1 引言
水稻是世界上僅次于小麥和玉米的第三大作物(Binod et al., 2010).在我國,水稻種植總面積約0.3億hm2,2014年其產量為1.72億t,約占我國糧食總產量的50%.每生產1 kg稻谷,相應的產生1.0~1.5 kg稻草秸稈量(Maiorella,1985),除去將其用作燃料、建筑材料、飼料和肥料及發電外,仍有60%無法有效利用而廢棄,不但造成了大量的生物質能源浪費,也對環境造成了一定的負面影響.稻草秸稈因為熱值低、營養含量低的原因不適于發電和用作飼料,稻草中所含的纖維素和半纖維素的質量分數約為60%,其中碳元素的質量分數更是達到了38.54%(韓彬等,2009),是優良的生物質炭制備前驅體.
20世紀50年代以來,世界范圍內工業化、商品化程度大大提高,大量的化肥投入農業使用,據統計資料顯示,我國化肥施用量達到261 kg · hm2,居世界第1位.化肥的大量使用使糧食產量大幅增加,另一方面也造成大量未利用的P、N、K元素在土壤、水體中富集.然而,由于P元素的全球循環周期(包括陸地循環和海洋循環)比其他元素(N、K)要長得多,因而在大多數生態系統中,P元素成為了微生物生長的限制性元素,也是造成水體富營養化的主要原因(Filippelli,2008).自然條件下,P的主要以磷酸鹽的形態存在,包括有機磷酸鹽、無機磷酸鹽、顆粒態磷酸鹽(Huang et al., 2014).近幾十年來,關于天然水體中磷酸鹽的去除研究獲得了廣泛關注.現階段,磷酸鹽去除方法主要有:結晶法(Rahaman et al., 2014)、化學沉淀法、高級化學沉淀法、生物法、吸附法(Jia et al., 2013)等.其中,吸附法以其高效、低廉的特性在磷酸鹽去除的研究應用最為廣泛.吸附材料種類多樣,包括生物質炭(Yao et al., 2011)、纖維(Awual et al., 2011)、藻類生物膜(Boelee et al., 2011)、赤鐵礦(Liu et al., 2013)、混凝土廢料(Egemose et al., 2012)、爐渣(Gong et al., 2009)、針鐵礦(Nowack et al., 2006)等.研究發現,P的結合元素主要為Ca、Al、Fe(Egemose et al., 2012)、La(Zhang et al., 2011)、Zr(Awual et al., 2011)、Li(Wang et al., 2007)等金屬元素.在這些金屬元素中,Ca與P的結合能力尤為突出(Egemose et al., 2012).在對含63%的鈣氧化物的低密度多空隙混凝土-加氣混凝土的研究發現,99%的P可由該混凝土吸附(Berg et al., 2005a;2005b;Oguz et al., 2003).
本研究采用一種安全低廉的化學物——氯化鈣為稻草秸稈炭的活化劑,制備稻草秸稈炭,作為控制農業面源的吸P材料,探究稻草秸稈炭制備的碳化溫度、浸漬比、不同初始P濃度、吸附劑用量、吸附時間、pH及干擾離子(NH4+-N、NO3--N)存在等條件對稻草秸稈炭吸P性能的影響及其吸附機理.
2 實驗材料和方法
2.1 稻草秸稈炭制備材料與步驟
稻草秸稈采集自浙江省杭州市余杭區稻田.稻草秸稈炭制備流程如圖 1所示:①將切割好的每段2 cm左右的秸稈置于2%(質量分數)的NaOH中浸泡48 h,然后取出用蒸餾水洗滌至中性,干燥(堿浸的目的在于除去材料表面的蠟質、灰分及其他溶于水的雜質).②稻草秸稈分別按以下方法進行處理:秸稈不經過任何處理;秸稈在活化劑(10%(質量分數)的CaCl2或者KOH溶液)中浸泡24 h,然后置于烘箱中105 ℃烘干.③炭化:將經過上述方法處理的樣品放入管式爐中炭化,活化時通入氮氣進行氣氛保護,加熱速率控制在20 ℃ · min-1,達到溫度后,維持碳化溫度60 min.④將稻草秸稈炭于80 ℃清水洗滌至中性,回收活化劑,過濾,濾餅于105 ℃下干燥至質量恒定后貯存備用.
圖1 稻草秸稈炭制備流程
實驗中試劑均為分析純,購買于上海國藥集團化學藥品有限公司;市售活性炭為200目顆粒活性炭,購買于Sigma Aldrich公司.
2.2 實驗方法
制備條件:以稻草秸稈為原材料,活化劑分別為無活化劑、氫氧化鉀溶液(質量分數10%)、氯化鈣溶液(質量分數10%),炭化溫度400~800 ℃,浸漬比(m秸稈:m氯化鈣)為1 ∶ 0.5~1 ∶ 4.
