公布日:2023.12.22
申請日:2023.10.31
分類號:G16C20/70(2019.01)I;G16C20/10(2023.01)I;C02F5/00(2006.01)I;G06F17/16(2019.01)I
摘要
本申請涉及廢水處理領域,提供一種明膠生產廢水智能處理方法及系統,包括:獲取N個周期的基礎數據矩陣,每一周期的基礎數據矩陣包括當前周期采集的多個維度的數據序列,多個維度的數據序列分別包括:PH值序列、COD含量序列以及鈣離子含量序列;利用N-1個周期的基礎數據矩陣計算得到特征參數,特征參數包括N-1個周期對應的阻垢劑的投放量作用指數、鈣離子異常變化指數以及阻垢劑的投放量;利用神經網絡算法對N-1個周期的特征參數進行處理,得到第N個周期對應的阻垢劑的最佳投放量,基于阻垢劑的最佳投放量對明膠生產廢水進行處理。該方法能夠預設當前處理周期中阻垢劑的最佳投放量,提高生產廢水的污泥減量效果。
權利要求書
1.一種明膠生產廢水智能處理方法,其特征在于,包括:獲取N個周期的基礎數據矩陣,每一周期的所述基礎數據矩陣包括當前周期采集的多個維度的數據序列,多個維度的數據序列分別包括:PH值序列、COD含量序列以及鈣離子含量序列;利用N-1個周期的基礎數據矩陣計算得到N-1個周期中每一周期對應的特征參數,所述特征參數包括N-1個周期對應的阻垢劑的投放量作用指數、鈣離子異常變化指數以及阻垢劑的投放量;利用神經網絡算法對N-1個周期的特征參數進行處理,得到第N個周期對應的阻垢劑的最佳投放量,基于阻垢劑的最佳投放量對明膠生產廢水進行處理;利用N-1個周期的基礎數據矩陣計算得到N-1個周期中每一周期對應的特征參數,包括:基于當前周期的所述基礎數據矩陣計算當前周期中的阻垢劑的投放量作用指數,所述阻垢劑的投放量作用指數表征阻垢劑的投放量的分解作用;基于當前周期的所述基礎數據矩陣中的鈣離子含量序列計算當前周期中的鈣離子異常變化指數,所述鈣離子異常變化指數表征添加的阻垢劑的量是否過多;基于當前周期的所述基礎數據矩陣計算當前周期中的阻垢劑的投放量作用指數,包括:基于當前周期的所述基礎數據矩陣計算當前周期中阻垢劑的分解能力指數;基于當前周期的所述基礎數據矩陣以及所述分解能力指數計算當前周期中的阻垢劑的投放量作用指數;其中,所述分解能力指數與阻垢劑的投放量作用指數正相關;基于當前周期的所述基礎數據矩陣計算當前周期中阻垢劑的分解能力指數,包括:計算所述基礎數據矩陣中每一維度的數據序列的極差;計算每一維度的數據序列內相鄰兩個數據點之間的變化和相鄰兩個數據點中在前的數據點的比值之和;基于所述基礎數據矩陣中所有維度的數據序列計算得到的極差,和每一維度的數據序列計算得到的比值之和計算得到當前周期中阻垢劑的分解能力指數;當前周期中阻垢劑的分解能力指數的計算方式為:

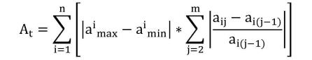
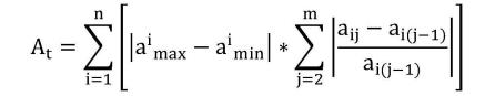
其中,At表示第t個周期中阻垢劑的分解能力指數,n表示基礎數據矩陣中維度的個數,m表示基礎數據矩陣中每一維度的數據序列中數據點的個數,aimax和aimin分別表示第i個維度的數據序列中的極大值數據和極小值數據,|aimax-aimin|表示第i個維度的數據序列的極差,aij和ai(j-1)表示基礎數據矩陣中第i個維度第j個數據點和第i個維度第(j-1)個數據點的數值,
