合成染料根據其結構可分為偶氮類、蒽醌類、雜環類、酞菁類等,應用于紡織印染、造紙、皮革、化妝品、制藥等行業.在印染行業使用的染料就超過1000種,全球每年的染料使用量估計高達800000 t,其中的10%~15%在染色過程中隨著廢水排出;許多染料有致突、致癌毒性,而且結構復雜,市政污水系統的好氧處理難以對印染廢水進行脫色;吸附、絮凝、離子交換、超濾、電化學、化學氧化、光催化氧化等物理化學方法可以對印染廢水進行脫色,但成本較高.近年來微生物酶法脫色作為一種環境友好技術受到廣泛關注.
漆酶是一種含有銅離子的多酚氧化酶,它能催化多酚、木質素、氨基苯酚、多胺、芳基二胺等多種芳香族、非芳香族化合物發生氧化反應.它催化的特點就是使氧分子還原成為水,同時底物所形成的自由基可以自身結合或者相互偶聯,形成聚合物或偶聯物,而不產生其他物質(劉濤等,2005),因此漆酶的優點在于其催化染料脫色時不產生新的有害產物,是一種環保用酶.能夠產生漆酶的物種有很多,包括動物、植物、細菌、真菌等,其中利用白腐真菌生產漆酶被認為最具前景,Ganoderma lucidum分泌的漆酶具有耐熱性好、最適pH偏酸、脫色效率高等特點.
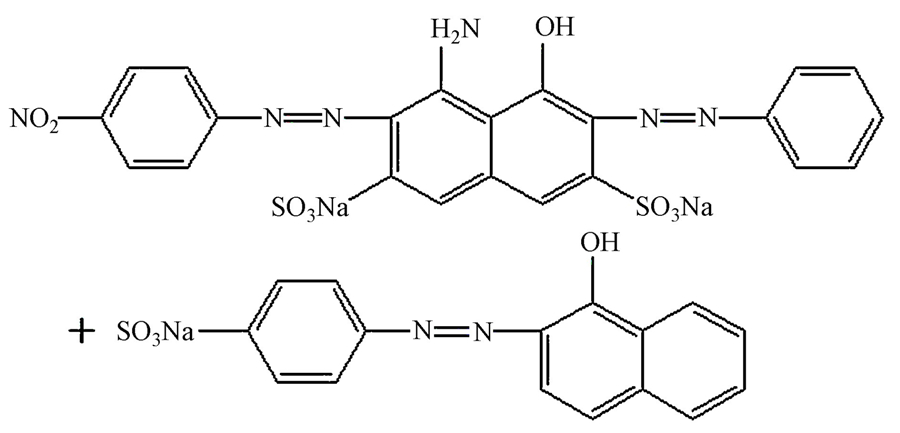
紡織印染廢水中成分復雜,含有多種染料、紡織助劑、鹽類、表面活性劑、紡織品降解物等,而目前漆酶脫色研究主要集中于對單種染料的降解.酸性黑ATT(圖 1)屬于一種復合的偶氮染料,由酸性黑10B和酸性橙Ⅱ按照70 ∶ 30比例調合而成,常用于毛、絲、棉綸及其混紡織物的染色,是一種代表性的復合染料.本研究利用Ganoderma lucidum wz-32所產漆酶催化酸性黑ATT脫色的條件,同時考慮到漆酶的催化作用會受到金屬離子、酶抑制劑和催化助劑的影響,研究了一些金屬離子和化學試劑對脫色的影響,以期為漆酶在復合染料廢水脫色處理領域的深入研究及工業化應用提供基礎.

