公布日:2023.09.29
申請日:2023.05.17
分類號:G06F18/27(2023.01)I;G06Q50/06(2012.01)I;G06Q50/26(2012.01)I
摘要
本發明公開了一種基于多元線性回歸模型的污泥干化狀態智能預測方法,屬于污水處理污泥干化監測技術領域,具體方法包括:步驟一:分析污泥干化機工作原理,建立污泥干化工藝監控對象點。步驟二:設置采集時間段,在采集時間段內通過監測點,實時污泥干化機運行狀態信息。步驟三:監測空氣循環過程中,獲取得到干化室入口風量、濕料含水率、干化室干燥溫度、去水量、干化室相對濕度、干化室出口風溫度、干料含水率數據。步驟四:由于設備層傳感器的異構性,使得原始采集到的數據類型不同,其間存在精度差異也較大,對采集到的數據進行清洗處理。步驟五:建立多元線性回歸模型,并結合工程經驗加入改進的定制化修正系數,實現模型對污泥干化機的干化效果進行預測。用于解決污泥干化過程中處理結果狀態智能分析預測的問題,提升現場設備運行工作效率,促進水資源的更經濟利用和污泥無害化、資源化利用。
權利要求書
1.基于多元線性回歸模型的污泥干化狀態智能預測方法,其特征在于:具體方法包括:步驟一:分析污泥干化機工作原理,建立污泥干化工藝監控對象點;步驟二:設置采集時間段,在采集時間段內通過監測點,實時污泥干化機運行狀態信息;步驟三:監測空氣循環過程中,獲取得到干化室入口風量、濕料含水率、干化室干燥溫度、去水量、干化室相對濕度、干化室出口風溫度、干料含水率數據;步驟四:由于設備層傳感器的異構性,使得原始采集到的數據類型不同,其間存在精度差異也較大,對采集到的數據進行清洗處理;步驟五:建立多元線性回歸模型,并結合工程經驗加入改進的定制化修正系數,實現模型對污泥干化機的干化效果進行預測;對采集到的數據進行清洗處理,由于設備層傳感器的異構性,使得原始采集到的數據類型不同,其間存在精度差異也較大,傳感器節點采集的數據特征:浮動小,體量大,數據冗余度高,為了方便計算分析,將對數據進行規劃清洗,整合精度值,提高計算的便捷性,處理中,設定數據冗余閾值函數,如公式1所示,降低有效節點的分布密度;

其中,T為參數閾值,t為均值,Δ代表了被測量值的合理波動范圍,通過該函數計算,當原始數小于Δ值,則被判定數據落在合理波動范圍之內,后續設置為冗余數據進行過濾處理,若計算結果大于Δ值,則將數據定為異常。
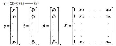
2.根據權利要求1所述的一種基于多元線性回歸模型的污泥干化狀態智能預測方法,其特征在于:建立多元線性回歸預測模型,模型數據有干化室入口風量、濕料含水率、干化室干燥溫度、去水量、干化室相對濕度、干化室出口風溫度、干料含水率且均為連續型數值,污泥干化設備主要工作是將物料除濕干化,減小污泥體積,因此,將干化物料含水率設為目標變量表示干化效果;將干化室入口風量、濕料含水率、干化室干燥溫度、去水量、干化室相對濕度、干化室出口風溫度作為解釋變量,建立多元線性回歸模型,并結合工程經驗加入改進的定制化修正系數,實現模型對污泥干化機的干化效果進行預測;模型的矩陣形式如式2所示;

