1 引言
利用中溫干式厭氧消化技術處理餐廚垃圾,具有能耗低、有效利用反應器容積并且消化污泥產出量低的優點.前人對影響反應器產氣效率和運行穩定性的因素進行了研究分析,得出餐廚垃圾成分、溫度、TS、攪拌強度及顆粒粒徑等因素會對厭氧消化造成不同程度的影響.其中,溫度通過影響污泥中菌群的活性而決定有機物降解速率;中溫條件下進行干式厭氧消化,TS對產氣速率的約束較明顯,其含量影響污泥流動性并決定攪拌系統的能耗;攪拌強度影響反應器內的速度場和污泥顆粒大小,從而改變反應器內污泥的流變狀態,影響污泥的均質化和氣體的逸出.污泥的流變狀態則會改變厭氧消化物料的傳熱與傳質,進而影響其它與反應器穩定運行有關的因素.
Eshtiaghi等歸納了前人關于污泥流變性質的研究成果:動力粘度是污泥流動阻力的度量,溫度、TS含量是影響污泥流變性質的重要因素,剪切速率與動力粘度之間的關系則可以對不同類型的污泥做出流變性質的評價.在這些研究中,污泥樣品的TS含量較低(TS≤10%),且多為市政污泥,對餐廚垃圾厭氧消化污泥的研究較少.
本文以餐廚垃圾為進料進行半連續式和序批式的中溫厭氧消化試驗,以反應器中的厭氧消化污泥為研究對象,通過繪制粘溫曲線、粘度曲線和流動曲線,考察溫度、TS和剪切速率對污泥流變性的影響,以期為厭氧消化反應器的設計,熱交換系統、污泥泵送系統和物料混合系統的優化提供基礎數據.
2 材料與方法
2.1 材料
餐廚垃圾取自重慶大學B區某學生食堂,人工剔除竹筷、紙張等雜質,通過篩網濾掉流動的油脂.半連續式厭氧消化試驗的接種污泥取自重慶市白市驛某沼氣池,經馴化后使用.餐廚垃圾和接種污泥的理化特性見表 1.序批式厭氧消化試驗的接種污泥取自運行穩定時的半連續式厭氧消化反應器.
表 1 餐廚垃圾及接種污泥的理化特性

2.2 試驗裝置及過程
半連續式試驗采用自制單相CSTR厭氧消化反應器,見圖 1a,反應器有效容積為50 L,頂部進料下部出料.關閉進、出料口時反應器內部形成厭氧狀態.通過溫控儀控制加熱循環水,反應器內部溫度維持在中溫(35±2)℃.斜葉式機械攪拌器轉速設定為45 r·min-1,運轉周期為5 min·h-1,每日物料回流比為2 ∶ 1.反應器運行過程中有機負荷(Organic loading rate,OLR)變化情況見表 2,進料前將餐廚垃圾粉碎至粒徑小于2 mm.反應器運行過程中,進料餐廚垃圾TS保持不變,由于反應器運行過程中受到抑制,本試驗采用加水稀釋的方式降低反應器中的TS,加水稀釋量見表 2.

