1 引言
砷(As)是自然界中廣泛分布的一種有毒致癌類物質,普遍存在于大氣、水體、巖石和土壤中.近年來,隨著工業的發展和深層地下水的大量開采,多地出現了區域性砷中毒事件,由此砷污染逐漸受到人們的關注,砷污染修復技術的研究也已成為環境科學研究的熱點之一.
吸附法是用于處理含砷污水的主要方法,具有生產成本低、工藝簡單、吸附材料來源廣泛等優點.近年來,隨著環境納米技術的發展,利用納米材料作為除砷吸附劑用以解決環境砷污染問題逐漸成為研究的熱點,其中,以Fe3O4為代表的鐵系納米材料因表現出具有獨特的理化性質和較高的砷吸附容量而成為研究的重點.納米級Fe3O4粒子具有極大的砷吸附容量,其吸附性能與粒子的分散程度有關.然而,細小的納米粒子因較高的表面能,容易發生團聚形成大粒徑的粒子沉淀,使得除砷效果下降.林本蘭等利用油酸對納米Fe3O4進行表面改性,結果發現,表面改性能明顯減小制備的納米材料的粒徑.He等發現,多糖穩定劑-淀粉可以通過靜電穩定效應和空間位阻作用有效地阻止Fe3O4粒子發生團聚,形成具有高比表面積和良好穩定性的納米粒子懸浮液.張峰等.則采用聚乙二醇(PEG)作為活性劑制得了粒徑小、分散性好的Fe3O4納米粒子.由于淀粉的生產成本低,綠色環保,使用過程無二次污染,作為納米材料穩定劑具有廣闊的應用前景.因此,本研究擬采用淀粉穩定Fe3O4納米粒子作為吸附材料進行砷的吸附動力學實驗研究,并進一步對其在天然高砷地下水修復應用方面進行研究.張麗萍等的調查結果顯示,大同盆地地下水中的砷主要以砷酸鹽形式存在,因此,本文以淀粉穩定的Fe3O4納米粒子懸浮液作為吸附劑,研究反應時間、pH值、初始濃度和腐殖酸對As(V)吸附的影響,并初步探討穩定納米Fe3O4粒子應用于天然富砷地下水修復中的效果.以期為運用淀粉穩定的Fe3O4納米懸浮液原位修復地下水中的砷污染提供必要的理論基礎和實踐依據.
2 材料與方法
2.1 實驗材料
六水氯化鐵(FeCl3·6H2O)、七水硫酸亞鐵(FeSO4·7H2O)、可溶性淀粉((C6H10O5)n)、腐殖酸、氫氧化鈉(NaOH)、鹽酸(HCl)均為分析純;As(V)標準溶液購自濟南眾標科技有限公司.
天然富砷地下水采自山西省朔州市山陰縣大營村地下深度為25~28 m的含水層,As濃度為382 μg·L-1,pH為8.0.
2.2 實驗儀器
PHB-1精密pH計(上海三信儀表廠)、D8 ADVANCE X射線衍射儀(XRD,德國Bruker公司)、JSM-7001F熱場發射掃描電鏡(SEM,日本電子株式會社)、JEM-2010高分辨透射電子顯微鏡(TEM,日本電子株式會社)、novAA 400P原子吸收光譜儀(德國Analytik Jena公司)、HS55型氫化物發生器(德國Analytik Jena公司)、CF16RXII型高速離心機(日本日立公司);CPA225D型電子分析天平(德國Sartorius公司),感量為10-6 g.
2.3 四氧化三鐵納米粒子的制備
淀粉穩定Fe3O4納米粒子采用在An等方法基礎上改良的方法制備.首先,將100 mL按FeCl3·6H2O與FeSO4·7H2O摩爾比2∶1比例配成的鐵溶液轉移到700 mL 0.172%的淀粉溶液中,攪拌10 min,使溶液充分混勻.然后,將濃度為2 mol·L-1的NaOH溶液逐滴滴入混合溶液中,pH計監測溶液pH變化,pH穩定達到11時停止滴入,繼續攪拌5 min,整個過程一直在氮氣保護下進行.最后,密封瓶口置于暗處晶化48 h,使用前用鹽酸調節納米懸浮液pH到8.0,得到待用穩定的Fe3O4納米粒子懸浮液.最終懸浮液的Fe3O4納米粒子質量濃度為776 mg·L-1,淀粉含量為0.15%.同時不加淀粉,其他步驟和制備方法同上,制備未加穩定劑的Fe3O4納米粒子.
2.4 納米粒子的表征
用X射線衍射儀(XRD)對制備好的納米粒子進行分析測定.未穩定的納米粒子由于團聚作用產生沉淀,因此,可以直接用磁體進行沉淀收集,再冷凍干燥得到固體顆粒.淀粉穩定的納米粒子由于粒徑小、分散性好,所以對其進行直接冷凍干燥處理得到固體顆粒.
用掃描電鏡(SEM)和透射電鏡(TEM)對制備好的納米粒子進行分析測定.對未穩定的納米粒子進行攪拌,使其均勻分散于懸浮液中,再快速移取一定體積的懸浮液用定量的乙醇稀釋均勻.穩定的納米粒子則直接移取相同體積懸浮液用同樣的操作步驟稀釋在乙醇中.最后,吸取適量的穩定和未穩定納米粒子稀釋液滴加在銅片上,電熱真空干燥處理后進行電鏡測定.
2.5 吸附動力學測定
配置100 mg·L-1的砷溶液,使用時逐級稀釋至所需濃度.將合成好穩定的Fe3O4懸浮液和一定濃度的砷溶液分別加入到一系列60 mL的棕色試劑瓶中混勻,用0.1 mol·L-1 HCl或0.1 mol·L-1 NaOH調節溶液pH值,混合溶液總體積為30 mL,pH為8.0,砷濃度為375 μg·L-1,Fe3O4質量為2.33 mg.28 ℃條件下,將棕色試劑瓶置于恒溫振蕩器中以180 r·min-1的轉速振蕩,每隔一定時間取樣后15000 r·min-1離心30 min,取上清液,用氫化物發生原子吸收光譜法測定溶液中砷的濃度.
2.6 吸附等溫曲線測定
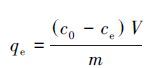
60 mL的棕色試劑瓶分為4組,將合成好穩定的Fe3O4懸浮液和一系列濃度的砷溶液分別加入到各組試劑瓶中混勻,用0.1 mol·L-1HCl或0.1 mol·L-1 NaOH調節溶液pH值,混合溶液總體積為30 mL,Fe3O4質量為2.33 mg,各組pH分別為3.0、6.0、8.0、11.0,每組選取砷的濃度為2.5、5、10、20、30、40、50、75 mg·L-1.28 ℃條件下,將棕色試劑瓶置于恒溫振蕩器中以180 r·min-1的轉速振蕩60 h后15000 r·min-1離心30 min,取上清液,用氫化物發生原子吸收光譜法測定溶液中砷的濃度.砷的吸附量計算公式為:

