污水處理廠在處理污水過程中會產生大量的剩余污泥,污泥體積通常占污水處理總體積的0. 3%~1. 0%[1]。目前我國每年排放的干污泥大約為130萬t,并以大約10%的速率增加[2]。剩余污泥中含有大量的污染物,如重金屬、內分泌干擾劑、多氯聯苯、多環芳烴以及二噁英等[4],這些污染物如果得不到妥善處理,會對環境造成嚴重的二次污染。剩余污泥的處理費用巨大,一般占城市污水處理廠總費用的40%~60%[3]。目前對污泥處理多采用污泥厭氧消化的方法[5]。厭氧消化過程主要有水解、酸化、產乙酸和產甲烷4 個階段,其中,水解過程由于厭氧微生物所需要的營養物質大部分存在于污泥絮體以及微生物的細胞膜(壁)內部原生質中,胞外分泌酶無法與營養基質充分有效地接觸,嚴重限制了厭氧消化的速率[6]。因此,要對污泥進行預處理,即破碎污泥絮體和污泥細胞膜(壁),使營養基質得以釋放,加快整個厭氧消化過程[7-8]。
為提高污泥厭氧消化效率,許多污泥破壁或溶胞預處理技術正在研發之中。筆者綜述國內外已有報道且具有良好應用前景的幾種污泥預處理技術,將這些技術歸納為電磁場、輻射以及生物處理等污泥預處理技術,并分析它們的原理、特點、處理效果以及發展方向。
1 污泥電磁場預處理技術
電磁場預處理技術主要包括電場、磁場以及電磁波等處理技術。電場和電磁波方面主要包括聚焦脈沖技術和微波技術; 而在磁場方面,國內外的主要研究方向是加強活性污泥法污水處理效果[9]和污泥脫水性能的改善[10]。李帥等[11]在研究磁場對污泥的脫水性能時,發現在磁場作用下,污泥濾液中的COD 和NH4+質量濃度都在短時間內升高,COD 質量濃度的最大變化率為60%,說明在磁場作用下,污泥細胞有一定程度的破壁,因此磁場污泥預處理技術有望成為一種有效的污泥預處理技術。本文推薦使用強脈沖磁場進行污泥預處理,因為隨著磁場強度或脈沖數的增加,磁場殺菌效果越好[12],污泥破壁效果也可能更好。
1.1 聚焦脈沖預處理技術
聚焦脈沖(FP)技術盡管在醫學破壁和食物殺菌方面為人所熟知[13-14],但對其提高厭氧消化效率方面的研究仍較少。聚焦脈沖在水中電弧放電,可以產生沖擊波、紫外線輻射以及各種自由基[15],同時在高壓條件下,細胞膜會產生電穿孔[16],這些都可以促使污泥細胞破碎,溶出胞內有機物。研究[17-20]表明: ①當采用較弱的電場時,可使細胞膜形成可逆電擊穿,即電場所誘導的細胞膜電穿孔在一定條件下可以重新封閉; ②隨著電場強度的增大,細胞膜孔數增多,孔徑增大,當達到一定程度后膜孔就不能再封閉,從而造成不可逆擊穿,使細胞死亡、破裂。在污泥預處理中,主要是運用電場對細胞膜不可逆擊穿原理。20 世紀60 年代后期,Sale等[21-22]首次采用多個高壓電脈沖對微生物細胞進行處理,發現細胞在電場作用下溶解或死亡。聚焦脈沖電穿孔機理見圖1[23]。圖1 中,正負電極分別與聚焦脈沖電源和地面連接,絕緣的細胞膜在快速變化的電場中發生極化。這是由于磷脂分子是極性分子,隨著電荷的積累,膜間電壓升高。如果膜間電壓超過了某一閾值,細胞膜間由于引力引起的壓力就會破壞磷脂雙分子層而形成小孔。

細胞電穿孔機理主要研究電脈沖的幅度、寬度、波形以及個數等參數對細胞膜通透性變化的影響。脈沖寬度與幅度之間存在互補關系,即降低脈沖幅度,就需要加寬脈沖時程來彌補。細胞穿孔的效率往往與脈沖幅度與寬度的乘積成正比[24]。在細胞穿孔的大多數試驗中,使用DC 方波脈沖[25]和RC指數衰減形脈沖[26]的研究表明,如果脈沖在峰電壓擊穿細胞之后,能以較低的電壓維持膜孔洞開放一段時間,則有利于提高細胞電穿孔的效率,因此,RC指數衰減形脈沖往往比相同的DC 方波脈沖更有效[27]。增加脈沖個數能增大細胞穿孔的效果,后續脈沖的積累成活率比第一脈沖下降得更快[28]。
聚焦脈沖預處理污泥能夠有效提高污泥溶解性有機物濃度和污泥厭氧消化產甲烷效率,并且具有較高的能效。聚焦脈沖對污泥處理強度的計算公式為
