1 引言
不合理的重金屬開采與冶煉、固體廢棄物處置、污水灌溉、農藥和肥料施用等活動及大氣沉降等因素導致大量重金屬進入水體和土壤環境,嚴重危害公眾健康和生態系統安全.作為常見重金屬污染物的鉛和銅,它們可通過直接飲用或食物鏈進入人體從而給人體健康帶來極大危害(Järup,2003; Aksu et al., 2005).吸附法被認為是較好的去除環境中重金屬的方法.近年來,利用原料廣泛、成本低、具有較高環境穩定性的生物炭吸附污染物受到了廣大學者的青睞.
生物炭已廣泛應用于水體中多種重金屬和農藥、染料、POPs及抗生素)等無機和有機污染物的吸附去除,這些研究表明,生物炭具有良好的吸附去除污染物的性能.
目前,利用生物炭吸附重金屬方面的研究較多是利用秸稈、污泥、畜禽糞便、稻殼等.而不同原料制備的生物炭表面結構、理化性質等差異顯著,其對污染物的吸附性能存在較大差別.我國核桃種植已有兩千多年的歷史,目前,我國廢棄的核桃青皮年產量在35萬t以上.關于核桃青皮的利用主要在醫藥、農藥、色素提取等方面,在環境污染治理方面的研究鮮見報道.
因此,本實驗以核桃青皮為原料,采用限氧裂解法制備生物炭,開展核桃青皮生物炭對鉛、銅的批量吸附實驗,同時利用掃描電鏡、FTIR紅外對吸附前后的樣品結構進行表征分析,探究其對水溶液中鉛和銅的吸附特性及影響因素(吸附時間、溶液初始濃度、吸附溫度、吸附劑投加量、溶液初始pH等),并以動力學模型和等溫吸附模型對實驗數據進行擬合,以期篩選出能夠準確反映核桃青皮生物炭吸附鉛和銅的動力學方程及等溫吸附模型,從而為核桃青皮的資源化利用及重金屬污染防治提供理論依據.
2 材料與方法
2.1 生物炭的制備
以從蘭州農貿市場采回的核桃青皮為原料,采用500 ℃限氧裂解法制備生物炭.將核桃青皮用超純水清洗至超純水清澈無雜質,置于通風陰暗處自然風干,粉碎過20目篩(0.85 mm),得到黃褐色粉末狀核桃青皮粉末備用.將足量的已制備的核桃青皮粉末置于馬弗爐(KS-5D-12,上海鴻都電子科技有限公司)中,在限氧條件下,500 ℃熱解6 h,待自然冷卻至室溫后取出,過100目篩,制得核桃青皮生物炭,其產率為31.19%,pH為10.38.
2.2 生物炭結構表征
主要利用低真空掃描電子顯微鏡(SEM)(JSM-5600LV,日本電子光學公司)觀察生物炭顆粒外觀形貌;利用FTIR光譜儀(NEXUS 670,美國Nicolet)KBr壓片法掃描定性分析吸附前后生物炭表面官能團的變化.
2.3 批量吸附實驗
將一定量的核桃青皮生物炭加入到由Pb(NO3)2、Cu(NO3)2配置的一定初始質量濃度的重金屬溶液中,在25 ℃避光、180 r · min-1的條件下恒溫振蕩.
動力學實驗使用的Pb2+和Cu2+初始濃度分別為500 mg · L-1和200 mg · L-1,吸附劑投加量為1 g · L-1,測定時間設置14個(0、5、10、20、40、60、90、120、150、180、210、240、300、360 min).等溫吸附曲線分別在288.15、298.15、308.15 K下測定,Pb2+初始濃度分別為300、400、500、600、700、800、900 mg · L-1,Cu2+初始濃度分別為50、100、150、200、250、300、400 mg · L-1,生物炭投加量為1 g · L-1,平衡時間為360 min.吸附劑投加量影響實驗中,Pb2+和Cu2+初始濃度分別為500 mg · L-1和200 mg · L-1,共設置9個不同的投加量(0.5、0.8、1、1.5、2、2.5、3、3.5、4 g · L-1),平衡時間為360 min.pH影響實驗中,用0.1 mol · L-1的HNO3和0.1 mol · L-1的 NaOH 調節初始濃度分別為500 mg · L-1和200 mg · L-1的Pb2+和Cu2+溶液的pH,共涵蓋1.5~6.0的8個數據點(Pb2+溶液調pH為1.47、1.96、2.37、2.87、3.68、4.84、5.41、6.05;Cu2+溶液調pH為1.61、2.09、2.72、3.30、3.73、4.19、5.12、5.74),生物炭投加量為1 g · L-1,平衡時間為360 min.吸附實驗設置相應初始濃度的重金屬溶液為對照,以扣除管壁吸附的影響.每個樣點做兩次平行.吸附后以4000 r · min-1離心5 min后過濾,收集濾液,用火焰原子吸收分光光度計(Thermo ICE3000)測定濾液中Pb2+和Cu2+的質量濃度.