P吸附實驗:本實驗在室溫條件下(約20 ℃)進行,均設置3組平行.將0.1 g顆粒大小為0.05~6 mm的吸附劑(稻草秸稈炭)分別加入到25 mL一定濃度的去礦物質的KH2PO4溶液中,持續振蕩吸附一定時間,過濾.控制的試驗條件有:①吸附時間:2~1560 min;②初始濃度(KH2PO4溶液,以P計):低濃度1.10 mg · L-1和中等濃度10.30 mg · L-1,稻草秸稈炭的用量為0.4~8 g · L-1;③干擾離子(模擬農田排水):PO43--P 1.48 mg · L-1,NH4+-N 17.72 mg · L-1,NO3--N 15.51 mg · L-1(顧佳濤,2013); ④pH值:4.85~8.98(用1 mol · L-1 HCl和1 mol · L-1 NaOH溶液調節).
2.3 測試方法
實驗主要涉及水樣的PO43--P、NH4+-N、NO3--N濃度、硬度及pH值測定,其中,PO43--P采用鉬藍比色法測定,NH4+-N采用納氏試劑分光光度法測定,NO3--N采用氨基磺酸紫外分光光度法測定,硬度采用EDTA滴定法測定(國家環境保護總局《水和廢水監測分析方法》編委會,2002),pH值用pH計(LEICI PHS-3E)直接讀出.
2.4 計算分析方法
本實驗中以P的去除率η表征稻草秸稈炭的吸P能力,根據式(1)計算;稻草秸稈炭的P吸附量qe根據式(2)計算;Ca的浸出率L表征稻草秸稈炭釋放Ca的情況,根據式(3)計算.

式中,C0為處理溶液的初始PO43--P濃度(mg · L-1),Ce為達到吸附平衡后溶液的PO43--P濃度(mg · L-1);m為稻草秸稈炭使用質量(g);V為處理溶液體積(L);CCa為吸附平衡后溶液中的Ca2+濃度(直接用硬度換算,mg · L-1,以CaCO3計);w為稻草秸稈炭上負載的Ca離子質量分數.
本文采用Microsoft Excel 2013進行數據處理,Origin 8.0進行制圖.
3 實驗結果與討論
3.1 吸P稻草秸稈炭制備工藝優化
3.1.1 不同活化劑處理情況
本實驗采用4種吸附劑:市售活性炭、稻草秸稈炭、氫氧化鉀改性稻草秸稈炭、氯化鈣改性稻草秸稈炭,處理濃度10.30 mg · L-1(以P計)的水樣,吸附時間為720 min,使用量為4 g · L-1,根據實驗結果,市售的普通活性炭幾乎無吸P效果,去除率僅為0.55%;未使用活化劑的稻草秸稈炭的去除率為3.79%;經常規炭活化劑——氫氧化鉀處理后稻草秸稈炭吸P能力比未經任何處理的稻草秸稈炭有所提高,去除率達到了16.87%;氯化鈣作為活化劑得到的稻草秸稈炭吸P效果最優,去除率可以達到97.43%.故采用氯化鈣為稻草秸稈炭制備的活化劑.
圖2 碳化溫度(a)和浸漬比(b)對稻草秸稈炭吸P性能的影響(溶液初始濃度10.30 mg · L-1(以P計),吸附時間 720 min,稻草秸稈炭用量4.0 g · L-1)
3.1.2 不同活化溫度處理情況
圖 2a表示以氯化鈣為活化劑不同碳化溫度制備的稻草秸稈炭對P的吸附情況.由實驗結果可知,碳化溫度對稻草秸稈炭吸P效果的影響非常顯著,在400~800 ℃范圍內,稻草秸稈炭吸P效果隨著碳化溫度升高而提高.尤其溫度由400 ℃提高到700 ℃過程中,稻草秸稈炭P去除率提升效果顯著,700 ℃時稻草秸稈炭對P的吸附達到96.54%,吸附效果較600 ℃時提高30%以上;溫度再由700 ℃升高到800 ℃,P的去除率上升程度小(97.99%).在試驗設置的溫度范圍內,溫度上升,稻草秸稈的纖維與半纖維充分分解為炭和焦油,而氯化鈣的存在使得焦油亦形成炭(高尚愚,2002),稻草秸稈炭的孔隙大幅度增加,相對的比表面積也顯著增加,反過來又提供了更多的Ca2+結合位點.考慮到經濟效益,稻草秸稈炭制備的碳化溫度選用700 ℃為宜. 3.1.3 不同浸漬比處理情況 從浸漬比看,在本實驗所選用的范圍內(m稻草 ∶ m氯化鈣=1 ∶ 0.5~1 ∶ 4),浸漬比的影響并不大.在浸漬比為1 ∶ 0.5時,稻草秸稈炭P去除率達到了97.4%;提高浸漬比為1 ∶ 1時,P去除率略有提高,為98.07%,再增加浸漬比,P去除率反而略微下降(95.60%).這是由于稻草秸稈炭上的結合位點數量有限(Zhang et al., 2011),浸漬比為1 ∶ 0.5時,Ca2+含量已較為充足,繼續增加浸漬比對Ca2+在稻草秸稈炭上的有效結合影響不大.從成本角度考慮,可以選用1 ∶ 0.5的浸漬比.