(1)
式中,qe為吸附量(mg·g-1),c0為砷的初始濃度(mg·L-1),ce為砷的平衡濃度(mg·L-1),V為混合溶液的總體積量(mL),m為Fe3O4的加入量(g).
2.7 初始濃度和腐殖酸(HA)對吸附的影響
在溫度為28 ℃的條件下,將合成好的穩定納米Fe3O4懸浮液和一定濃度的砷溶液分別加入到3組棕色試劑瓶中混勻,溶液總體積為30 mL,pH為8.0,砷濃度分別為375、500和1000 μg·L-1,Fe3O4質量為2.33 mg,其余步驟同2.5 節.在同樣28 ℃的條件下,取一定量的腐殖酸溶液與一定濃度的砷溶液于60 mL的棕色試劑瓶中混勻,溶液總體積為30 mL,pH為8.0,砷濃度為1000 μg·L-1,腐殖酸濃度為25 mg·L-1,其余步驟同2.6節.
2.8 納米粒子對天然富砷地下水砷的吸附
在溫度為28 ℃的條件下,將合成好的穩定Fe3O4納米粒子懸浮液和一定體積的天然高砷地下水分別加入到3組棕色試劑瓶中混勻,溶液總體積為30 mL,具體混合比例如表 1所示,其余步驟同2.6節.
表 1 穩定Fe3O4納米粒子與天然地下水的混合比例

3 結果與討論
3.1 Fe3O4納米粒子的表征
圖 1為Fe3O4納米粒子的XRD圖譜.由圖可知,未穩定和淀粉穩定的Fe3O4納米粒子XRD圖譜都出現了Fe3O4的特征峰,但由于懸浮溶液中存在NaCl,因此,淀粉穩定Fe3O4納米粒子圖譜出現了NaCl的特征峰.除此之外,圖譜并無其他明顯的雜質峰出現,且與Fe3O4標準圖譜相一致,說明無論是穩定還是未穩定的條件下制備得到的都是純度較高的Fe3O4納米粒子.穩定Fe3O4納米粒子的衍射峰明顯變寬,表明淀粉作為穩定劑使得Fe3O4納米粒子的粒徑減小.