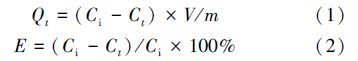
2.4 數據處理 2.4.1 吸附量
吸附t時,吸附劑核桃青皮炭對重金屬的吸附效果用吸附量Qt和去除率E來衡量,其計算公式如下:
式中,Qt為吸附t時吸附劑吸附重金屬的吸附量(mg · g-1);E為去除率;Ci、Ct分別為溶液中重金屬離子的初始濃度、t時刻溶液中重金屬離子的濃度(mg · L-1);V為加入重金屬溶液的體積(mL);m為投加吸附劑的質量(mg).
2.4.2 吸附動力學
準一級動力學方程(式(3))、準二級動力學方程(式(4)、(5))和顆粒內擴散方程(式(6))分別如下所示:
式中,Qt和Qe分別為t時刻和吸附平衡時生物炭對重金屬的吸附量(mg · g-1);t為吸附時間(min);k1、k2和kid分別為準一級、準二級和顆粒內擴散模型的速率常數,其單位分別為min-1、mg · g-1 · min-1、 mg · g-1 · min-0.5;h0為吸附的初始速率(mg · g-1 · min-1).
2.4.3 等溫吸附模型
采用Langmuir方程(式(7)、(8))和Freundlich方程(式(9))進行等溫吸附模擬.
式中,Ce、Qe分別為平衡吸附濃度(mg · L-1)與平衡吸附量(mg · g-1);RL為分離因子;Ci為溶液中重金屬離子的初始濃度(mg · L-1);Qm為生物炭飽和吸附量(mg · g-1);Kl和Kf、1/n分別為Langmuir方程和Freundlich方程的吸附常數.
3 結果與討論
3.1 生物炭的表征及吸附機理
3.1.1 掃描電鏡分析
掃描電鏡通常用于樣品的結構形貌分析.通過掃描電鏡結果(圖 1)可以看出,核桃青皮炭在吸附重金屬離子前具有較多不平整的孔隙,其較高的比表面積更有利于吸附污染物(Chen et al., 2011).在吸附重金屬離子后,其表面附著的顆粒物明顯增加,大量的小顆粒團聚集在其表層,說明重金屬離子在核桃青皮炭表面發生吸附作用.程啟明等(2014)對比生物炭吸附前后的SEM電鏡圖也得到類似的結果.
圖1 核桃青皮炭對Pb2+和Cu2+吸附前后場發掃描電鏡圖(a.核桃青皮炭;b.核桃青皮炭吸附Pb2+后;c.核桃青皮炭吸附Cu2+后;×2000倍)
3.1.2 FTIR紅外分析
核桃青皮炭吸附重金屬離子前后的FTIR譜圖如圖 2所示.核桃青皮炭表面具有豐富的官能團: —OH(3418.9 cm-1)、芳香酸類—COOH(1697.4 cm-1)、酰胺類伸縮振動的C O基(1650.8cm-1)、—(OH)2取代的蒽醌(1623.1 cm-1)、NH4+(1396.4 cm-1)、R—COOH(1274.4 cm-1)、脂肪醚類(1121.7 cm-1)、伯醇—OH(1050.3 cm-1)、芳香類化合物吡啶和吲哚等(900~670 cm-1),這為核桃青皮生物炭吸附Pb2+和Cu2+提供了基礎.對比核桃青皮炭吸附前后的FTIR譜圖變化可以看出,核桃青皮炭在吸附重金屬后官能團特征峰發生明顯變化,其中,位于3418.9 cm-1處的—OH在生物炭吸附重金屬時能夠提供氫鍵作用(Chen et al., 2011),核桃青皮炭吸附Pb2+和Cu2+后—OH特征波峰減弱甚至消失,說明吸附后—OH分別被Pb2+和Cu2+占據,分子內—OH中的分子內氫鍵作用力減小,可見離子交換存在于核桃青皮炭吸附Pb2+和Cu2+的過程中(李力等,2012).同時,NH4+可解離出H+與重金屬離子之間發生離子交換.本實驗中測定了生物炭吸附Pb2+和Cu2+前后溶液中K+、Ca2+、Na+、Mg2+濃度的變化,吸附后溶液中K+、Ca2+、Na+、Mg2+濃度較吸附前有所增加,進一步說明了離子交換作用的存在.核桃青皮炭表面表示C=O、—COOH含氧官能團的特征峰及900~670 cm-1之間的吡啶、吲哚等芳香化和雜環化合物的振動峰變化也十分明顯,說明核桃青皮炭具有高度芳香化和雜環化結構,其豐富的含氧官能團、芳香類化合物提供的π電子與重金屬Pb2+、Cu2+形成穩定結構(Yenisoy-Karakaş et al., 2004; 王震宇等,2014),可以定性判定陽離子-π作用存在于核桃青皮炭對Pb2+和Cu2+吸附過程中.陳再明等(2013)也證實了吸附劑吸附重金屬離子的機理主要為重金屬與芳香結構和含氧官能團(—OH、—COO-、—O-)發生陽離子-π和離子交換作用.