式中: TI為聚焦脈沖對污泥的處理強度,(kW·h)/m3;V 為脈沖電壓,(kg·m2)/(C·s2); D 為脈沖寬度,s;f 為脈沖頻率,1/s; e 為樣品的電導率,S/m; L 為電極間的距離,m; HRT為污泥樣品在脈沖電場中停留的時間,s; K 為單位轉換常數,用來評估污泥處理強度對COD 生成CH4的影響,取2. 8×10-7(kW·h)/J。
Hanna 等[30]利用聚焦脈沖處理剩余污泥后,發現SCOD/TCOD 以及污泥中胞外多聚物ECP 成分的含量分別增加了4. 5倍和6. 6倍。厭氧消化后,甲烷產量提高了2. 5倍。美國OpenCELTM產品已經在梅薩市西北污水處理廠中得到應用[31],經處理后的剩余污泥中,溶解性化學需氧量SCOD 以及溶解性有機碳DOC 分別增加了160%和120%。當剩余污泥處理率為60%時,甲烷產量增加了40%以上。經計算,聚焦脈沖預處理所提高的產甲烷量與回收的熱能之和達到了聚焦脈沖預處理所消耗能量的18倍。即使不考慮回收的熱能,污泥產甲烷量的增量也達到輸入能量的2. 7倍。聚焦脈沖預處理運行數據顯示,設備安裝投資成本回收期不會超過3 年。
聚焦脈沖技術不但明顯地提高了污泥厭氧消化效率,而且減少了厭氧消化過程中的臭味和泡沫等,因此可能在污水處理廠中能得到廣泛應用。今后聚焦脈沖技術的研究方向在以下幾個方面: ①改變脈沖的形式,如使用振蕩電場,使除了具有壓縮磷脂雙分子層的效果之外,還會產生電-機械力耦聯效應[32],可能會提高污泥處理的效果; ②聯合其他預處理工藝,提高污泥處理能力; ③改善脈沖電場處理室的材料和構造,因為在脈沖處理過程中,處理室會受到很大的腐蝕[33]; ④增加污泥處理量,因為所使用的電壓應可以產生幾個kV/cm 的強電場,而限制了污泥處理室的容積。
1.2 微波預處理技術
微波是一種頻率從300 MHz ~ 300 GHz,即波長在1m~0. 1mm 范圍的電磁波[34]。目前用于工業目的的微波頻率一般為915 MHz 和2 450 MHz。微波對微生物的作用可分為熱效應和非熱效應兩種。微波熱效應主要有偶極極化損耗、界面極化損耗等機制[35-36],而對非熱效應原理至今還具有很大的爭議。
目前,微波污泥預處理技術的研究較為熱門。Cigdem 等[37]認為,雖然污泥處理的前7 d 微波對產氣影響不大,但明顯提高了污泥厭氧消化的性能。Eskicioglu 等[38]的研究表明,微波對污泥絮體的結構和細胞膜具有破壞能力,使污泥釋放胞內外溶解性顆粒COD 有機物質(如蛋白質,多糖,核酸等)。
在96℃溫度下,當污泥停留時間為5 d 時,污泥中總固體TS 和揮發性固體VS 的去除率比常溫下處理的去除率提高了32%和26%; 而當污泥停留時間為20 d 時,同樣操作條件下TS 和VS 去除率提高了16%和12%,說明溫度和污泥停留時間對微波提高污泥厭氧性都具有影響。Park 等[39]發現經微波處理后的剩余污泥中,產氣量和COD 去除率分別提高了79%和65%,同時,污泥停留時間可由原來的15 d縮短至8 d。Eskicioglu 等[40]通過實驗發現溫度、處理強度以及污泥濃度對污泥溶解性的影響較大。
微波預處理技術處理速度快、效果好,可有效溶解污泥細胞壁,提高厭氧消化效率,但運行費用較高,限制了其廣泛應用。今后應以降低能耗為著手點,研究影響微波處理效率的因素,找出最佳工況,并聯合其他處理工藝,進一步提高厭氧消化效果,降低能耗。微波應用前景較好,值得進一步研究,并推動其在工程上的廣泛應用。
2 污泥輻射預處理技術
輻射技術用于廢物處理最早始于20 世紀50 年代[41]。目前輻射類型主要有兩種: ①由同位素60Co及137Cs 作為輻照源產生γ射線; ②利用電子加速器加速出來的高能電子束。基于輻射的污泥處理技術具有操作簡便、高效率、低能耗等特點,因此應加以提倡和推廣[42]。
2.1 γ射線預處理法
