1 引言
在制備污泥炭過程中常利用ZnCl2等化學活化劑進行活化處理,以增加吸附劑的吸附性能 ,也有學者在制備過程中通過摻雜軟錳礦、Na2CO3和MnO2或含鋅污泥 來改性污泥炭提高吸附性能,其作用機理是催化分解污泥有機質、促進積炭反應,進一步提高污泥吸附劑的比表面積.而廢舊Zn-C電池電極材料中約含15%~30%的C晶體物質、12%~28%的鋅和26%~45%的錳,其中,鋅、錳元素主要以四方體鋅錳礦結構ZnMn2O4晶體、立方體鐵錳礦Mn2O3、Mn3O4、MnO2、ZnO、Zn5(OH)2Cl2 · H2O和Zn5(NH3)2Cl2等混合物質形式存在,可用于改性污泥基活性炭的制備,從而替代鋅錳試劑或是減少ZnCl2等化學活化劑的使用量.之前的研究發現,通過摻雜廢舊Zn-C電池材料可以顯著改善污泥炭的吸附性能,在質量摻雜比3 ∶ 1的條件下,碘吸附值較純污泥炭提高了100 mg · g-1左右,表明該法具有一定的可行性.然而,在污泥炭的制備過程中影響其吸附性能的因素較多,包括:活化劑濃度、固液比、炭化溫度、炭化時間、活化溫度和活化時間等 ,這些工藝參數的確定對改性污泥炭的性能優化尤為關鍵,之前的研究僅為污泥和廢舊電池電極材料摻雜比下單因素的初步嘗試,無法提供更多的優化信息,因此,有必要對制備工藝參數進行全面的實驗設計優化.
Plackett-Burman(P-B)方法是一種篩選實驗設計,主要針對因素較多,且未確定眾因子對于響應變量的顯著性而采用的實驗設計方法,而響應面中心復合實驗設計(RSM-CCD)可用于確定因素及其交互作用在實驗過程中對目標響應值的影響,精確地表述各因素和響應值之間的關系.通過這兩種方法的結合,即對P-B方法篩選的主因素進行RSM-CCD設計,可以解決單因素實驗方法不能考察因素間交互作用及實驗量大的問題.為此,本研究在已有的工作基礎上,采用P-B設計方法考察摻雜比、活化劑濃度、固液比、活化溫度、活化時間、炭化溫度和炭化時間等7個制備工藝參數,通過統計學篩選得出其中的關鍵因素,進一步利用RSM-CCD設計對關鍵因素進行響應面優化分析,最終確定最優制備條件.同時,經BET、SEM-EDX、XRD、FT-IR、Zeta電位和陽離子交換容量(CEC)等表征手段,對制得的改性污泥炭進行微觀表征分析,以期為污泥和廢舊Zn-C電池資源化的研究提供一些理論依據.
2 材料與方法
2.1 材料
2.1.1 污泥原料
試驗污泥取自延安市污水處理廠二沉池脫水污泥,經自然晾干至含水率低于10%,研磨破碎過100目篩,再將干污泥粉末置于烘箱中于105 ℃條件下干燥至恒重作為原料備用.
2.1.2 廢舊Zn-C電池電極材料
取市面上常見的5號廢舊華太Zn-C電池,按圖 1手工拆分出塑料、金屬皮、墊圈、集電銅針、碳棒、牛皮紙及電解質材料;對收集的電解質材料,碾磨過100目篩,混合均勻烘干后作摻雜物料備用.

