1 引言
再生水的利用已成為解決水資源短缺的重要途徑之一,景觀環境用水通常在城市用水總量中占有較大比率,國內外已有許多城市將再生水作為景觀水體的補充水源.景觀水體色度是評價水體水質重要的指標之一,也是直接反映水質好壞程度的重要參數. 過高的色度表明景觀水質惡化,喪失了美學景觀效應.臭氧具有很強的脫色、嗅、味能力,能有效改善水體的感官指標,可直接或間接地降解污水中的有機物.臭氧是一種強氧化劑,可以有效去除水中的有機污染物、色度和濁度等(Facile et al.,2000),但是在經過臭氧處理的水補充景觀水體一段時間之后又會復色,國內外對臭氧的脫色作用已有大量的研究報道,但引起處理后的水體復色的原因及解決的辦法研究較少.
為了研究再生水深度處理過程臭氧氧化后水體復色的原因及防止復色的方法,以北京某城市污水處理廠二級出水-砂濾-臭氧氧化深度處理出水為研究對象進行人工條件培養,考察臭氧氧化對再生水中藻類繁殖的影響以及與藻類生長有關的氨氮、磷酸鹽等指標隨時間變化和培養過程中色度的變化分析,研究了再生水體復色的原因和防止水體復色的方法,為再生水臭氧化處理防止水體復色提供技術支持.
2 材料與方法
2.1 臭氧氧化實驗
臭氧氧化試驗在中試處理裝置中完成,中試處理流程如圖 1所示,其中主要包括空氣壓縮凈化裝置、空氣冷凝機、制氧裝置、臭氧發生器、臭氧反應塔(不銹鋼材質)、臭氧濃度檢測器和催化臭氧尾氣處理裝置.空氣經壓縮機和凈化裝置進入臭氧發生器放電室,產生含有臭氧氣體的混合氣體,臭氧混合氣體經鈦金屬曝氣裝置均勻布氣進入臭氧反應塔,氣水逆流進行,以便充分混合反應,剩余臭氧進入臭氧尾氣破壞器被催化分解.臭氧濃度通過在線監測儀(Hare EG-600,Jitsugyo 日本)檢測.臭氧反應塔有效容積為250 L,臭氧與水的接觸時間10 min,進水流量為1.5 m3 · h-1.通過調節臭氧發生裝置的臭氧濃度與進氣流量,將投加量分別控制在2、4、6、8、10 mg · L-1.

圖 1 臭氧處理流程示意圖
2.2 脫色穩定性研究
臭氧氧化后用高溫滅菌的白廣口瓶各取6 L水樣放入恒溫氣候箱中進行培養,培養條件為:晝長14 h,25 ℃,35% RH,20%光照,夜長10 h,20 ℃,60%RH.
以實驗當天為培養第一天,取一定體積的水樣測定色度與濁度.使用0.45 μm濾膜過濾后水樣進行色度、NH+4-N、溶解性正磷酸鹽、UV254、TOC、DOC和三維熒光分析.濾膜經6~8 h冷凍干燥后測定葉綠素a的含量.
2.3 分析方法
2.3.1 水質參數分析測定
水質指標氨氮(NH+4-N)的測定采用納氏試劑比色法;TOC、DOC的測定采用Analytikjena Multi N/T2100 TOC/TN測定儀測量;UV254采用UV-2401(SHIMADZU)型紫外/可見分光光度計測定;表色色度與真色色度測定采用SD-9012A色度測定儀;濁度測定采用2100AN型臺式濁度儀.
葉綠素a采用三波長法測定,其具體方法為:用醋酸纖維酯微孔濾膜(孔徑0.45 μm)對一定體積的藻液過濾,然后將濾膜放入10 mL離心管中,加入90%的丙酮10 mL,用渦旋混合儀使其充分振蕩,放置冰箱內提取24 h,然后于冰凍離心機在4500 r · min-1下離心10 min,移取上清液于1 cm比色皿中,用分光光度計測定750、663、645和630 nm處的吸光度,以90%丙酮溶液作為參比,按公式(1)計算得出葉綠素a含量.