3.2 實驗條件影響
3.2.1 吸附時間影響
由圖 3可以看出,吸附過程需要的時間很短,約30 min可完成全部吸附的99%以上.為保證吸附效果,使用該稻草秸稈炭進行P吸附時應保證至少10 min的接觸時間(可完成吸附總量的90%).
圖3 溶液P濃度隨時間變化情況
3.2.2 初始P濃度影響
如圖 4a所示,處理中等P濃度(10.30 mg · L-1)和低P濃度(1.10 mg · L-1)的溶液,吸附效果隨著稻草秸稈炭用量增加而提高,但稻草秸稈炭對于中等P濃度溶液的P去除率均優于低P濃度溶液,經2.4 g · L-1稻草秸稈炭吸附后,中等P濃度溶液的P濃度可以達到1 mg · L-1以下,達到90%以上的去除率,而低P濃度溶液的P去除率僅為35.79%;當稻草秸稈炭用量為8 g · L-1時,兩種溶液的P濃度相差不大(約0.3 mg · L-1).實驗結果表明,由于濃度梯度升高,所形成的推動力增加(劉斌等,2014),改性稻草秸稈炭對于中等濃度P的吸附效率高于低濃度溶液;但該稻草秸稈炭對P的吸附存在濃度極限,該極限與溶液中溶解的Ca2+與P(PO43-、HPO42- H2PO43-)的濃度積有關,導致初始P濃度不同的水樣最終達到相同的P濃度.
3.2.3 干擾離子影響(模擬農田排水)
由圖 4b可知,在模擬農田排水(NH4+-N 17.7 mg · L-1,NO3--N 15.5 mg · L-1,PO43--P 1.48 mg · L-1)吸附的試驗中,稻草秸稈炭對NH4+-N和NO3--N也有一定的去除效果,主要依靠物理吸附,因而吸附能力有限.在稻草秸稈炭使用量低于2 g · L-1的情況下,NH4+-N和NO3--N去除率不到10%,尤其硝態氮幾乎沒有去除;P去除率則比NH4+-N和NO3--N的去除率要高很多,但由于存在競爭吸附,明顯比單獨吸附含相同P濃度(1.48 mg · L-1)的溶液的效果差,隨著用量提高,模擬農田排水的P去除率達到80%以上,與單獨吸附含P水樣時處理效果差距減小.
3.3 浸出情況
本文中的稻草秸稈炭采用CaCl2制備,Ca在稻草秸稈炭上的負載率約為10%~13%,吸附過程中主要浸出物為Ca2+,可用硬度代表Ca2+的浸出情況.吸附后水樣PO43--P濃度為0.305 mg · L-1,硬度達到230.7 mg · L-1(以CaCO3計),Ca浸出率為3.19%;pH值顯著提升(由6.87提高到9.52).可加入少量稀硫酸來減少出水的Ca2+和OH-.
3.4 吸P機理分析 3.4.1 吸附模型
吸附等溫線是描述一定溫度下吸附平衡時的吸附特性的曲線,采用Langmuir吸附模型和Freundlich吸附模型對20 ℃條件下的10.30 mg · L-1初始濃度溶液平衡吸附容量(qe)和平衡濃度(Ce)變化情況進行擬合,結果如圖 5所示,稻草秸稈炭吸P情況用Langmiur吸附模型擬合結果(R2=0.947)更好,更傾向于單分子層化學吸附.根據Langmiur吸附模型擬合結果,稻草秸稈炭對P的飽和吸附容量為8.53 mg · g-1;根據Freundlich吸附模型擬合結果,1/n=0.4306小于0.5,故稻草秸稈炭對P的吸附屬于容易吸附(王郁,2007).