圖 1 酸性黑ATT染料組成及分子結構
2 材料與方法
2.1 染料
酸性黑ATT(Acid Black ATT),購自溫州市化工市場.
2.2 化學試劑
ABTS(2,2-聯氮-二(3-乙基-苯并噻唑-6-磺酸)二銨鹽)、HBT(1-羥基-苯并-三氮唑),購自Sigma公司;磷酸氫二鈉、檸檬酸、硫酸銅、氯化鈷、硫酸鈉、硫酸亞鐵、氯化錳、碘化鉀、EDTA-鈉(乙二胺四乙酸二鈉)、SDS(十二烷基硫酸鈉)等試劑均為市售分析純.
2.3 漆酶的制備
將白腐菌Ganoderma lucidum wz-32(溫州大學發酵工程實驗室保存)接種于150 mL種子培養基(葡萄糖2%,玉米粉2%,豆粕2%,硫酸鎂0.075%,磷酸氫二鉀0.15%,水)在28 ℃、165 r · min-1搖床培養7d.將種子液按10%的接種量接種于發酵罐中,28 ℃液體發酵培養5d(培養基:可溶性淀粉2%,花生殼3%,豆粕1.5%,硫酸鎂0.075%,磷酸氫二鉀0.15%,硫酸銅0.01%,水).發酵結束后5000 r · min-1離心條件下取上清液即為粗酶液,置于4 ℃冰箱保存備用.
2.4 酶活性的測定
反應總體系3 mL,含0.1 mL經稀釋的酶液,1.9 mL pH 3.0的緩沖液(檸檬酸-磷酸氫二鈉)和1.0 mL 0.5 mmol · L-1 ABTS溶液.50 ℃水浴保溫3 min,420 nm處測定吸光值.每min氧化1 μmol底物(ABTS,吸光系數為36000 L ·(mol · cm)-1)所需要的酶量為1個酶活單位(U).
2.5 染料最大吸收光譜的測定
用蒸餾水把酸性黑ATT配成0.1 g · L-1的母液,測定時將溶液稀釋到線性范圍內,以蒸餾水為參比,進行光譜掃描得到酸性黑ATT的最大吸收波長為636.00nm.
2.6 染料的脫色試驗和脫色率的計算
在20mL的反應體系中,用檸檬酸-磷酸氫二鈉緩沖液調整脫色體系的pH,控制變量法依次改變脫色pH、時間、溫度、酶活、染料濃度進行試驗.分別測定脫色前后的吸光值(A),脫色率的計算公式(Khlifi et al., 2010):

式中,A0、A分別表示初始時刻和t時刻染料在最大吸收波長下的吸光值.實驗重復3 次,取平均值.
2.7 正交優化試驗
為確定漆酶催化酸性黑ATT脫色的最佳條件,對加酶量、pH、溫度、染料濃度進行正交優化試驗,選用L9(34)正交表安排試驗,各因素的試驗水平根據單因素的試驗結果確定,具體見表 1.
表1 正交試驗設計因素水平

3 結果與討論
3.1 時間對脫色效果的影響
在pH 5.0、加酶量6 U · mL-1、溫度為60 ℃、染料濃度0.1 g · L-1時,分別在保溫5、10、20、30、40、50、60、70、80 min時取樣,測定脫色率.結果(圖 2)表明隨著時間的延長,染料溶液的脫色率變化先快后慢,在反應的前20 min,其脫色率變化是最快的,20 min后其脫色率變化越來越小,60 min以后脫色率變化不大.隨著時間的延長,酶與染料中的成分已經充分接觸并使之脫色,60 min后體系中的染料濃度較低,不利于與酶活性中心結合,所以確定脫色時間為60 min進行后續試驗.

圖 2 漆酶催化酸性黑ATT脫色隨時間的變化
3.2 pH對脫色效果的影響
在加酶量6 U · mL-1、溫度60 ℃、染料濃度0.1 g · L-1條件下,分別調節緩沖液pH為3、4、5、6、7、8,保溫60 min.研究pH對漆酶催化酸性黑ATT脫色的影響,結果(圖 3)表明,當pH為3~8時,隨著pH的增大,脫色率呈先上升后下降的趨勢,pH為5時脫色效果最好.pH是影響酶活的主要因素之一,對酶活的影響關系到酶作用于染液的效果,而漆酶的酶活在偏酸的環境中較高,在酸性條件下有利于漆酶催化酸性黑ATT脫色.G.lucidum所產漆酶適應的pH范圍較寬,在pH 4.0~7.5酶活穩定,pH 4.0對偶氮染料Remazol Black-5和蒽醌染料Remazol Brilliant Blue R的脫色效果最好.