式中,Chla是葉綠素a濃度(mg · m-3),V是水樣體積(L),D是吸光度,V1表示提取液定容后的體積,δ是比色皿光程(cm).
2.3.2 三維熒光光譜分析
三維熒光光譜采用Hitachi F-4500熒光光度計測定.激發波長范圍為200~400 nm,發射波長范圍為 280~500 nm.間隔均為10 nm,掃描速度為12000 nm · min-1,帶通為10 nm.
3 結果與討論
3.1 不同臭氧投加劑量對表色與真色的去除影響
表色主要是溶解物質及不溶解性懸浮物產生的顏色,真色僅由溶解物質產生的顏色(Nguyen et al., 2005).表色與真色隨臭氧投加量的變化如圖 2所示.臭氧投量超過4 mg · L-1時,表色與真色的去除率趨于穩定,這是可能是由于水中仍有部分顯色物質難以經臭氧氧化得到去除.當臭氧投量大于6 mg · L-1時,對色度的去除率趨于平緩.當臭氧投加量為10 mg · L-1時,表色由最開始的20度下降到5度,去除率為75%,真色值由13度下降到2度,去除率為84.6%.由此可知,臭氧對水中溶解有機物和不溶解懸浮物都具有很好的氧化作用.

圖 2 表色與真色隨臭氧投加量的變化曲線
3.2 不同臭氧投加量對UV254與濁度的去除影響
如圖 3所示,隨著臭氧投加量的增加,UV254由原來的0.097降為0.056,說明臭氧氧化對芳香環類化合物有一定的去除能力.此外,當臭氧投加量為10 mg · L-1時,濁度由起始的2.08 NTU降為最終的0.77 NTU,濁度降低了1.31 NTU.

圖 3 UV254與濁度隨臭氧投加量的變化
3.3 模擬自然條件下藻類和水質的變化情況
3.3.1 表觀現象描述
從外觀看,經過臭氧投加量為2、4、6、8、10 mg · L-1氧化后的水樣起初均比較清澈,沒有懸浮物質.只有未經臭氧處理的原水呈現淺綠色,同時有少量懸浮物質.當模擬自然條件15 d后,未經臭氧氧化的水樣變為綠色,水體也變得渾濁,懸浮物質增多.投加量2、4、6 mg · L-1再生水水體先由無色轉為淺黃色,隨后又變為綠色,臭氧投加量為4、6 mg · L-1的再生水體變為綠色的時間比較短.而投加量為8、10 mg · L-1的再生水樣無明顯顏色和濁度的變化.24 d后,投加量為0、2、4、6 mg · L-1的再生水樣變為深綠色,且隨著臭氧投加量的增加,水樣中濁度也越高,尤其4、6 mg · L-1水樣最明顯.這些現象與藻類的生長密切相關,在前期當水體中開始出現藻類時,其均勻地分散在整個水體之中,水體逐漸變得渾濁.在后期,藻類開始聚集在水體的表面和底部,投加量為8、10 mg · L-1的水樣逐漸變為淺綠色,有少量懸浮物質出現.
3.3.2 葉綠素a隨時間的變化特征
由于所有藻類均含有葉綠素a,故作為反映水中微生物初級生產力的指標能夠較為直接的反映藻細胞的生長情況 .圖 4為不同臭氧投加量下葉綠素a隨時間增長的變化曲線.可以看出,藻類生長經過了遲緩期、對數增長期和穩定生長期幾個階段. 臭氧投加量為2、4、6 mg · L-1水樣的葉綠素a在經過藻生長初期約6 d的延滯期后開始逐漸增多,12 d后藻類開始突然急劇生長超過了未經氧化處理的水樣.這可能是由于低濃度時,臭氧只能破壞少量的藻細胞,促使其體內的N、P等釋放到水中,反而促進了藻類的生長. 然而,當臭氧投加量為8、10 mg · L-1的水樣的外觀一直未出現明顯變化.這是由于在高劑量條件下,臭氧殺死了絕大部分的藻類,保證了水樣的生物穩定性.