圖5 氯化鈣改性稻草秸稈炭吸附實測值與Langmuir和Freundlich吸附等溫線擬合情況
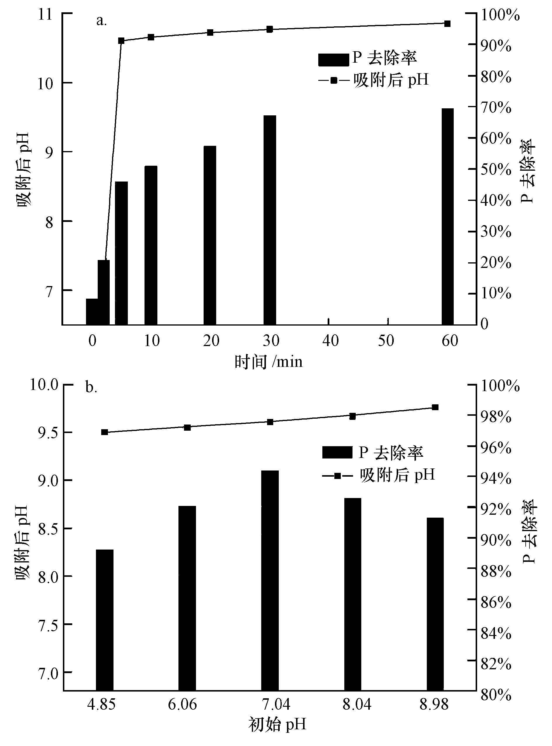
3.4.2 基于pH變化的吸附機理分析
本文中改性稻草秸稈炭對P的吸附主要依靠化學吸附,作用機理包括靜電吸附、路易斯酸堿對作用及離子交換作用.為探究主要作用機理,考察了溶液pH值與P去除率之間的關系,結果如圖 6所示.由圖 6a可知,在吸附過程中,pH的變化規律與P去除率一致:在5 min吸附時間內迅速上升,而后上升幅度減弱;P去除率越高,溶液的pH值上升程度也越高.據此,可以推斷氯化鈣改性稻草秸稈炭對P的吸附主要依靠離子交換作用,即磷酸根離子取代與稻草秸稈炭內表面的Ca2+結合的氫氧根(OH-)從而固定在炭上(Zhang et al., 2011),氫氧根釋放,溶液pH值上升.
圖6 溶液pH和P去除率隨時間變化情況(a)及不同初始pH條件下溶液pH和P去除率情況(b)
另外,由圖 6b可知,溶液初始pH值對吸附效果也有一定影響,隨著初始pH值上升,吸附后水樣亦呈現上升趨勢,但最終pH值相差不大(介于9.5~9.7之間),然而P去除率卻先上升后下降,在中性pH下,P吸附效果最佳.這一結果與已有的研究相吻合(Wang et al., 2007; Blaney et al., 2007):溶液中的磷酸鹽存在形態有H3PO4、H2PO4-、HPO42-、PO43-,其中,H2PO4-最容易取代OH-與Ca2+結合,HPO42-次之.溶液呈酸性時易游離出H3PO4;溶液呈中性時H2PO4-為最主要形態;隨著pH值上升,H2PO4-/HPO42-下降,改性稻草秸稈炭對P的吸附能力逐漸減弱;當pH穩定時(9.5~9.7),溶液中P存在形態為HPO42-、PO43-(張炳慧,1992),離子交換平衡,吸附作用基本完成.當然過程中亦有路易斯酸堿對作用吸附及稻草秸稈炭外表面的靜電吸附,但二者作用較弱.具體參見污水寶商城資料或http://m.dongaorq.cn更多相關技術文檔。
4 結論
1)不同吸附質對溶液中正磷酸鹽的吸附能力有很大差異,其中,氯化鈣活化稻草秸稈炭對P的去除效果顯著,吸附劑用量為4 g · L-1時對于10.30 mg · L-1的KH2PO4溶液中P的去除率為:市售活性炭(0.55%)<未經活化稻草秸稈炭(3.79%)<氫氧化鉀活化稻草秸稈炭(16.87%)<氯化鈣活化稻草秸稈炭(97.45%).
2)綜合考慮處理效果和經濟效益,選擇吸P稻草秸稈炭的制備工藝:活化劑為CaCl2溶液(質量分數10%),碳化溫度為700 ℃,浸漬比(m稻草:m氯化鈣)為1 ∶ 0.5.
3)氯化鈣改性稻草秸稈炭處理模擬農田水樣(含NH4+-N和NO3--N),對比單獨吸附含P水樣,對P的吸附量降低,用量為4 g · L-1時,溶液含P量由1.48 mg · L-1降低至0.20 mg · L-1,P去除率約為86.6%.
4)本實驗中稻草秸稈炭吸附P可用Langmiur吸附模型擬合(R2=0.947),為單分子層化學吸附,主要依靠離子交換吸附:H2PO4-取代結合在Ca2+上的OH-而被吸附,使得吸附后的水樣pH值上升(由6.87上升至9.62).