圖 1廢舊Zn-C電池實驗室拆解圖
2.2 實驗步驟
2.2.1 篩選P-B實驗設計
應用Design Expert 8.0 軟件對污泥炭制備實驗進行P-B設計(表 1).根據前期的探索實驗,對制備工藝過程的7個影響因素進行篩選,即摻雜比、活化劑濃度、固液比、活化溫度、活化時間、炭化溫度和炭化時間,外加4個虛擬變量.每個變量分別確定高(+)和低(-)兩個水平,共進行12次實驗以確定每個因素的影響因子.
表 1 P-B設計因素水平

2.2.2 優化RSM-CCD實驗設計
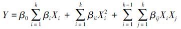
對P-B實驗篩選出的3個重要因素(摻雜比、炭化溫度、炭化時間)進行RSM-CCD實驗設計(表 2),其它工藝參數統一設定為:活化劑濃度1 mol · L-1,固液比25%,活化溫度25 ℃,活化時間6 h;設計出由8個全因子試驗、8個軸向點和6個立方體的中心點組成的20次試驗的CCD,每個軸點距中心的距離α為默認值2.0,中心復合設計各因素及水平設置如表 2所示.實驗的碘吸附值的響應值可以通過如下二階模型描述:
表 2中心復合設計各因素及水平設置


(1)
式中,Y為污泥炭成品的碘吸附值響應值;β0、βi、βii和βij分別為擬合公式的常數項、線性項、二次項和交互項系數;Xi、Xj代表各因素水平的編碼值,即摻雜比、炭化溫度和炭化時間.
2.2.3 制備方法
按照上述實驗設計,稱取不同摻雜比下的污泥和電池粉末原料并充分混合,在設計的ZnCl2濃度及固液比下進行靜置活化,然后將活化后的污泥置于烘箱中干燥脫水.將活化脫水后混合污泥樣品置于馬弗爐,在各個炭化溫度、升溫速率、炭化停留時間下碳化污泥,碳化結束用鹽酸水溶液和蒸餾水洗滌至中性后干燥冷卻,即得到廢舊Zn-C電池-活性污泥炭成品.所有實驗均為3組平行樣,并做不添加電池粉末的空白樣.
2.3 污泥炭性能表征
對制備的成品測量碘吸附值(GB/T122496.8—1999《木質活性炭試驗方法碘吸附值的測定》),用馬弗爐(SX-8-40,北京科偉永興儀器有限公司)進行炭化活化;采用比表面積及孔徑分布測量儀(北京金埃譜V-Sorb 2800P)進行比表面積及孔徑分布測量;樣品微觀形態學變化及能譜分析用SEM-EDX(Hitachi S-4800,15kV,日本)觀察;結構、紅外光譜分析分別用XRD(Shimdzu,CuKα,k=1.5418,日本)和紅外光譜儀(IR200) 完成;用元素分析儀(VARIO EL CUBE,德國ELEMENTAR)進行元素分析,操作模式為CHNS、O,測定樣品C、H、N、O、S元素變化;采用Colloidal-159 Dynamics型分析儀(美國)測量Zeta電位測定,并測定陽離子交換容量(CEC).
3 結果與討論
3.1 P-B設計實驗結果分析
P-B實驗設計碘吸附值結果見表 3.采用Design Expert 8.0軟件對表 3中的碘吸附值進行回歸分析,得到各影響因子的P-B設計ANOVA 結果及主效應分析(表 4),可以明顯看出,因素中的摻雜比(X1)、炭化溫度(X6)和炭化時間(X7)為主要影響因子(p<0.05) ,它們的貢獻值分別為30.22%、23.22%和39.11%,而其余因子貢獻值較低.同時,4個虛擬因素X8~X11對碘吸附值的貢獻率分別為2.67%、0.52%、0.47%和0.44%(表中未列出),表明其對碘吸附值影響很低,說明主因素回歸線性模型是可行的,經影響因素篩選,得到以污泥炭碘吸附值(IN,mg · g-1)為響應值的線性回歸方程:
表 3 P-B實驗設計碘吸附值