圖 1 Fe3O4納米粒子的XRD圖譜
圖 2是Fe3O4納米粒子的SEM圖像.由圖 2a可知,經過48 h后,未穩定的Fe3O4納米粒子絕大部分都團聚沉淀,淀粉穩定的Fe3O4納米粒子則分散性良好,未出現沉淀現象.原因可能是作為穩定劑的淀粉包覆在Fe3O4納米粒子表面,由于空間位阻和電荷排斥作用克服了能使粒子間發生團聚作用的范德華力和磁性吸力,從而使得納米粒子能均勻地分散在水中.通過圖 2a能清晰地看到未穩定Fe3O4納米粒子的外貌特征,可知粒子間的團聚現象嚴重,大量粒徑小于50 nm的納米粒子發生團聚形成一個具大的粒子團.而穩定的Fe3O4納米粒子由于表面有一層淀粉包覆,圖 2b并不能很好地反映出穩定納米粒子的外貌特征.因此,進一步運用透射電鏡(TEM)對其進行表征,結果見圖 3.由圖 3可知,淀粉穩定的Fe3O4納米粒子分散性良好,呈單一類球狀,粒子粒徑都小于30 nm,與An等制備的分散性良好的淀粉穩定Fe3O4納米粒子粒徑為10~30 nm的結論一致.

圖 2 Fe3O4納米粒子的SEM圖(a.未穩定Fe3O4,b.穩定Fe3O4)

圖 3穩定Fe3O4納米粒子的TEM圖
3.2 As(V)吸附動力學
圖 4是Fe3O4納米粒子對As(V)的吸附曲線.由圖可知,無論是未穩定還是穩定的Fe3O4納米粒子,對As(V)的去除率都隨著吸附時間的延長而不斷增加,吸附過程都包含3個階段.初始階段為As(V)的快速吸附過程,在吸附1 h后的去除率就分別達到了70%和80%以上,主要原因是該階段納米粒子的比表面積大,吸附活性點位多,吸附反應容易進行;隨著吸附時間的增加,納米粒子表面的吸附位點逐漸被占據,進入緩慢吸附階段,此時的吸附作用主要依靠內擴散來進行;60 h后吸附就已經達到平衡,未穩定和穩定的Fe3O4粒子此時對As(V)的去除率分別為92%和99%,兩者都表現出高效的除砷能力,與未穩定的Fe3O4納米粒子相比,分散性較好的淀粉穩定的Fe3O4納米粒子除As(V)效率更高.根據He等的研究,淀粉穩定的納米鐵粒子注入到地下水中進行原位修復,穩定的納米鐵顆粒因為良好的分散性能在注入到地下后具有較強的穿透性,能夠實現與較大面積受污染地下水和土壤的接觸,最終固定到土壤中達到去除污染物的效果.由此可見,采用淀粉作為穩定劑制備Fe3O4納米粒子在進行地下水原位修復方面同樣具有很大的應用潛力,在有效修復的同時,不會破壞土壤原本的結構和功能,符合原位修復的要求和理念.

圖 4穩定和未穩定的Fe3O4對As(V)的吸附曲線
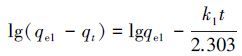
為了進一步研究Fe3O4納米粒子對As(V)的吸附動力學特征,采用吸附動力學模型方程對吸附過程進行模擬,包括Lagergren準一級動力學方程(式(2))和Ho準二級動力學方程(式(3)).

(2)

(3)
式中,qe1、qe2分別為準一級、準二級動力學方程中的平衡吸附量(mg·g-1);k1(h-1)、k2(g·mg-1·h-1)分別為準一級和準二級吸附速率常數;qt是t時刻的吸附量(mg·g-1).以lg(qe1-qt)對t及t/qt對t作圖,對數據進行線性擬合,擬合曲線見圖 5,擬合具體參數見表 2.