圖 3 pH對漆酶催化酸性黑ATT脫色的影響
3.3 溫度對脫色效果的影響
在pH 5.0、加酶量6 U · mL-1、染料濃度0.1 g · L-1條件下,分別設定溫度為40、50、60、70 ℃,保溫60 min.研究溫度對漆酶催化酸性黑ATT脫色的影響,結果(圖 4)表明,在40~60 ℃范圍內,脫色率變化不大,脫色率最高可達81%.G. lucidum所產漆酶為耐熱性酶,在60 ℃時的半衰期為2 h,4 h后殘存酶活為25%,但70 ℃時酶活快速下降,本研究結果與之相一致,當溫度為70 ℃時,脫色率明顯減小,因為溫度過高會導致酶蛋白變性,使酶的活性大幅下降,導致脫色率降低.

圖 4 溫度對漆酶催化酸性黑ATT脫色的影響
3.4 酶量對脫色效果的影響
在pH 5.0、溫度60 ℃、染料濃度0.1 g · L-1條件下,分別加入3~30 U · mL-1酶量,保溫60 min,研究加酶量對漆酶催化酸性黑ATT脫色的影響.結果如圖 5所示,在小于6 U · mL-1的酶活范圍內,隨著加酶量的增加,脫色率與加酶量成正相關,隨著酶的增多,反應活性中心增多,有利于與底物的結合從而提高脫色的效率,加酶量在6 U · mL-1時脫色率為84.62%,但繼續增加酶量并不能進一步顯著提高脫色率,這一結果與Murugesan等的結果相一致.

圖 5 加酶量對酸性黑ATT脫色的影響
在pH 5.0、加酶量6 U · mL-1、溫度60 ℃條件下,分別添加濃度為0.05、0.10、0.15 g · L-1、0.20、0.25、0.30 g · L-1的酸性黑ATT染料,保溫60 min,比較一定量的酶液脫色的染料濃度限度.如圖 6所示,在染料濃度為0.05~0.30 g · L-1時,脫色效果呈下降趨勢,但脫色率相差不大,都在80%以上,表明G. lucidum wz-32所產漆酶能耐受較高濃度的酸性黑ATT染料.提高染料濃度在前期脫色率較低,但隨著反應時間的延長,脫色率會逐漸上升,偶氮染料Remazol Black-5和蒽醌染料Remazol Brilliant Blue R在0.3 g · L-1濃度下對漆酶沒有抑制作用.酸性黑ATT中含有磺酸基(—SO3),磺酸基對染料的生物降解有一定的抑制作用.

圖 6 染料濃度對酸性黑ATT脫色的影響
3.6 正交試驗優化
對加酶量、pH、溫度、染料濃度4個因子進行正交試驗優化,結果(表 2)表明,對脫色率影響大小依次為C>B>D>A,即溫度>pH值>染料濃度>加酶量,最優組合為A3B2C2D1,所對應的最佳條件為:加酶量9 U · mL-1、反應pH 5.0、溫度為50 ℃、染料濃度為0.1 g · L-1.在此條件下進行驗證性試驗得到的脫色率為87.35%.
表2 酸性黑ATT脫色的正交實驗結果

3.7 金屬離子對脫色效果的影響
紡織廢水中往往含有Cu2+、Co2+、Zn2+、Na+等金屬離子,為探究各離子對脫色效果的影響,在正交試驗所得的最優條件下分別添加氯化鈷、硫酸鈉、硫酸亞鐵、硫酸鎂、氯化錳、硫酸銅、氯化鈣、氯化鉀、碘化鉀,濃度分別為0、0.5、1、5、10 mmol · L-1.結果表明,對脫色作用具有促進作用的離子有:Na+、Mg2+、Cu2+,但在試驗范圍內促進作用不顯著;具有抑制作用的離子有Co2+、Fe2+、Mn2+、Ca2+、I-(圖 7),10 mmol · L-1的濃度可使脫色率降低50%以上;其中Mn2+的抑制作用尤為顯著,0.5 mmol · L-1的濃度就使脫色率減小50%以上.通過KCl和KI的比較試驗,可以看出,I-濃度為10 mmol · L-1時脫色率只有17.01%,具有很強的抑制作用,因為I-可以抑制酶活,從而降低脫色率.

