、 Mg、 K等無機元素會隨著細胞的破裂釋放到液體中. 對于細胞中的有機物在水熱過程中發生一系列反應,主要以小分子化合物(如氨氮等)進入液相. 可見水熱處理時間對P元素的遷移影響不大.
圖 5為固體產物中各種形態P的分布情況. 經水熱處理后,污泥固體中的OP和HCl-P所占TP的比例均降低,但水熱處理時間的增加對其占比影響不大. 由此可見,污泥中的P在水熱處理后雖然幾乎全部富集在固體產物中,但是穩定性P占TP的比例有所增加,意味著水熱處理有利于將部分不穩定性P轉化為穩定性P.

圖 5 各種形態P在固體產物中的分布
2.3 水熱反應時間對污泥中重金屬遷移的影響
污泥中的重金屬是制約污泥資源化利用的重要因素,其在固相產物中的含量隨水熱處理時間的變化如圖 6(a)所示. 可以看出,隨著水熱處理時間的延長,污泥固相中的重金屬含量呈現出不一致的變化規律:水熱處理時間越長,Cu、 Zn、 Cr和Pb在固相中的富集程度越高,相對于原污泥分別增加23.87%~25.38%、 14.94%~17.33%、 12.25%~23.85%和7.37%~24.68%. As的含量增加緩慢,相對于原污泥增加了0.18%~0.53%.

圖 6 固體產物和水熱液中重金屬濃度的變化情況
而對于Ni和Cd的含量在水熱處理90 min之前均低于原污泥中的含量,隨處理時間的繼續延長出現增加趨勢. 由圖 6(b)可知,水熱液中重金屬含量均低于30 mg·L-1,水熱處理后進入液相中的重金屬很少.
表 4給出不同水熱處理時間后污泥中的重金屬在固相和液相中的質量分數. 可以看出,經水熱處理后,污泥中Cu、 Zn、 Cr和Pb有90%以上留在固相中,As和Cd也有80%以上殘留在固相中,而Ni有77%以上留在固相中. 有關研究發現,污泥中重金屬的分布與熱處理過程和金屬元素的特性等因素有關. Yoshida等[25]在研究生活污泥炭化實驗中發現低揮發分的As和Hg在炭化過程中易于揮發,而高沸點的重金屬如Pb、 Zn、 Cu等則保存在污泥炭中. 本研究中,可能由于水熱處理溫度較低,因此污泥中重金屬基本全部保留在污泥固相中,并隨著反應時間的增加呈現出不同的提高趨勢. 綜上所述,污泥中重金屬在水熱過程中的遷移行為與元素本身的性質有關. 對于水熱處理對重金屬元素的固化作用和不同水熱條件下的復雜變化,將在今后的工作中進一步明確.具體參見污水寶商城資料或http://m.dongaorq.cn更多相關技術文檔。
表 4 水熱處理后污泥中的重金屬在固相產物和水熱液中的分布/%
3 結論
(1)隨著水熱處理時間(30~120 min)的增加,污泥脫水性能明顯提高. 在較適合水熱工藝條件(溫度:160℃,時間:60 min)下處理經壓濾后的污泥含水率能夠降至43.17%.
(2)水熱處理時間對污泥中N元素的遷移影響最大,經水熱處理后污泥中N元素從固相轉移到液相中的轉移率也不斷增加; 污泥中K元素向水熱液中的轉移率隨時間的增加而緩慢增加,但仍有57.70%以上K元素殘留在固體產物中; 水熱處理時間對P元素的遷移影響不大,有93.06%以上的P殘留在固體產物中,水熱處理有利于將部分不穩定性P轉化為穩定性P.
(3)隨著水熱處理時間的增加,污泥固體產物中的重金屬含量呈現出不一致的變化規律:相對于原污泥,Cu、 Zn、 Cr和Pb的富集程度明顯、 有90%以上留在固相中; As和Cd有80%以上殘留在固相中,而Ni有77%以上留在固相中.(來源及作者:中國科學院城市環境研究所 王興棟 林景江 李智偉 余廣煒 汪印 臺灣中原大學生物環境工程學系 趙煥平)