表示第i個維度中相鄰兩個數據點之間的變化和相鄰兩個數據點中在前的數據點的比值之和;
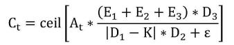
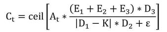
基于當前周期的所述基礎數據矩陣以及所述分解能力指數計算當前周期中的阻垢劑的投放量作用指數,包括:基于所述基礎數據矩陣中每一維度的第j個數據點之后的數據點之和和第j個數據點之后的數據點的數量計算每一維度的數據序列對應的平穩效果值,其中,所述第j個數據點之后的數據點為均衡狀態下的數據點;基于每一維度的數據序列在均衡狀態下的標準差分別計算每一維度的數據序列對應的的平穩效果指數的可信程度;基于每一維度的數據序列對應的平穩效果值、每一維度的數據序列對應的的平穩效果指數和所述分解能力指數計算當前周期中的阻垢劑的投放量作用指數;當前周期中的阻垢劑的投放量作用指數計算方式為:

其中,D1、D2和D3分別表示第1維度的PH值序列、第2維度的COD含量序列和第3維度的鈣離子含量序列的平穩效果值,E1、E2和E3分別表示第1維度的PH值序列、第2維度的COD含量序列和第3維度的鈣離子含量序列的平穩效果指數的可信程度,K表示中性PH值,ε為誤差項,避免分母為0,At表示第t個周期中阻垢劑的分解能力指數,Ct表示第t個周期中阻垢劑的投放量作用指數,ceil為向上取整函數;其中,所有維度的數據序列對應的的平穩效果指數的可信程度之和E1+E2+E3越大,表征第j個數據點之后的數據點為均衡狀態下的數據點的可能性越高;基于所述基礎數據矩陣中的鈣離子含量序列計算當前周期中的鈣離子異常變化指數,包括:將鈣離子含量序列中離子含量數據點的個數作為自變量,鈣離子的含量作為因變量,利用最小二乘非線性擬合算法得到鈣離子含量序列對應的擬合函數;對所述擬合函數求導,得到每個鈣離子含量數據點的斜率,所述數據點的斜率表征添加的阻垢劑的量是否過多;利用鈣離子含量序列中鈣離子含量數據點的個數、鈣離子含量序列中第(j-1)、第j個鈣離子含量數據、第(j-1)個鈣離子含量數據點的斜率,計算當前周期中的鈣離子異常變化指數;其中,當前周期中的鈣離子異常變化指數的計算方式為:

式子中,Ht表示第t個周圍中鈣離子異常變化指數,ceil為向上取整函數,Norm為歸一化函數,m表示鈣離子含量序列中鈣離子含量數據點的個數,a3(j-1)和a3j分別代表基礎數據矩陣中鈣離子含量序列中第(j-1)、第j個鈣離子含量數據,Lj-1表示第(j-1)個鈣離子含量數據點的斜率,ε為誤差項,避免分母取值為0。
2.根據權利要求1所述的一種明膠生產廢水智能處理方法,其特征在于,基于阻垢劑的最佳投放量對明膠生產廢水進行處理之后,包括:
利用濕式氧化法對處理之后的廢水進行處理,并對濕式氧化法對處理之后結構進行達標檢測,確定是否符合排放標準。
3.一種明膠生產廢水智能處理系統,用于實現權利要求1所述的一種明膠生產廢水智能處理方法的步驟,包括:獲取模塊,用于獲取N個周期的基礎數據矩陣,每一周期的所述基礎數據矩陣包括當前周期采集的多個維度的數據序列,多個維度的數據序列分別包括:PH值序列、COD含量序列以及鈣離子含量序列;計算模塊,用于利用N-1個周期的基礎數據矩陣計算得到特征參數,所述特征參數包括N-1個周期對應的阻垢劑的投放量作用指數、鈣離子異常變化指數以及阻垢劑的投放量;處理模塊,用于利用神經網絡算法對N-1個周期的特征參數進行處理,得到第N個周期對應的阻垢劑的最佳投放量,基于阻垢劑的最佳投放量對明膠生產廢水進行處理。