圖 1 厭氧消化試驗裝置圖
表 2 半連續式反應器有機負荷及加水量變化

半連續式反應器運行期間,每日定時從反應器底部出料口取污泥樣品,測定pH、TS、VS/TS以及動力粘度,并測定其上清液的VFA、COD及氨氮含量,以評估反應器的運行狀況.
序批式試驗裝置見圖 1b,通過加水將接種污泥稀釋至不同TS水平,取300 mL污泥加入500 mL的廣口瓶,餐廚垃圾和污泥在試驗前粉碎至粒徑小于2 mm,有機負荷設定為4 kg·m-3(以VS計),每個TS設兩個平行試驗.通過往復式恒溫水浴振蕩器(SHA-C)維持消化溫度35 ℃,振蕩頻率為20 r·min-1.反應結束后測定污泥的TS、VS/TS以及動力粘度.
2.3 分析方法
COD、VFA和氨氮按照標準方法測定;TS和VS/TST利用稱重法測定;pH值利用PHS-3C型pH計測定;產氣量利用LML-3型濕式氣體流量計測定.
動力粘度利用HBDV-Ⅱ+Pro型旋轉粘度計(上海尼潤智能有限公司)測定,配備RTD溫度探頭(精度0.1 ℃),以及2#~7#共6個轉子用于測定不同動力粘度的流體,轉子的剪切速率范圍為2.09~41.8 s-1,該剪切速率可以認定為層流.
2.3.1 溫度對流變特性影響測試
通過水浴加熱將污泥樣品從室溫20 ℃升至70 ℃,隨后自然降溫,粘度計選用3#轉子,固定剪切速率γ為41.8 s-1.取半連續式反應器內的消化污泥,TS分別為26.23%、22.17%、21.41%,測定不同溫度下的動力粘度,繪制粘溫曲線.
2.3.2 TS含量和剪切速率對流變特性影響測試
通過恒溫水浴控制污泥樣品溫度為(35.0±0.1)℃,通過由低到高的剪切速率(2.09~41.8 s-1),測定污泥的動力粘度,繪制粘度曲線.樣品測定時,半連續式消化污泥TS和對應選用的粘度計轉子分別為29.54%(4#)、26.08%(4#)、24.82%(3#)、22.64%(3#);序批式消化污泥TS和對應選用的粘度計轉子分別為22.48%(3#)、20.13%(3#)、18.40%(3#)、16.46%(3#)、13.96%(2#)、12.09%(2#).
2.3.3 厭氧消化污泥的時間相關性和觸變性的測定
取序批式消化污泥進行測定,獲得剪切速率-剪切應力的上升曲線和下降曲線,同時獲得相應的粘度曲線,污泥TS和粘度計轉子選用同2.3.2節;粘度計使用2#轉子,固定剪切速率γ為31.4 s-1,測定污泥動力粘度隨剪切時間發生的變化,并記錄剪切時的溫度變化,繪制溫度時間曲線和粘度曲線,污泥TS分別為16.46%、13.96%、12.09%.污泥樣品的TS和VS/TS見表 3.
表 3 污泥TS、VS/TS及取樣時間

3 試驗結果
圖 2表示的是半連續式反應器運行過程中,消化污泥的TS受有機負荷和加水稀釋影響而發生的變化.圖 3表示的是半連續式消化污泥的TS和VS/TS隨運行時間的變化情況.從圖 2中可以看出,保持進料的餐廚垃圾TS固定不變會使反應器內消化污泥的TS逐漸提升,加水稀釋可以快速改變消化污泥TS.從圖 3中可以看出,在反應器運行的第54 d以后,TS波動較為明顯,而VS/TS的變化相對較為平穩,一定程度上說明污泥中的微生物數量并沒有隨TS含量的變化而發生較大波動.

圖 2 半連續式消化污泥TS隨有機負荷、加水量的變化曲線

圖 3 半連續式消化污泥TS、VS/TS-時間變化曲線
圖 4表示的是半連續式消化污泥動力粘度隨溫度的變化情況.從圖 4可以看出,污泥的動力粘度隨溫度的升高而降低,即溫度越高,流動性越好.污泥在自然降溫時的動力粘度高于升溫時的動力粘度,說明溫度升高的過程對污泥流變性造成了不可逆的影響.結合表 3,粘度測定的樣品中TS區別明顯,而VS/TS較為接近,可知TS較VS/TS更明顯的影響污泥的流變性質.從圖 4中還可看出,TS含量越高,溫度對動力粘度的影響越明顯;在同一溫度下,污泥TS含量越高,動力粘度相應越大.

圖 4 半連續式消化污泥溫度-動力粘度曲線
圖 5a、b分別為半連續式和序批式厭氧消化反應器內污泥的動力粘度隨剪切速率的變化.圖 6表示的是不同TS的序批式消化污泥在γ=41.8 s-1下的動力粘度值.

圖 5 剪切速率-動力粘度曲線

圖 6 序批式消化污泥動力粘度隨TS的變化
從圖 5中可以看出,兩種污泥的動力粘度均隨著剪切速率的提高而減小,并在低剪切速率下(γ<10.4 s-1)隨剪切速率的提高而迅速下降;隨著剪切速率繼續增大(γ>20.9 s-1),減小幅度下降,最后趨于穩定.并且TS含量越低,動力粘度值趨于穩定的速度也越快,TS越高,達到穩定值所需要的剪切速率也越大.粘度曲線說明餐廚垃圾厭氧消化污泥為非牛頓流體,并具有剪切變稀的特點,TS含量越高這一特征越明顯.結合表 3可以看出,TS比VS/TS更能影響污泥的流變性.而且還可從圖 5看出,在任一相同的剪切速率下,TS含量越高則動力粘度越大,并可從圖 6得到證實.對比圖 5a、b,TS相近時,序批式反應器中污泥的動力粘度要高于半連續式.從圖 6可以看出,同一剪切速率下,污泥的動力粘度與TS含量之間為非線性關系,動力粘度值隨TS的增大而提高的越來越快.
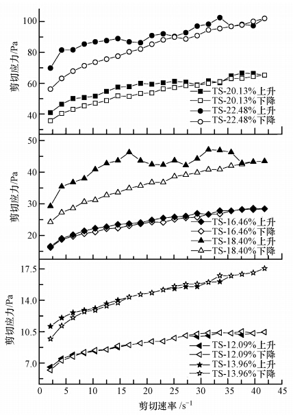
圖 7表示的是序批式消化污泥的剪切速率-剪切應力曲線.從圖 7中可以看出,污泥的流動曲線由剪切速率提高時的上升曲線和剪切速率降低時的下降曲線構成,兩條不重合并形成順時針方向的滯后環,說明厭氧消化污泥為時間相關性流體(陳惠 釗,2003).TS含量越高,上升曲線和下降曲線的差異越大,剪切應力與剪切速率之間的非線性關系越明顯.