圖 5穩定和未穩定的Fe3O4吸附As(V)的吸附動力學擬合曲線
表 2 穩定Fe3O4和未穩定的Fe3O4吸附砷的動力學擬合參數

由擬合結果可知,未穩定和穩定Fe3O4納米粒子對As(V)的吸附過程符合準二級動力學方程,R2均達到了0.9999.此外,擬合得到的平衡吸附量與實際平衡吸附量相差不大,準二級動力學模型擬合得到未穩定和穩定Fe3O4納米粒子對As(V)的平衡吸附量分別為4.46和4.69 mg·g-1,而實測值分別為4.45和4.75 mg·g-1,兩者比較接近.準二級吸附動力學模型假設條件是吸附劑與吸附質之間存在電子的共用或轉移,即吸附速率受到化學吸附機理的控制.因此,Fe3O4納米粒子對水體中As(V)的吸附過程不僅包含物理吸附過程,還存在化學吸附的共同作用.
3.3 不同pH條件下As(V)的吸附等溫線
由圖 6可知,穩定的Fe3O4納米粒子對As(V)的吸附容量隨著初始濃度的增加而增大,隨著pH的增大而逐漸減小.酸堿度影響Fe3O4納米粒子吸附溶液中的As(V),可能是因為As(V)在溶液中主要是以砷酸根的形式存在,而隨著pH的升高,溶液中的OH-逐漸增多,OH-與砷酸根離子競爭吸附點位,從而使納米粒子對砷的吸附量減少.相反地,高pH有利于As(V)的解吸,為地下水中砷的富集創造條件,因此,高砷地下水一般呈弱堿性.

圖 6不同pH條件下As(V)的吸附等溫擬合曲線
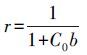
為了進一步確定吸附劑和吸附質之間的相互作用和吸附機理,本研究采用了兩種模型對吸附等溫線進行擬合分析,分別是Langmuir單層吸附模型(式(4))和Freundlich經驗模型(式(5)).

(4)
(5)
式中,qe為吸附平衡時的吸附量(mg·g-1);b為等溫方程的平衡常數(L·mg-1);ce為吸附達到平衡時砷的質量濃度(mg·L-1);qm為顆粒表面單層的飽和吸附量(mg·g-1);q為吸附量(mg·g-1);k為等溫方程相關常數(L1/n·mg1-1/n·g-1);n為等溫式中與吸附強度相關的常數.k越大,表明吸附效果越好;n越大,表明材料越容易吸附.以ce為橫坐標,qe為縱坐標進行Langmuir和Freundlich模型擬合,得到各pH的非線性吸附等溫線擬合曲線和具體擬合參數,結果如圖 6及表 3所示.
表 3 不同pH條件下As(V)的吸附等溫線擬合參數

通過Langmuir擬合參數b可以計算得到判斷吸附劑對吸附質親和力的無量綱參數r.r的范圍在0~1,表明有利吸附,計算公式如下:

(6)
Langmuir假設的是吸附劑的表面存在大量的吸附活性中心點,吸附只在中心點上進行,每個點位吸附一個物質分子,點位數量和吸附物質的量是有限的,當吸附點位全部被占滿時,吸附量就達到了飽和.由擬合結果可以看出,Langmuir單層吸附模型方程更準確地表達了穩定的Fe3O4納米粒子吸附砷過程中吸附量與砷濃度的關系,這與謝亞巍的鐵氧化物對砷的吸附特性研究的結論一致,也與前文得到的溶液中OH-能與砷酸根離子產生競爭吸附點位,隨著pH的增大,吸附容量逐漸降低的結論一致.根據公式計算得到各pH條件下的最大吸附量依次為447.41、244.08、202.56、77.46 mg·L-1,說明穩定的Fe3O4納米粒子對As(V)具有大的飽和吸附量,能有效地去除水體中的As(V).計算得到不同pH條件下各初始濃度的r都在0~1的范圍內,說明納米粒子對As的吸附為有利吸附,吸附反應易于進行.此外,Freundlich模型方程也能對吸附行為進行較好的擬合,不同pH擬合得到的k和n都比較大,也說明了納米粒子對As(V)具有很強的吸附能力.
表 4 不同pH條件下各初始質量濃度的r值

3.4 其它因素對As(V)吸附的影響3.4.1 初始濃度對As(V)吸附的影響
由圖 7可知,隨著溶液中As(V)濃度的增加,去除率逐漸降低.溶液初始As(V)濃度由375 μg·L-1增加到500 μg·L-1時,反應60 h后的去除率由99%下降到97%,增加單位濃度去除率下降的幅度比較小,說明淀粉穩定的Fe3O4納米粒子表面的吸附點位還有大量空余,吸附還未達到完全飽和.當濃度增加到1000 μg·L-1時,去除率下降到了87%,單位濃度的去除率下降速率加快,說明此時溶液中As(V)濃度的繼續增加會使得去除率下降速率加快.穩定的Fe3O4納米粒子吸附溶液中的As(V)過程中,隨著吸附時間的延長,pH會出現小幅度的下降.吸附60 h后溶液pH從初始的8.0變為7.8,60 h內的波動范圍在7.5~8.0,波動幅度較小.因此,用穩定的Fe3O4納米粒子吸附溶液中的As(V)可視為不會引起pH的改變.