發明內容
本發明提供一種明膠生產廢水智能處理方法及系統,該方法能夠預設當前處理周期中阻垢劑的最佳投放量,提高生產廢水的污泥減量效果。
第一方面,本申請提供一種明膠生產廢水智能處理方法,包括:
獲取N個周期的基礎數據矩陣,每一周期的所述基礎數據矩陣包括當前周期采集的多個維度的數據序列,多個維度的數據序列分別包括:PH值序列、COD含量序列以及鈣離子含量序列;
利用N-1個周期的基礎數據矩陣計算得到N-1個周期中每一周期對應的特征參數,所述特征參數包括N-1個周期對應的阻垢劑的投放量作用指數、鈣離子異常變化指數以及阻垢劑的投放量;
利用神經網絡算法對N-1個周期的特征參數進行處理,得到第N個周期對應的阻垢劑的最佳投放量,基于阻垢劑的最佳投放量對明膠生產廢水進行處理。
可選的,利用N-1個周期的基礎數據矩陣計算得到N-1個周期中每一周期對應的特征參數,包括:
基于當前周期的所述基礎數據矩陣計算當前周期中的阻垢劑的投放量作用指數,所述阻垢劑的投放量作用指數表征阻垢劑的投放量的分解作用;
基于當前周期的所述基礎數據矩陣中的鈣離子含量序列計算當前周期中的鈣離子異常變化指數,所述鈣離子異常變化指數表征添加的阻垢劑的量是否過多。
可選的,基于當前周期的所述基礎數據矩陣計算當前周期中的阻垢劑的投放量作用指數,包括:
基于當前周期的所述基礎數據矩陣計算當前周期中阻垢劑的分解能力指數;
基于當前周期的所述基礎數據矩陣以及所述分解能力指數計算當前周期中的阻垢劑的投放量作用指數;
其中,所述分解能力指數與阻垢劑的投放量作用指數正相關。
可選的,基于當前周期的所述基礎數據矩陣計算當前周期中阻垢劑的分解能力指數,包括:
計算所述基礎數據矩陣中每一維度的數據序列的極差;
計算每一維度的數據序列內相鄰兩個數據點之間的變化和相鄰兩個數據點中在前的數據點的比值之和;
基于所述基礎數據矩陣中所有維度的數據序列計算得到的極差,和每一維度的數據序列計算得到的比值之和計算得到當前周期中阻垢劑的分解能力指數。
可選的,當前周期中阻垢劑的分解能力指數的計算方式為:

其中,At表示第t個周期中阻垢劑的分解能力指數,n表示基礎數據矩陣中維度的個數,m表示基礎數據矩陣中每一維度的數據序列中數據點的個數,aimax和aimin分別表示第i個維度的數據序列中的極大值數據和極小值數據,|aimax-aimin|表示第i個維度的數據序列的極差,aij和ai(j-1)表示基礎數據矩陣中第i個維度第j個數據點和第i個維度第(j-1)個數據點的數值,
表示第i個維度中相鄰兩個數據點之間的變化和相鄰兩個數據點中在前的數據點的比值之和。
可選的,基于當前周期的所述基礎數據矩陣以及所述分解能力指數計算當前周期中的阻垢劑的投放量作用指數,包括:
基于所述基礎數據矩陣中每一維度的第j個數據點之后的數據點之和和第j個數據點之后的數據點的數量計算每一維度的數據序列對應的平穩效果值,其中,所述第j個數據點之后的數據點為均衡狀態下的數據點;
基于每一維度的數據序列在均衡狀態下的標準差分別計算每一維度的數據序列對應的的平穩效果指數的可信程度;基于每一維度的數據序列對應的平穩效果值、每一維度的數據序列對應的的平穩效果指數和所述分解能力指數計算當前周期中的阻垢劑的投放量作用指數。