圖2 核桃青皮炭(a)吸附Pb2+(b)、Cu2+(c)后的FTIR譜圖對比
3.2 核桃青皮生物炭對溶液中Pb2+、Cu2+的吸附性能
3.2.1 動力學吸附曲線
核桃青皮炭對Pb2+和Cu2+的吸附量隨時間的變化曲線如圖 3所示.核桃青皮炭對Pb2+和Cu2+的吸附速率較快,吸附5 min時,吸附量已達到飽和吸附量的95.03%、75.56%,20 min內即可達到吸附平衡.由于吸附開始時吸附劑表面的吸附位點較多,不存在重金屬離子之間的競爭作用,而吸附劑的吸附位點是有限的,隨著吸附位點逐漸達到飽和時,吸附率取決于重金屬離子從吸附劑外部進入內部點位的速度(馬靜,2007),所以,核桃青皮炭吸附Pb2+和Cu2+時,都是在吸附剛開始時吸附效率顯著增加,而后緩慢增加直至達到吸附平衡.
圖3 吸附時間對Pb2+和Cu2+吸附效果的影響
分別以準一級動力學、準二級動力學及顆粒內擴散方程對吸附動力學數據進行擬合,通過擬合參數(表 1)可知,準一級動力學模型計算出的平衡濃度與實驗值相差較大,其可決系數R2最低,說明該模型不適用于核桃青皮炭對Pb2+和Cu2+的吸附.而準二級動力學能夠很好地擬合核桃青皮炭對Pb2+和Cu2+的吸附(R2均大于0.997),且擬合數據所得的飽和吸附量(476.190、153.846 mg · g-1)與實測數據(477.327、155.653 mg · g-1)符合程度最好,表明核桃青皮炭對Pb2+和Cu2+的吸附主要受化學吸附的控制(Lu et al., 2011),與花生殼和中藥渣對Cd(Ⅱ)的吸附結果相似(王震宇等,2014).通過與此前報道的生物炭吸附劑對比發現,核桃青皮生物炭吸附Pb2+和Cu2+時平衡時間較短,吸附量遠高于由水稻秸稈、污泥、硬木、牛糞等制備的生物炭(表 2).
表1 吸附動力學參數
表2 不同源制備的生物炭對Pb2+和Cu2+的吸附能力比較
3.2.2 等溫吸附曲線
圖 4為核桃青皮炭對Pb2+和Cu2+的吸附量隨溶液初始濃度的變化曲線.溶液中Pb2+和Cu2+的初始濃度與平衡吸附量之間密切相關.當Pb2+和Cu2+的初始質量濃度分別小于600、200 mg · L-1時,吸附劑對Pb2+和Cu2+的平衡吸附量隨溶液初始濃度的增加而增加,當溶液濃度進一步增大時,平衡吸附量基本保持不變,即達到吸附平衡.這可解釋為當溶液的初始濃度較低時,吸附劑能夠提供充足的吸附位點、活性基團,而隨著溶液初始濃度的不斷增加,吸附位點逐漸飽和,活性基團相對減少,則吸附劑達到吸附飽和(El-Ashtoukhy et al., 2008).且由圖 4可知,隨著溫度的升高,核桃青皮炭對Pb2+和Cu2+的吸附量也隨之增加.這說明吸附為吸熱過程,高溫有利于核桃青皮炭對Pb2+和Cu2+的吸附,與在較低溫度下更容易進行的物理吸附不同(魏建文等,2014),這也表明核桃青皮生物炭主要依靠化學行為吸附Pb2+和Cu2+.這一結果與之前的研究相類似.