圖 7 剪切速率-剪切應力曲線
圖 8表示的是固定γ為31.4 s-1時,序批式消化污泥動力粘度和溫度隨剪切時間的變化關系.從圖 8中可以看出,污泥的動力粘度隨剪切時間增加而降低,并且在剛開始剪切時動力粘度變化快,隨后變化趨于穩定,其粘度變化量見表 4.從表 4中可以看出,粘度測定過程中污泥溫度變化較小,可認為測定時溫度對流變性的影響一致.

圖 8 序批式消化污泥動力粘度和溫度隨剪切時間的變化
表 4 污泥粘度及溫度隨剪切時間的變化

圖 9為中溫厭氧消化污泥在剪切速率由低到高(上升曲線)并回落(下降曲線)的過程中相應的粘度曲線.從圖 9中可以看出,污泥的動力粘度隨剪切速率增加而減小,剪切速率減小時污泥的動力粘度增大,但是污泥動力粘度增大的速度比減小的速度慢.TS含量越低,剪切速率升、降形成的粘度曲線越接近,TS含量越高,上升曲線和下降曲線區別越明顯.

圖 9 剪切速率-粘度曲線
4 討論
4.1 溫度對流變特性的影響
有研究表明,對于低TS含量的污泥,動力粘度隨溫度降低而升高,Baudez等研究表明污泥的動力粘度會隨溫度提高而降低.對于溫度影響污泥粘度的機理,研究者從溫度對污泥組分、附著微生物和結構等方面做出分析:Baudez等認為溫度的變化會影響污泥的空間結構及組分的改變,使污泥的流變性質發生不可逆的變化;厭氧消化過程中細菌對溫度波動非常敏感,對溫度變化需要一定的適應期;Baroutian等認為當污泥受熱時,由于熱運動導致分子之間的凝聚力減少,從而導致了剪切應力以及粘度隨之降低;Forster則論證了污泥顆粒表面包括蛋白質和多糖在內的聚合物數量越多,污泥的流動性就會越差.
有研究表明,對TS含量為25%~30%的生活垃圾進行厭氧消化,中溫條件下產氣效率很低,高溫時產氣正常.從溫度方面分析,同樣的TS含量下,溫度越高,污泥中的微生物活性越強,傳質效率因物料分子間凝聚力的減小而提高,污泥動力粘度減小,流動性增強,從而有效的提高了反應速度,使反應器能正常運行.
筆者認為,溫度對污泥的空間結構和流變性影響很大,溫度提高時,表面張力減小和分子熱運動加劇以及污泥中微生物的活性增強導致污泥顆粒之間的凝聚力減小,動力粘度降低;在降溫時污泥顆粒之間的凝聚力提升,同時溫度的改變對厭氧消化污泥的空間結構造成了不可逆的影響,導致降溫時的動力粘度高于升溫時的粘度值.作為進料的餐廚垃圾提供的豐富有機質則影響了污泥表面聚合物的成分及數量,增強了污泥空間結構的穩定性,比較同一溫度下的動力粘度,TS含量越高,這種影響越明顯.
4.2 TS含量對流變特性的影響
對于高TS含量的污泥,Dentel and Dursun考察了TS為14%~28%的污泥脫水泥餅的流變性;通過配制TS為28.84%~37.30%的造紙污泥漿體,郭光明等的研究結果顯示TS越高,動力粘度越高,這和TS小于10%時TS對污泥動力粘度的影響一致.研究人員分析了TS含量影響污泥粘度的機理:Abu-Jdayil等認為TS含量的提高使污泥顆粒直徑彼此更為接近,導致污泥顆粒之間的相互作用更強,導致動力粘度提高;Pevere等的研究顯示TS含量不變時,顆粒直徑的減小會增加顆粒彼此之間接觸的表面積,從而增加污泥的極限粘度.