可選的,當前周期中的阻垢劑的投放量作用指數計算方式為:

其中,D1、D2和D3分別表示第1維度的PH值序列、第2維度的COD含量序列和第3維度的鈣離子含量序列的平穩效果值,E1、E2和E3分別表示第1維度的PH值序列、第2維度的COD含量序列和第3維度的鈣離子含量序列的平穩效果指數的可信程度,K表示中性PH值,ε為誤差項,避免分母為0,At表示第t個周期中阻垢劑的分解能力指數,Ct表示第t個周期中阻垢劑的投放量作用指數,ceil為向上取整函數;
其中,所有維度的數據序列對應的的平穩效果指數的可信程度之和E1+E2+E3越大,表征第j個數據點之后的數據點為均衡狀態下的數據點的可能性越高。
可選的,基于所述基礎數據矩陣中的鈣離子含量序列計算當前周期中的鈣離子異常變化指數,包括:
將鈣離子含量序列中離子含量數據點的個數作為自變量,鈣離子的含量作為因變量,利用最小二乘非線性擬合算法得到鈣離子含量序列對應的擬合函數;
對所述擬合函數求導,得到每個鈣離子含量數據點的斜率,所述數據點的鞋標表征添加的阻垢劑的量是否過多;
利用鈣離子含量序列中鈣離子含量數據點的個數、鈣離子含量序列中第(j-1)、第j個鈣離子含量數據、第(j-1)個鈣離子含量數據點的斜率,計算當前周期中的鈣離子異常變化指數;
其中,當前周期中的鈣離子異常變化指數的計算方式為:

式子中,Ht表示第t個周圍中鈣離子異常變化指數,ceil為向上取整函數,Norm為歸一化函數,m表示鈣離子含量序列中鈣離子含量數據點的個數,a3(j-1)和a3j分別代表基礎數據矩陣中鈣離子含量序列中第(j-1)、第j個鈣離子含量數據,Lj-1表示第(j-1)個鈣離子含量數據點的斜率,ε為誤差項,避免分母取值為0。
可選的,基于阻垢劑的最佳投放量對明膠生產廢水進行處理之后,包括:
利用濕式氧化法對處理之后的廢水進行處理,并對濕式氧化法對處理之后結構進行達標檢測,確定是否符合排放標準。
第二方面,本申請提供一種明膠生產廢水智能處理系統,包括:
獲取模塊,用于獲取N個周期的基礎數據矩陣,每一周期的所述基礎數據矩陣包括當前周期采集的多個維度的數據序列,多個維度的數據序列分別包括:PH值序列、COD含量序列以及鈣離子含量序列;
計算模塊,用于利用N-1個周期的基礎數據矩陣計算得到特征參數,所述特征參數包括N-1個周期對應的阻垢劑的投放量作用指數、鈣離子異常變化指數以及阻垢劑的投放量;
處理模塊,用于利用神經網絡算法對N-1個周期的特征參數進行處理,得到第N個周期對應的阻垢劑的最佳投放量,基于阻垢劑的最佳投放量對明膠生產廢水進行處理。
本申請的有益效果,區別于現有技術,本申請的明膠生產廢水智能處理方法及系統,包括:獲取N個周期的基礎數據矩陣,每一周期的所述基礎數據矩陣包括當前周期采集的多個維度的數據序列,多個維度的數據序列分別包括:PH值序列、COD含量序列以及鈣離子含量序列;利用N-1個周期的基礎數據矩陣計算得到特征參數,所述特征參數包括N-1個周期對應的阻垢劑的投放量作用指數、鈣離子異常變化指數以及阻垢劑的投放量;利用神經網絡算法對N-1個周期的特征參數進行處理,得到第N個周期對應的阻垢劑的最佳投放量,基于阻垢劑的最佳投放量對明膠生產廢水進行處理。該方法能夠預設當前處理周期中阻垢劑的最佳投放量,提高生產廢水的污泥減量效果。
(發明人:孟麗;王勇;鄧曉軍;李坤全;孔蒙;李作華;王秋蘭;張力;劉敏;尹寧寧;李尚銀;翟慧;趙興康;周婷婷;刁雪芹)