圖 7 不同離子對漆酶催化酸性黑ATT脫色的影響
銅離子在濃度小于1 mmol · L-1時,對脫色略有促進作用,而隨著銅離子濃度的上升,脫色率明顯下降.Cu2+是漆酶的組成部分,也是其活性中心,適量的Cu2+對漆酶的活性有促進作用.但是高濃度銅離子卻會起反作用,因為高濃度離子對染料本身的色澤起了加深作用.
3.8 酶抑制劑對脫色效果的影響
EDTA-鈉是一種絡合劑能夠與金屬陽離子形成高度穩定的水溶性絡合物,EDTA-鈉能夠與漆酶的銅離子結合,從而改變漆酶的活性結合位點;SDS是一種離子型去污劑,可使蛋白質變性.在正交試驗所得的最優條件下,分別加入0、0.1、0.5、1、10 mmol · L-1的EDTA-鈉、SDS,探究酶抑制劑對脫色率的影響.結果(圖 8)表明,EDTA-鈉對脫色的抑制作用不顯著,加入量達10 mmol · L-1時才顯現一定的抑制效果.SDS對脫色的抑制作用很強,濃度為10 mmol · L-1時脫色率降低了68%.

圖 8 酶抑制劑對漆酶催化酸性黑ATT脫色的影響
3.9 助劑對脫色效果的影響
分別在脫色體系中加入0、0.1、0.5、1.0 μmol · L-1 濃度的ABTS,0、0.5、1、5、10 mmol · L-1濃度的HBT,探究脫色助劑對脫色率的影響.結果(圖 9、10)表明,在試驗范圍內ABTS對脫色影響不顯著;但HBT效果顯著,室溫下加入1 mmol · L-1 HBT反應10 min,其脫色率可達到對照組(50 ℃)反應60 min時的脫色率(87.35%),顯著提高了漆酶的脫色效率.HBT是良好的氧化還原介質,在漆酶催化染料脫色、紙漿漂白及其它污染物降解過程中起著重要作用的研究表明HBT是Pleurotus sajor-caju和G. lucidum所產漆酶脫色的最佳助劑.漆酶-HBT介質系統對降 解Acid Red 1、Reactive Black 5、reactive red 239、reactive yellow 15、reactive blue 114等染料非常有效. HBT濃度為1.0 mmol · L-1時效果最佳(脫色率可達90.81%),濃度大于1.0 mmol · L-1以后促進作用反而降低(圖 10),因為HBT超過一定濃度時,其形成的自由基對漆酶的酶活有抑制作用.具體參見污水寶商城資料或http://m.dongaorq.cn更多相關技術文檔。

圖 9 ABTS對漆酶催化酸性黑ATT脫色的影響

圖 10 HBT對漆酶催化酸性黑ATT脫色的影響
4 結論
1)溫度、pH、加酶量、染料濃度這4個因素對漆酶催化復合染料酸性黑ATT脫色的效果有顯著影響.通過正交試驗確定最優脫色條件為酶活9 U · mL-1、pH 5.0、溫度為50 ℃、染料濃度為0.1 g · L-1,在此條件下的脫色率為87.35%.
2)實驗證明G. lucidum wz-32粗酶液可以對偶氮染料進行直接脫色,無需加入介質,可能是未純化的粗酶液中有充當介質的未知小分子物質.
3)金屬離子Co2+、Fe2+、Mn2+、Ca2+、I-對G.lucidum wz-32漆酶脫色有抑制作用,Mn2+和I-尤其明顯;Na+、Mg2+、Cu2+對脫色有一定的促進作用.酶抑制劑和脫色助劑的實驗表明,EDTA-鈉對脫色的抑制作用不顯著,而SDS的抑制作用非常顯著;HBT對脫色的促進作用顯著,是非常有效的脫色助劑.