圖 4 葉綠素a濃度隨時間的變化
3.3.3 水中DOC、TOC隨時間的變化規律
圖 5a顯示DOC隨著臭氧投加量為2、4、6 mg · L-1從原來的5.03 mg · L-1增加到5.64 mg · L-1,投加量為8、10 mg · L-1時DOC濃度上升幅度又降為5.38 mg · L-1.可以說明臭氧分子氧化破壞細胞壁,導致細胞裂開死亡,胞內容物質釋放到水中,從而DOC上升;但隨著臭氧投加量進一步增加后,釋放出的細胞內容物被礦化為CO2.當模擬自然環境6 d后,細菌的大量繁殖利用了水中的部分有機物,DOC大幅降低.24 d后隨著水中藻類進入衰亡期,細胞內物質開始釋放,導致DOC上升.如圖 5b所示,未進行氧化預處理和高臭氧投加量下(大于8 mg · L-1),水中的TOC變化不大,而在低臭氧投加量下,水樣TOC有很大的提高,該結果和葉綠素a的分析結果相一致.說明低劑量的臭氧處理反而會促進藻類的繁殖.

圖 5 DOC(a)和TOC(b)隨時間的變化
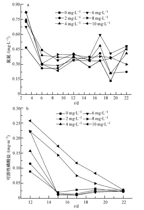
3.3.4 氨氮和可溶性磷酸鹽隨時間的變化情況
從圖 6a可以看出,氨氮濃度在前6 d明顯下降,隨后趨于平緩,這是由于藻類的生長利用水中的氨氮.從圖 6b可以看出,磷酸鹽濃度在初始的15 d內迅速下降,臭氧投加量為2、4、6 mg · L-1下降最快,之后緩慢下降,最后趨于穩定.在初始的15 d,藻類利用水中的N、P等營養物質快速生長,在臭氧投加量為6 mg · L-1的水樣中藻類生長最旺盛.在后期磷酸鹽被消耗殆盡,藻類也進入衰亡期,其數量迅速減少.

圖 6 氨氮(a)和磷酸鹽(b)濃度隨時間的變化
3.3.5 腐殖質類物質隨時間的變化規律
三維熒光光譜(Excitation-emission matrix,EEM)是一種高靈敏度的水中有機物的分析方法,能夠很好地反映水體中天然有機物的組成. 水中溶解性有機物可以按照熒光所屬位置,分為5個區域Flu I~Flu V.污水中主要的致色物質為富里酸類和腐殖質類物質,分別位于熒光光譜的III區和V區.圖 7為未進行處理和臭氧投加量為6 mg · L-1的熒光光譜圖.

圖 7 腐殖質隨時間變化三維熒光圖譜
從圖 8a和b可以看出,腐殖酸與富里酸類物質的去除率隨著臭氧投加量的增加逐漸增大. 當臭氧投加量為10 mg · L-1時,腐殖酸類和富里酸類物質的去除率達到88.7%和87.7%.隨著時間的變化,不同臭氧投加量的水樣中兩種物質的熒光強度變化不大,只有小幅度的增加,可能是由于水樣中藻類的衰亡腐敗導致.

圖 8 腐殖酸(a)和富里酸(b)熒光強度隨時間的變化
3.3.7 表色、真色和濁度隨時間的變化規律
如圖 9a所示,低劑量臭氧(小于6 mg · L-1)處理的水樣,表色在前12 d緩慢增加,之后快速上升,而超過8 mg · L-1臭氧處理后的水樣表色在19 d前未發生明顯變化,只有在19 d到22 d時突然增加.圖 9b顯示模擬條件下水樣的真色無明顯變化.圖 9c可以看出濁度同表色色度的變化相一致,15 d之前,水樣濁度并沒有很大變化,之后開始迅速上升.需要指出的是,水樣的表色、濁度變化和葉綠素a呈現出十分相似的變化規律,這也反映出水樣的外觀變化主要由藻類的生長繁殖而引起.具體參見污水寶商城資料或http://m.dongaorq.cn更多相關技術文檔。

圖 9 表色、真色和濁度隨時間的變化
4 結論
1)臭氧處理可以有效去除二級出水的表色和真色.當臭氧投加量為6 mg · L-1時,表色和真色的去除率超過75%.
2)模擬自然條件的過程中,所有水樣的真色未發現明顯變化,而葉綠素a、濁度和表色3個指標的變化趨勢十分相似,均出現緩慢增加和快速上升兩個階段.在起初的12 d,各指標均緩慢增加,之后開始快速增加,到22 d時達到最大.
3)臭氧氧化后水體復色主要是由于藻類的繁殖.提高臭氧投加量可以延長水體復色時間,保持水體的色度穩定性.再生水深度處理過程建議臭氧投加量為8 mg · L-1.