其中,Y為因變量即目標變量,X為自變量即解釋變量,β為回歸系數,ξ為隨機誤差項,Ω為定制修正系數。由于解釋變量的單位不同數值差異大,訓練數據集進行標準化處理,采用OLS(OrdinaryLeastSquares)最小二乘法通過最小化誤差(真實目標對象與擬合目標對象的差)的平方和尋找數據的最佳函數匹配,估算參數求解出各個回歸系數,結合大量數據訓練,進而完成多元線性回歸預測模型的建立。
發明內容:
為了解決上述問題,本發明提供基于多元線性回歸模型的污泥干化狀態智能預測方法。
一種基于多元線性回歸模型的污泥干化狀態智能預測方法,包括以下五個步驟:
步驟一:通過分析污泥干化機工作原理,建立污泥干化工藝監控對象點。該監控對象是在熱泵污泥干化基礎上,監控空氣循環流程。
步驟二:設置采集時間段,在采集時間段內通過監測點實時污泥干化機運行狀態信息。
步驟三:獲取關鍵狀態數據。監測空氣循環過程中,獲取得到干化室入口風量、濕料含水率、干化室干燥溫度、去水量、干化室相對濕度、干化室出口風溫度、干料含水率且均為連續型數值,為后續分析監控運行關鍵參數提供基礎數據。
步驟四:對采集到的數據進行清洗處理。由于設備層傳感器的異構性,使得原始采集到的數據類型不同,其間存在精度差異也較大。傳感器節點采集的數據特征:浮動小,體量大,數據冗余度高。為了方便計算分析,將對數據進行規劃清洗,整合精度值,提高計算的便捷性。處理中,設定數據冗余閾值函數,如公式1所示,降低有效節點的分布密度。

其中,T為參數閾值,t為均值,Δ代表了被測量值的合理波動范圍。通過該函數計算,當原始數小于Δ值,則被判定數據落在合理波動范圍之內,后續設置為冗余數據進行過濾處理。若計算結果大于Δ值,則將數據定為異常。
步驟五:建立多元線性回歸預測模型。模型數據有干化室入口風量、濕料含水率、干化室干燥溫度、去水量、干化室相對濕度、干化室出口風溫度、干料含水率且均為連續型數值。污泥干化設備主要工作是將物料除濕干化,減小污泥體積。因此,將干化物料含水率設為目標變量表示干化效果;將干化室入口風量、濕料含水率、干化室干燥溫度、去水量、干化室相對濕度、干化室出口風溫度作為解釋變量,建立多元線性回歸模型,并結合工程經驗加入改進的定制化修正系數,實現模型對污泥干化機的干化效果進行預測,模型的矩陣形式如式2所示。

其中,Y為因變量即目標變量,X為自變量即解釋變量,β為回歸系數,ξ為隨機誤差項,Ω為定制修正系數。由于解釋變量的單位不同數值差異大,訓練數據集進行標準化處理,采用OLS(OrdinaryLeastSquares)最小二乘法通過最小化誤差(真實目標對象與擬合目標對象的差)的平方和尋找數據的最佳函數匹配,估算參數求解出各個回歸系數。結合大量數據訓練,進而完成多元線性回歸預測模型的建立。
進一步的,基于多元線性回歸模型建立污泥干化狀態智能預測方法,通過訓練集對初始模型進行訓練,將訓練成功后的初始模型通過校驗集進行校驗,將校驗成功的初始模型標記為多元線性回歸模型,并結合現場實際運行狀態,實現干化物料含水率目標值預測。
本發明的有益效果:
本發明將多元線性回歸模型與污水處理污泥干化狀態預測相結合,準確預測污泥干化狀態量,提升現場設備運行工作效率,促進水資源的更經濟利用和污泥無害化、資源化利用,保證供水系統的可持續性。本發明的一種基于多元線性回歸模型的污泥干化狀態智能預測方法,在考慮干化室入口風量、濕料含水率、干化室干燥溫度、去水量、干化室相對濕度、干化室出口風溫度、干料含水率影響的基礎上,建立了多元線性回歸模型,能夠較準確預測污泥干化狀態,輔助城市污水處理污泥無害化、資源化調度,發揮數據價值,給用戶提供更加精準的數據分析服務。
(發明人:顏大鵬;李毅;崔靜)