圖 7不同初始As(V)濃度的吸附時間曲線
3.4.2 腐殖酸(HA)對As(V)吸附的影響
本實驗討論的是溶于堿不溶于酸的腐殖酸對淀粉穩定的Fe3O4納米粒子吸附水中As(V)的影響,腐殖酸中C元素的質量分數為56.95%.將0.1 g的腐殖酸溶于20 mL濃度為0.1 mol·L-1的NaOH溶液中,用蒸餾水定容到100 mL,得到質量濃度為1.0 g·L-1的備用腐殖酸溶液.
由表 5可知,溶液中只加入可溶性腐殖酸濃度為25 mg·L-1時不會對溶液的As(V)濃度產生影響,但腐殖酸的存在會極大地降低Fe3O4納米粒子對As(V)的去除能力.濃度為1000 μg·L-1的As(V)溶液中加入的腐殖酸濃度為25 mg·L-1,Fe3O4納米粒子對As(V)的去除率從未加有機質前的87%下降到71%,下降了16%.由此可見,可溶性腐殖酸的存在會抑制Fe3O4納米粒子對溶液中As(V)的吸附作用.這可能一方面是因為加入腐殖酸之后,Fe3O4粒子表面的一部分吸附位點被腐殖酸占據,與砷酸根產生競爭吸附,抑制了對砷的吸附作用;另一方面,腐殖酸能與溶液中的砷發生絡合作用,產生As(V)-HA絡合物,由于空間位阻和表面電荷等因素的影響,該絡合物不易被Fe3O4納米粒子吸附,從而抑制了對砷的吸附作用.陳鍇等研究發現,當腐殖酸濃度為25 mg·L-1時,腐殖酸與砷酸根的競爭吸附作用是導致納米粒子吸附砷能力下降的主要因素.但由表 5可知,溶液As(V)濃度為375 μg·L-1時,25 mg·L-1腐殖酸的加入并未對Fe3O4納米粒子吸附作用產生明顯的影響.可能是因為質量一定的納米粒子對As(V)的吸附能力足以消除腐殖酸帶來的阻礙作用,因此,去除率并沒有引起大的變化.
表 5 腐殖酸對As(V)吸附的影響

3.5 納米粒子對天然富砷地下水砷的吸附
由表 6可知,淀粉穩定的Fe3O4納米粒子對天然富砷地下水也具有較強的砷吸附能力,砷的去除率隨著淀粉穩定的Fe3O4納米粒子懸浮液投加量的增加而逐漸增大,當投加量與地下水體積比為1∶9時,去除率達到了95%.但與納米粒子對標準As(V)溶液的吸附能力相比,吸附性能有所下降.這主要是由于天然富砷地下水成分復雜,不同離子之間產生了競爭吸附所致.同時,天然地下水中部分砷以活潑性更強的亞砷酸根形式存在,也降低了吸附材料對總砷的去除效率.具體參見污水寶商城資料或http://m.dongaorq.cn更多相關技術文檔。
表 6 穩定Fe3O4納米粒子投加量對天然地下水砷吸附的影響

4 結論
1) 利用共沉淀的方法以淀粉作為穩定劑制備的穩定Fe3O4納米粒子與未加穩定劑制備的Fe3O4粒子相比,具有穩定性高、分散性好、在懸浮液中不易團聚沉降的特點.因此,從制備效果、環保和地下水原位修復應用的角度出發,以淀粉作為合成納米粒子的穩定劑是較好的選擇.
2) 研究表明,淀粉穩定的Fe3O4納米粒子對溶液中的As(V)具有較強的吸附能力,吸附容量與溶液pH有關,隨著pH增大,納米粒子對As(V)的吸附容量逐漸減小.因此,運用Fe3O4粒子去除砷時還要考慮溶液的酸堿度,當堿性過大時吸附劑不宜用Fe3O4納米粒子.Fe3O4對As(V)的吸附過程屬于準二級動力學模型,吸附等溫線更符合Langmuir單層吸附模型方程.
3) 在水溶液為弱堿性時,淀粉穩定的Fe3O4納米粒子吸附溶液中As(V)的過程基本不會引起溶液酸堿度的變化.可溶性腐殖酸對納米粒子吸附水體中As(V)具有較大的影響,其存在會降低納米Fe3O4粒子的除砷能力.當溶液中腐殖酸的含量為25 mg·L-1時,納米粒子對As(V)的去除率下降了16%.
4)淀粉穩定Fe3O4納米粒子對天然富砷地下水也具有較強的吸附除砷能力,去除效率隨著納米粒子投加量的增加而增大.當納米粒子投加量與地下水體積比為1∶9時,水體中總砷的去除率達到了95%.