60Co 和137Cs 都能有效地產生γ射線進行污泥處理,但在工業上普遍使用60Co,這是因為137Cs 半衰期為30 年,有可能會引起核泄漏[43]。ˇCUBA 等[44]的實驗表明,經γ射線(16 kGy)處理后的污泥產氣量提高了22%。文獻[45]發現γ射線還可以提高污泥的沉降性、脫水性,能抑制污泥發泡。YUAN等[46]通過實驗發現,污泥經過γ射線處理后,總固體TS、揮發性固體VS、懸浮物SS 以及揮發性懸浮物VSS 都在減少,而且隨著輻射劑量從0 增加到30 kGy 時,污泥粒徑分布從80 ~ 100 μm 降低到0 ~40 μm,這表明污泥絮體受到破壞。由于污泥細胞溶出胞內物質,SCOD 升高。輻射劑量分別為2. 48kGy,6. 51 kGy 和11. 24 kGy 處理過的污泥,產氣量分別增加了44%,98%和178%。鄭正等[47]的實驗表明,在較低輻射劑量(2. 48 kGy)下,SCOD 增加了178. 7%; 當輻射劑量增至10~20 kGy 時,SCOD 的增加率超過500%。經10 kGy 輻射劑量處理后的污泥產氣比率有顯著提高。當污泥停留時間為8 d,12 d和20 d 時,污泥產氣比率分別增加了52. 6%,53. 5%和37. 6%。牟艷艷等[48]研究發現,γ射線輻照預處理方法可有效改善厭氧消化污泥的物化性質: ①可降低污泥中有機質顆粒的大小,增加細菌胞外酶接觸底物的幾率,從而提高厭氧消化的水解速率; ②破壞污泥中微生物的細胞壁,提高污泥厭氧消化的有效成分; ③提高污泥厭氧消化系統的抗酸性能; ④γ射線與水分子發生反應生成活性物質eaq-、OH·、H·,提高污泥厭氧消化的速率。
可見,γ射線預處理法可有效進行污泥破壁,提高厭氧消化速率。但關于γ射線污泥預處理法的研究相當少,今后研究的方向將是: ①降低γ射線預處理法裝置的基建費用; ②研究影響γ射線預處理法污泥處理效果的因素,如輻射劑量、輻射時間、污泥溫度、污泥含水率以及污泥層厚度等,進而優化運行參數,提高污泥處理效率; ③研究和其他預處理技術(如加堿等)相結合的污泥處理方法; ④提高γ射線預處理法的安全性以及γ射線產生量。
2.2 電子束預處理技術
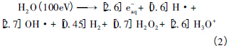
電子束預處理技術不需要添加額外的化學試劑,不生成副產物,并且可以通過由輻射產生的OH·來降解有毒難處理的物質[49]。當高能電子束輻射純水時,在10-7s 內發生化學反應[50]:

方括號中的數字表示每吸收100eV 的能量時,水中產生的各種自由基的數量。這個反應也可以在污泥中發生,因為污泥中含有大量的水。Park 等[51]通過實驗發現,在輻照劑量為20 kGy 下,污泥層厚度為1. 0 cm,0. 75 cm,0. 5 cm 以及0. 25 cm 中的SCOD 分別增加了49%,54%,97% 和147%,并且發現輻照時間從0. 3 s 增加到1. 2 s 過程中,SCOD 增加量并不明顯,但是蛋白質含量增加了5倍,從而得出結論: 污泥層厚度是影響污泥中有機物溶解的重要參數,輻照時間是影響污泥細胞溶胞的重要參數。
SHIN 等[52]實驗發現,電子束輻射處理污泥后的24h 期間,總化學需氧量TCOD 釋放了30% ~ 52%,揮發性脂肪酸VFAs 大約增加了90%,并且厭氧消化時間縮短了一半。此外實驗還發現,污泥的pH 值不影響電子束污泥處理效果,在SCOD 增加較快的期間,氧化還原電位(oxidation-reduction potential,ORP)曲線下降,而當SCOD 曲線趨于平衡時,ORP曲線開始上升,由此可將ORP 作為一個快速表征污泥水解的參數。CAO 等[53]的實驗發現,隨著輻射劑量的增大,SCOD、溶解性總氮STN 等迅速增加,而混合液污泥濃度MLSS 大幅度減小,說明此時污泥細胞破解溶出大量細胞內物質; 并且當污泥層為5cm時處理效果較好,處理后的污泥zeta 電位趨近于零,說明污泥的沉降性能變好。
電子束污泥預處理技術具有高效、快速、經濟的優點,應用前景較好。今后的研究方向應在于: ①確定影響電子束預處理技術的因素,優化工況參數;②與其他預處理技術聯用,提高污泥處理效果; ③提高電子束預處理技術的安全性。
3 污泥生物水解預處理技術