表 4 P-B設計ANOVA 結果及主效應分析

(2)
此外,由表 4中的影響水平數據可知,因素摻雜比的E(X1)= -119.1,表明摻雜比對碘吸附值的影響為負向的,即隨著摻雜比的增加,碘吸附值呈下降趨勢,因此,在后繼的RSM-CCD優化試驗中應該降低摻雜比;同理,也適用于炭化溫度及炭化時間.
3.2 RSM-CCD實驗結果分析3.2.1 模型擬合及因素影響
表 5 是通過CCD試驗設計得到的污泥炭碘吸附測量值和預測值.由表 6的碘吸附值回歸系數的計算值可知:摻雜比、炭化溫度、炭化時間對碘吸附值有顯著線影響,其中,炭化溫度、炭化時間還具有非線性顯著且存在交互作用影響;這3個因素對響應值都有顯著影響,其中,炭化溫度、炭化時間這兩個因素相對影響更大.碘吸附值的響應值多項次擬合公式如式(3) 所示,其決定系數為0.9220,說明模型的擬合程度較好.由表 7模型方差分析可知,模型F值為13.14,p值為0.001(p <0.05) ,同時,模型失擬不顯著(p=0.201 > 0.01) ,也表明模型高度顯著,可以預測響應值.
表 5 CCD設計試驗及污泥炭碘吸附響應值

表 7二次多項模型方差分析


(3)
3D響應值曲面圖 2(未顯示因素為0水平)直觀地表征了三因素交互影響對碘吸附性能的影響.可以清楚地看出,隨著摻雜比的增加,響應值降低,可能是過多的加入電池材料,相對會降低總的有機碳含量;另外,在實驗的取值范圍內,炭化時間和炭化溫度均對應有最優條件的響應點.由圖中可以看出,炭化溫度和炭化時間交互作用顯著,隨著炭化溫度的升高和炭化時間的延長活化程度逐步加深,有利于微孔和中孔形成,響應值也逐步升高,可以達到實驗中的極大吸附值;但隨著炭化溫度不斷升高和炭化停留時間的延長,活性炭的熱收縮會破壞形成的孔結構,微孔被擴孔形成了中孔并伴有部分燒失,導致比表面積下降,會降低活性炭碘吸附值(Rozada et al., 1998; Encinar et al., 2005).

圖 2各因素對碘吸附值影響的三維曲面和等高圖
3.2.2 模型最優化實驗
經過模型最優化預測,當因素水平為摻雜比10%、炭化溫度350 ℃和炭化時間20 min時,可得到極大值響應值543.1 mg · g-1.按照上述因素水平進行實驗驗證,3次平行實驗的結果分別為512.6、557.8和519.9 mg · g-1,即(530.1±24.3) mg · g-1,成品的產率為60.5% ±3.7%.預測精度達到97.6%,模型較好地預測了摻雜廢舊電池改性污泥炭的碘吸附值,由此可見,將RSM-CCD用于優化改性污泥炭制備研究是可行的.
3.3 污泥炭表征分析
3.3.1 BET、SEM-EDX及元素分析
利用比表面積儀對優化條件下制備的產品進行性能分析,樣品的比表面積為429.5 m2 · g-1,總孔容0.305 cm3 · g-1,微孔容0.179 cm3 · g-1,平均孔徑3.9 nm;優化條件下制得的改性污泥炭樣品中孔孔徑主要集中在3~5 nm范圍,與之前的研究一致,更適合吸附大分子物質.
由樣品的電鏡掃描圖 3可見,原污泥樣品(圖 3a)的表面較為光滑,無縫隙呈層狀結構,由EDX元素分析可知(表 8),其C含量高達60%;圖 3b為制備的純污泥炭電鏡掃描圖,污泥經過活化碳化后,其表面出現了大量碳化的顆粒,大大增加了其表面積,同時也出現了孔洞結構;相比純污泥炭,改性后污泥炭除具備上述特征外,其表面還呈現大量不規則的多孔結構(圖 3c),進一步提升了其吸附性能.污泥、純污泥炭和改性污泥炭樣品經元素分析,C含量分別為56.53%、52.38%、51.89%;H含量為5.36%、3.16%、1.89%;O含量分別為27.82%、25.76%、24.95%.可見,改性后的樣品3種元素均有不同程度下降,這也說明廢舊Zn-C電池材料的加入催化也分解了污泥有機質,進而提高污泥吸附劑的比表面積.對比純污泥炭和改性污泥炭的EDX元素相對含量可知(表 7),C、O含量較高,與元素分析基本一致,而廢舊Zn-C電池材料的摻雜對改性污泥其它元素影響不大.