圖4 不同溫度下初始濃度對Pb2+(a)和Cu2+(b)吸附的影響
Langmuir和Freundlich等溫吸附方程常用來描述一定溫度下吸附質和吸附劑之間的分配行為(近藤精一等,2006).本研究采用這2種等溫吸附模型對實驗數據進行擬合(圖 5、圖 6),擬合參數見表 3,以期說明核桃青皮炭對溶液中Pb2+、Cu2+的吸附機制.相較于Freundlich模型,核桃青皮炭對Pb2+和Cu2+吸附都更好地符合Langmuir模型,且由Langmuir模型計算得到的飽和吸附量與實驗所得數據相差不大,說明核桃青皮炭對Pb2+和Cu2+的吸附近似單分子層吸附.Liu等(2009)、張雙圣等(2011)在研究生物炭吸附Pb2+時也得到了相似結論.無量綱參數分離因子RL可用來進一步表述吸附劑的吸附性能(Mohan et al., 2007;張再利等,2010;魏建文等,2014):不利吸附(RL>1);有利吸附(0
圖5 核桃青皮炭吸附Pb2+(a)和Cu2+(b)的Langmuir吸附等溫線
圖6 核桃青皮炭吸附Pb2+(a)和Cu2+(b)的Freundlich吸附等溫線
表3 等溫吸附模型擬合參數
3.2.3 吸附劑投加量對吸附的影響
吸附劑的投加量是影響吸附特性最重要的因素之一(El-Ashtoukhy et al., 2008).核桃青皮炭對重金屬離子的去除率隨著吸附劑投加量的增加而增加,但其對重金屬離子的吸附量卻逐漸減小(圖 7).這主要是由于吸附劑投加量的增加,總官能團數和有效的吸附點位增加,因此,重金屬離子的去除率也隨之增加(Pellera et al., 2012; 丁春霞等,2014),而吸附量隨著吸附劑投加量的增加而減小,可能與吸附劑的溶解性、結合位點之間的靜電感應和排斥作用有關(王國惠等,2009).綜合核桃青皮炭的投加量對Pb2+和Cu2+的去除率及吸附容量的考慮,確定核桃青皮炭吸附Pb2+和Cu2+時最佳投加量分別為0.8、1.5 g · L-1.
圖7 吸附劑投加量對Pb2+(a)和Cu2+(b)吸附的影響
圖8 pH對Pb2+和Cu2+吸附效果的影響
3.2.4 溶液初始pH對吸附的影響
pH通過影響生物炭的表面電荷、礦物組分的溶解、重金屬離子的存在形式,進而影響生物炭對重金屬的吸附.核桃青皮炭對溶液中Pb2+和Cu2+的去除率在不同初始pH下的變化如圖 8所示.弱酸及中性條件下,核桃青皮炭對Pb2+和Cu2+均具有較好的吸附性能.Chen等(2011)在生物炭吸附Cu2+和Zn2+的研究中也得到了類似的結果.較酸性范圍內,溶液中含有大量的H+,無論是生物炭表面的含氧官能團點位吸附還是π共軛點位吸附,直徑較小的H+與重金屬離子之間存在著很強的競爭關系,因此,Pb2+和Cu2+的吸附被抑制.隨pH值的升高,核桃青皮炭表面所帶的負電荷和表面有機官能團的酸離解度增加,且pH值的升高更有利于重金屬離子水解(李瑞月等,2015),這些因素都導致核桃青皮炭對Pb2+、Cu2+的去除率隨著溶液初始pH值的升高呈明顯增加趨勢. 實驗數據表明,pH在3~6之間核桃青皮炭對Pb2+和Cu2+具有很好的去除效果,該吸附反應適應的pH范圍較寬,這有利于將核桃青皮炭運用于實際中.具體參見污水寶商城資料或http://m.dongaorq.cn更多相關技術文檔。
4 結論
1)核桃青皮經炭化后含有豐富的官能團,其吸附Pb2+、Cu2+的主要機理是陽離子-π和離子交換作用.在298.15 K,較廣pH范圍(3~6)下,核桃青皮炭吸附Pb2+和Cu2+時在20 min內即可達到平衡,最佳投加量分別為0.8、1.5 g · L-1,最大吸附量分別為476.190、153.846 mg · g-1,且隨著溫度的升高,吸附量也略有增加.這有利于將核桃青皮生物炭應用于實際中.
2)準二級動力學(R2>0.997)和Langmuir方程(R2>0.997)能夠很好地描述核桃青皮炭對Pb2+和Cu2+的吸附過程,說明其吸附過程主要是近似單分子層的化學吸附.