分析圖 5、圖 6可以看出,半連續式和序批式試驗的污泥均表現出TS含量越高,動力粘度值越大的特點,與此同時,各樣品VS/TS之間的差別并不明顯,說明TS對污泥的流變性有重要影響.結合圖 5和圖 9,比較污泥在同一剪切速率時的動力粘度值,在相近的TS范圍內,序批式污泥的動力粘度相對較高,可能因為序批式污泥的粒徑更小且比較均勻,相互之間接觸的表面積較大,增強了污泥顆粒之間的相互作用.污泥TS越高,污泥顆粒數量越多,顆粒之間相互作用的機會越增加,導致污泥的TS越大動力粘度越高.
4.3 剪切速率對流變特性的影響
圖 5可以看出,污泥屬于剪切變稀的非牛頓流體.攪拌會對污泥產生剪切作用,污泥顆粒間的凝聚力傾向于恢復污泥的空間結構,剪切應力傾向于破壞污泥結構,在臨界狀態時,污泥結構完全破壞,污泥發生流動.因而剪切速率增大時污泥的空間結構破壞,粘度值降低,流動性增強,相應的傳質傳熱效率提升.從圖 5圖 6中可以看出,γ<10.4 s-1時,攪拌速度相對較低,但流動性較差;γ>20.9 s-1時,動力粘度隨剪切速率的提高改變較小,對應的剪切應力增大,增大了能耗并且不利于微生物的生長.結合圖 7進行分析,當污泥維持較好的流動性時,TS含量越低污泥實現均質化耗用的能量也就越少,隨著TS含量的提高,污泥實現均質化需要更高的剪切速率,意味著能耗的提高和物料之間傳質傳熱效果的下降.
4.4 污泥的觸變性與時間相關性
圖 7中剪切速率-剪切應力的上升曲線與下降曲線不重合,形成滯后環,說明餐廚垃圾厭氧消化污泥為時間相關性流體.滯后環同時也是流體觸變性的度量,觸變性不同的流體,滯后環形狀也有所差異,污泥TS含量越高,滯后環面積越大,觸變性也越強.
污泥的觸變性指的是時間相關性流體受施加的剪切應力作用會導致內部結構的破壞,破壞程度與剪切速率及剪切時間成正相關,從而出現圖 7污泥在固定的剪切速率下動力粘度隨剪切時間增加逐漸下降的現象.圖 9中剪切速率變化時,污泥動力粘度的增大速度慢于減小速度,這是因為在剪切速率增大的過程中,污泥結構受到破壞,污泥顆粒逐漸恢復其結構需要一定的時間,因而剪切速率減少時出現粘度恢復較慢的情況.從圖 8和圖 9可以判斷污泥為具有時間相關性的觸變性流體,并且TS含量越高,這一特征越明顯.
餐廚垃圾進行中溫干式厭氧消化,研究污泥觸變性的意義在于:攪拌速度決定了剪切速率,影響反應器內的速度場以及剪切力場,進而改變污泥的流變性質并對傳質和傳熱起主導作用,對污泥顆粒的粒徑和生長狀態造成影響.剪切應力與污泥TS含量直接相關,在輸送污泥時如果攪拌產生的剪切應力不夠高,會使污泥難以維持均質流并可能導致管路堵塞;對于厭氧消化反應器,攪拌不適或者污泥長時間靜置會導致污泥結構重建造成靜止不動的區域,這會嚴重影響污泥均質化,而這種效應會隨TS含量的提高變得更為明顯.因而對于高TS含量的餐廚垃圾厭氧消化污泥,反應器的設計和攪拌系統及泵送系統的優化,污泥的觸變性是需要考慮的重要因素.具體參見污水寶商城資料或http://m.dongaorq.cn更多相關技術文檔。
5 結論
1)餐廚垃圾中溫厭氧消化污泥屬于剪切變稀的非牛頓流體,具有時間相關性,為觸變性流體,并具有一定的剪切應力.
2)餐廚垃圾中溫厭氧消化污泥隨著溫度提高,動力粘度降低,流動性增強,溫度變化對污泥流變性有不可逆的影響.
3)餐廚垃圾進行中溫厭氧消化,系統內污泥TS>12%時,攪拌剪切速率γ介于10.4~20.9 s-1較為合適.
4)在同一剪切速率下,餐廚垃圾中溫厭氧消化污泥的TS含量越高,動力粘度越大,流動性也越差.
5)TS含量越高,溫度、TS含量以及剪切速率對污泥流變性的影響越明顯.