采用生物技術處理污泥,由于具有可持續性、無害化、安全以及對環境友好等優點,得到了許多研究者的青睞。目前,生物水解預處理技術主要包括生物酶預處理技術和生物強化預處理技術。隨著生物技術的迅速發展,生物水解預處理技術具有較好的發展前景。
3.1 生物酶預處理技術
生物酶水解技術已經有了30 多年的研究歷史,許多種類的酶在廢物處理當中起著重要的作用。先前的研究結果表明,額外添加酶類可以提高污泥厭氧消化效率,并可改善酶類的沉降性能[54],降低處理成本[55],控制簡單,產物對環境無害[56]。Guang等[57]將胞外聚合物(EPS)分成松散(LB-EPS)和緊密(TB-EPS)兩部分,并根據酶系列實驗研究結果,認為蛋白酶主要作用于污泥顆粒,α-淀粉酶和α-葡糖苷酶作用于松散的胞外聚合物(LB-EPS),只有很少部分的蛋白酶、α-淀粉酶和α-葡糖苷酶作用在緊密的胞外聚合物(TB-EPS)。44% ~ 65%的α-淀粉酶和59% ~ 100%的α-葡糖苷酶作用在LB-EPS,表明污泥絮體水解部分主要是蛋白質和碳水化合物。Roman 等[58]將纖維素酶和鏈霉蛋白酶E 分單一和混合兩種投加方式來處理污泥,結果表明,經混合投加方式處理后的污泥,污泥量減少了80%,顆粒型COD 去除了93%,總化學需氧量TCOD 去除了97%,總懸浮固體TSS 從25 g/L 降低到5g/L,減少了80%。而單一投加方式對污泥的溶解、COD 以及TSS 卻幾乎沒有影響,但所有方式的投加酶都可以降低揮發性脂肪酸VFAs。由于VFAs 積累可能會導致發酵失敗,所以得出結論是額外添加酶可從降低VFAs,污泥減量,以及由于pH 值穩定而保證消化穩定等方面,說明可以提高厭氧消化效率。Andres 等[59]的實驗表明,污泥被生物酶處理后,其在脈沖電場中停留的時間縮短了30%,這意味著反應器容積可以大大減小,不僅降低加熱和攪拌的能耗,而且還可以降低基建的費用。
生物酶預處理技術可有效提高污泥溶解性以及厭氧消化效率,大大提高產甲烷能力,不需要特殊的反應設備,反應條件溫和,不產生2 次污染物,所以具有良好的應用前景。由于酶的種類繁多及其本身特性,今后研究方向應包含: ①研究利用不同種類的酶進行污泥預處理,尋找其最佳組合; ②由于酶類對環境較敏感,所以要研究最佳的工況參數(如pH、溫度等)和最佳投加量; ③提高生物工程技術,生產低廉高效生物酶試劑。
3.2 生物強化預處理技術
生物強化預處理是向污泥中投加具有特定功能的微生物來改善污泥厭氧消化性能,充分發揮微生物的潛力。微生物可以改變或者破壞污泥絮體的結構和成分。研究發現,絲狀真菌具有很強的釋放蛋白質、酶、有機酸以及其他代謝產物的能力[60],可以抑制或減少堿性物質以保持pH 平衡,降解有機物。根據Molla 等[61]的研究,混入絲狀真菌可以通過加強其他菌分泌酶的能力來加快基質的分解。通過生物強化后,沼氣產量會大大提高。Miah 等[62]通過接種高溫消化菌種AT,沼氣產量增加了2. 2倍。Tepe 等[63]通過向厭氧發酵池中投加桿菌、假單胞菌以及放線菌等來提高產甲烷量,當加入細菌量為5 g/L 時,純甲烷產量提高了29%,丙酸殘留濃度降低了46%,此外,CH3SH 生成量降低了63%,大大減少了發酵過程中的臭味。Miah 等[64]利用菌種SPT2-1 進行污泥預處理,此菌種可以分泌蛋白酶以及蛋白酶等胞外酶,在有氧條件下使污泥溶解速度加快了大約40%,而在厭氧條件下生物沼氣產量提高了1. 5倍。
從已有的研究成果發現,生物強化技術在一定程度上和酶強化技術重合,只是生物酶的來源不同。兩種處理技術的優點基本一樣,有較好的發展前景。今后研究方向應為: ①由于菌種繁多,應明確起主要作用的是哪一種或者哪一類菌種; ②確定最優化的菌種劑量,提高經濟性; ③利用生物工程技術,培養出高效的菌種試劑。具體參見http://m.dongaorq.cn更多相關技術文檔。
4 結語
雖然現有的污泥預處理技術種類繁多,但實際應用方面的研究不夠深入和全面。今后,研究工作應該著眼于實際生產,解決相關技術投資高、能耗大以及不經濟等問題。本文筆者所論述的污泥預處理技術,都有良好的發展應用發展空間,值得深入研究。