圖 3污泥(a)、純污泥炭(b)和改性污泥炭(c)掃描電鏡
表 7污泥原樣、純污泥炭和摻雜廢舊Zn-C改性污泥炭能譜分析

3.3.2 XRD、FT-IR分析
由XRD圖 4中可知,污泥除SiO2晶體外,還存在CaCO3衍射峰;而純污泥炭和改性污泥炭樣品因活化、碳化和酸化處理不含該晶體衍射峰.之前研究也發現,污泥炭主要存在SiO2晶體衍射峰,C結構屬不規則結晶結構(任愛玲等,2006; 牛志睿等,2014b). 改性污泥炭樣品中不含鋅錳等晶體物質,結合EDX分析可以推斷,電池中的ZnMn2O4、Mn2O3、Zn5(OH)2Cl2 · H2O和Zn5(NH3)2Cl2等含鋅錳晶格物質在污泥炭制備活化過程或炭化過程中參與了反應,轉變為更易酸溶水洗的物質,對吸附性能的提高起到了積極的作用.同時,在確保吸附性能的前提下,活化劑ZnCl2濃度由5 mol · L-1降低為1 mol · L-1,有效地降低了活化劑的使用量.

圖 4污泥、純污泥炭和改性污泥炭XRD譜圖

圖 5污泥、純污泥炭和改性污泥炭FT-IR 圖譜
由FT-IR 圖譜(圖 5)分析可知,污泥炭在3500~3200 cm-1區域出現較寬的吸收峰為分子間氫鍵O—H伸縮振動吸收峰;3200~2800 cm-1區域為C—H伸縮振動吸收峰;1300~1000 cm-1出現C—O伸縮振動;880~680 cm-1區域為C—H面外彎曲振動;在600~500 cm-1區域為C—Cl伸縮振動(Sabio et al., 2004; Yang et al.,2010; Lin et al., 2012).此外,改性后污泥炭在1730 cm-1和1570 cm-1處還出現了C O 吸收峰和C C 骨架振動,改性污泥炭經活化、炭化結合成C—H、C C、C—O、O—H和C—Cl等官能團.
3.3.3 Zeta電位、CEC分析
前期研究表明,污泥炭含有C—H、C C、C—O和O—H等官能團,改性后存在酚、醚和內酯基團,表面羧酸基團的含量較大,對金屬離子的吸附能力較強.在評價吸附劑吸附重金屬離子性能時,常用Zeta電位和CEC作為重要的指標,吸附劑表面的電荷會影響污染物的去除,而CEC則代表對金屬陽離子的吸附能力.實驗測定了優化改性污泥炭和純污泥炭的Zeta電位分別為-15.50、-11.36 mV,CEC分別為30.9×10-2、18.9×10-2 mmol · g-1.這意味著摻雜電池材料改性的污泥炭Zeta電位較低吸附金屬離子后形成的膠團更穩定,而其CEC值大則吸附金屬離子性能更優.具體參見污水寶商城資料或http://m.dongaorq.cn更多相關技術文檔。
4 結論
1) P-B方法從影響污泥炭吸附性能的多個工藝參數中有效篩選出關鍵因素,即:摻雜比、炭化溫度和炭化時間.
2) RSM-CCD實現了關鍵因素的合理優化,在最優條件下,碘吸附值達到530.1 mg · g-1,產率為60.5%,且大幅降低了ZnCl2活化劑的使用量.
3) BET、SEM、XRD、Zeta電位和CEC分析表明,優化后的廢舊Zn-C電池-污泥炭性能提升,更適合金屬離子的吸附.


