隨著印染工業的發展,染料廢水日漸成為危害生態環境和人體健康的因素。如何高效經濟地處理染料廢水成為了社會當前研究的重點。目前有很多方法被用來除去廢水中的染料,而吸附因其操作簡便,價格低廉,效果明顯等優勢得到了廣泛的應用。近年來,越來越多的學者開始研究碳納米管的吸附性能。研究結果表明,碳納米管對水中重金屬離子、鹵代有機物、多環芳烴等污染物均具有較高的吸附性能。A.K.Mishra等研究了碳納米管對不同偶氮染料的吸附性能,發現對金黃和剛果紅都有良好的吸附效果,其吸附量分別達到了141、148mg/g。YunjinYao等研究了碳納米管對甲基橙的吸附性能,研究結果表明其對甲基橙的最大吸附量僅為51.74mg/g,其性能遠遠沒有達到實際應用的要求。筆者通過對碳納米管進行改性,顯著提高了其吸附性能,并探討了pH、吸附劑的量、時間、溫度對吸附性能的影響。此外,通過動力學與熱力學模擬研究了改性碳納米管對甲基橙的吸附機理。
1材料與方法
1.1實驗儀器與試劑
儀器:紫外-可見分光光度計(UV-2550,日本島津);集熱式恒溫磁力攪拌器(DF-101S,河南省予華儀器公司)。試劑:羧基碳納米管(CNT/COOH)(中國科學院成都有機化學有限公司);聚乙烯亞胺(PEI);甲基橙(MO)(阿拉丁試劑公司)。
1.2改性碳納米管的制備
取9.6g聚乙烯亞胺(PEI)于燒杯中,加入10mL去離子水攪拌均一,取黑色羧基碳納米管粉末(CNT/COOH)2.4g緩慢加入上述溶液中,持續攪拌2h。然后將其在100℃下干燥10h,得到的產物用去離子水洗滌,抽濾,烘干。最后,干燥的產物研磨過0.064mm(250目)篩,留待備用。
1.3吸附試驗
取0.002g樣品于25mL的比色管中,加入20mL一定濃度的甲基橙溶液,25℃下攪拌2h后,離心取上清液。用紫外-可見分光光度計在463nm處測定吸附后甲基橙溶液的濃度。
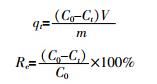
吸附量和去除率按照下列公式計算:

式中:qt——樣品對甲基橙的吸附量,mg/g;
C0——甲基橙溶液的初始質量濃度,mg/L;
Ct——吸附后甲基橙溶液的質量濃度,mg/L;
V——加入溶液的體積,mL;
M——加入吸附劑的質量,g;
Re——去除率,%。
2結果與分析
2.1pH對吸附性能的影響
pH是影響吸附過程的重要因素,其影響吸附劑表面的電荷分布情況。pH測試實驗過程如下:取0.002g吸附劑加入到20mL、80mg/L的甲基橙溶液中,在25℃下攪拌2h后,取樣,離心,測定濃度,計算吸附量。不同pH下甲基橙的吸附量如圖1所示。

由圖1可見,在pH=3.93時吸附達到了最大吸附量777.83mg/g。
甲基橙作為一種酸堿指示劑在不同酸度下會發生顏色的變化,其變色范圍是pH<3.1時變紅,3.1~4.4時呈橙色,pH>4.4時變黃。甲基橙在中性或是堿性中是以磺酸鈉鹽的形式存在,而在酸性條件下轉化為磺酸,這樣酸性的磺酸基與分子內的堿性二甲氨基形成對醌結構,由于甲基橙分子結構的改變使得其紫外最大吸收波長有可能發生變化。通過研究不同pH下的紫外光譜曲線發現在pH低于3.93時甲基橙的最大吸收波長發生了變化,這就使得實驗過程中必須選擇合適的酸堿度。因此結合圖1吸附實驗的pH,最終范圍控制在3.93~10.83。綜上所述,最終確定了實驗的最適pH為3.93。
2.2吸附劑的量對吸附性能的影響
分別取0.001、0.002、0.003、0.004、0.005g吸附劑加入到20mL、80mg/L的甲基橙溶液中,調節溶液的pH為3.93。在25℃,一定轉速下攪拌2h,取樣,離心,測定濃度并計算吸附量和去除率,結果如圖2所示。

由圖2可見,隨著吸附劑量的增加,吸附劑的單位吸附量逐漸下降,這是由于吸附劑上未被利用的空余吸附位點增加?梢悦黠@地看出隨著吸附劑量的增加,吸附效率明顯增大,在吸附劑量為0.002g時,去除率已經達到了93.5%,吸附劑量繼續增加,去除率不再發生明顯的變化。這是由于在靜止狀態下,吸附效果與吸附劑和溶液的接觸面積有關。隨著吸附劑量的增加,導致溶液中有效接觸面積減小,因此在吸附劑達到一定量后,對甲基橙的吸附不再發生明顯的變化。
2.3吸附動力學研究
取0.01g吸附劑加入100mL的甲基橙溶液中,調節溶液的pH為3.93。在25℃,一定速度下攪拌,按照一定間隔時間進行取樣,離心,測定濃度并計算吸附量qt,作qt-t曲線,結果如圖3所示。
由圖3可見,隨吸附時間的延長,吸附量逐漸增大,在大約180min時吸附量不再發生明顯的變化,表明吸附達到平衡,此時吸附容量達到了851.47mg/g,而未改性的CNT/COOH在相同條件下其最大吸附量僅為466.6mg/g。

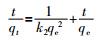
為了更好地研究時間對吸附的影響,對所有數據進行了兩種動力學模擬,兩種動力學模型可以有效地解釋吸附速率和潛在的速率控制階段。對所有數據分別進行假一階和假二階動力學模型線性擬合,分別如圖4(a)、圖4(b)所示。

假一階動力學模型和假二階動力學模型的計算過程如下。
式中:qe——吸附平衡時的吸附量,mg/g;
qt——時間t時的吸附量,mg/g;
t——吸附時間,min;
k1——假一階動力學模型的速率常數,min-1;
k2——假二階動力學模型的速率常數,mg/(g•min)。
假一階、假二階動力學模型參數如表1所示。

由表1可見,假一階動力學方程的決定系數R2為0.9297,但是計算的理論吸附量要遠遠小于實際的吸附量。對于假二階動力學模型其決定系數R2達到了0.9999,理論計算的吸附量與實測851.47mg/g非常接近。因此假二階動力學模型可以更好地解釋PEI-CNT/COOH對甲基橙的吸附。由此表明改性碳納米管對甲基橙的吸附過程可能受速率控制。
2.4吸附等溫線
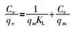
吸附等溫線是吸附過程設計的重要依據,用來描述吸附劑和吸附質之間的平衡關系、親和力及吸附劑的吸附能力。研究吸附平衡時主要進行了Langmuir、Freundlich和Temkin的研究,結果分別為圖5(a)、圖5(b)、圖5(c)所示。

Langmuir、Freundlich和Temkin的方程式如下:
式中:Ce——吸附平衡時的質量濃度,mg/L;
qe——吸附平衡時的吸附量,mg/g;
qM——Langmuir理論最大吸附量,mg/g;
KL——Langmuir模型方程常數,L/mg;
KF——Freundlich模型方程常數,L•mg-1;
KT、Bl——Temkin模型方程常數,L/mg、J/mol。
對吸附數據進行線性擬合,計算結果如表2所示。

由表2可見,Langmuir等溫方程線性擬合相關系數(R2)遠遠大于其他兩種等溫吸附方程,這說明PEI-CNT/COOH對甲基橙的吸附更符合Langmuir等溫吸附模型,單分子層的均勻吸附在吸附過程中起到主導作用〔4〕。在25、40、55℃下,實際最大吸附量分別為1218.8、1173.0、1111.6mg/g,其值與理論值相差甚小,進一步證實PEI-CNT/COOH對甲基橙的吸附符合Langmuir模型。
2.5吸附熱力學研究
研究溫度對吸附過程的影響能夠為吸附過程中能量的改變和吸附機理提供有效信息。筆者通過熱力學計算研究了吸附機理。吉布斯自由能ΔG0,標準焓變ΔH0,標準熵變ΔS0通過下列公式計算得出:

式中:R——熱力學常數,8.314kJ/mol;
K——平衡常數;
T——絕對溫度,K;
Ce——吸附平衡時甲基橙溶液質量濃度,mg/L;
Ca——甲基橙初始質量濃度與吸附平衡質量濃度之差,mg/L。
熱力學參數計算結果如表3所示。

通過計算熱力學數據得出整個吸附過程是一個自發放熱過程。ΔG0的數值在3個溫度下均小于化學吸附40kJ/mol,且在物理吸附-40~0kJ/mol范圍內〔5〕。熵變ΔS0為負值說明甲基橙在PEI-CNT/COOH的吸附過程降低了固液表面的混亂度。標準焓變和標準吉布斯自由能均能說明PEI-CNT/COOH對甲基橙的吸附行為更符合物理吸附。具體參見http://m.dongaorq.cn更多相關技術文檔。
3結論
(1)實驗證實聚乙烯亞胺改性的碳納米管對甲基橙的吸附性能大大提高,在25℃下最大吸附量達到了1218.8mg/g,遠遠高于先前未改性羧基碳納米管對甲基橙的吸附(466.6mg/g)。
(2)PEI-CNT/COOH對甲基橙的吸附符合Langmuir等溫吸附方程和假二階動力學方程,符合一種單分子層吸附過程,且吸附過程受速率控制。
(3)通過計算熱力學數據說明吸附過程是一個自發放熱過程,且吉布斯自由能數值較小,說明吸附是一種物理吸附行為。
(4)所有實驗結果證實通過對碳納米管改性可以大大提高其吸附性能,這對以后碳納米管的研究具有重要的意義。


