硝酸酯作為高能含能材料在軍事以及石油化工、醫藥等民用領域應用廣泛,各種硝酸酯的生產過程都要經過硝化、酸酯分離、洗滌、廢酸處理、廢水處理等幾個工序完成,生產過程中產生大量的廢水,廢水中含有0.2%~1.0%的硝酸酯,硝酸酯是高感度物質,廢水未經處理或處理不完全而排放,沉積在排水設備或下水管網的低凹處的硝酸酯受摩擦撞擊極易爆炸,或遇熱、酸堿等物質會發生劇烈的化學分解反應,進而引發爆炸事故,國內曾發生過幾起硝酸酯廢水排水設施發生爆炸的事故"。因此為保障安全,硝酸酯廢水必須加以處理,將其中的硝酸酯分解破壞后排放。
1、國內硝酸酯廢水處理現狀
工業上國內硝酸酯生產廠家處理廢水主要采用堿液蒸煮,分解破壞硝酸酯,即“一步蒸煮法”。主要設備為3個蒸煮罐,操作方法為生產過程中產生的廢水先連續自流進入其中一個蒸煮罐A中,A罐接收到預定量的廢水后,切換到蒸煮罐B接收廢水,同時在蒸煮罐A中加入過量堿水至堿性,加熱消解硝酸酯。待蒸煮罐B接收的廢水達到預定量后,切換到蒸煮罐C接收廢水,并對蒸煮罐B的廢水加堿蒸煮消解硝酸酯,蒸煮完成后的廢水從蒸煮罐底部管口排出,3個蒸煮罐依次輪換操作。
“一步蒸煮法”處理硝酸酯廢水主要有以下不足:
1)蒸煮后廢水中殘余硝酸酯含量仍然偏高,為300mg/L~500mg/L,廢水處理不徹底,排放到下水管網后仍存在一定的燃燒、爆炸風險。
2)不同產能的硝酸酯生產線所產生的廢水量不同,產能越大的硝酸酯生產線用于處理廢水的蒸煮罐體積也越大,這樣會造成廢水處理在制量大,出現事故的風險大,工房占地面積大、蒸汽能耗大,建造成本和使用成本高等問題。
3)處理過程間斷操作,需要在3個蒸煮罐間來回輪流切換,操作強度大。
針對“一步蒸煮法”存在的問題,作者設計了一種“連續裂解法”硝酸酯廢水處理工藝,該文通過工藝參數優化,實際應用,以解決“一步蒸煮法”處理硝酸酯廢水工藝存在的問題和弊端。
2、試驗部分
2.1 “連續裂解法”工藝設計
“連續裂解法”處理硝酸酯廢水工藝流程見圖1。生產過程中產生的酸性廢水自流進入常溫中和槽1,堿液經中和槽上蓋入口連續加入中和槽中,用壓縮空氣攪拌,酸堿中和成堿性,堿性混合廢水從中和槽側上部出口被抽吸進入蒸汽噴射器2中,經蒸汽噴射器加熱并提升到裂解器3進行加熱裂解,裂解器長度和直徑可根據要處理的廢水量定制,該文試驗采用固定長度的裂解器。

2.2 實際廢水處理應用
以甘油三硝酸酯(NG)生產廢水為處理對象,采用連續裂解法處理,用氫氧化鈉堿性分解法,通過改變堿液pH值、裂解溫度和廢水流量,定期在廢水出口取樣檢測NG含量,以確定最佳工藝條件和實際應用效果。
2.3 甘油三硝酸酯含量檢測
美國安捷倫公司HP6890型氣相色譜儀,具有氫火焰離子化檢測器(FID)和數據采集處理工作站。色譜柱:J&WScientific公司DB-17型彈性石英毛細管柱(30mx0.32mm>0.52μm);柱溫:程序升溫,初始50°℃,保留1min,以20℃/min升至250℃,保留5min;汽化室溫度:250°C;檢測器溫度:270C;載氣為氮氣,流速為1.0mL/min;氫氣流速為40mL/min;空氣流速為360mL/min,尾吹氣流速為30mL/min;分流進樣:分流比為20:1;進樣量:0.6μL。標準溶液配置:準確稱取0.05g甘油三硝酸酯(精確至0.0001g)置于50mL容量瓶中,用丙酮溶解并稀釋至刻度,搖勻,得到濃度為1.0mg/mL的甘油三硝酸酯標準溶液,再稀釋到10mg/L~100mg/L作標準曲線,用外標法校準樣品。
3、結果與討論
3.1 工藝條件選擇
3.1.1 pH值對硝酸酯分解率的影響
圖2是pH值與用“連續裂解法”處理后廢水中硝酸酯含量的關系曲線。由圖可見,pH值在11~13,廢水中硝酸酯含量隨著pH值增大而減小,當達到13時,廢水中殘余硝酸酯含量約為50mg/L,之后隨著pH值的進一步增加,硝酸酯含量減少不明顯,幾乎保持不變。綜合考慮硝酸酯分解破壞率和生產成本,pH值控制在13為宜。

3.1.2 裂解溫度及裂解時間對硝酸酯分解率的影響
圖3是按試驗結果繪制的裂解溫度(用T表示)、裂解時間(用t表示)與處理后廢水中硝酸酯含量的關系曲線。其中裂解時間是指廢水從進蒸汽噴射器到出裂解器的停留時間,由圖3可見,在pH值、裂解溫度一定的情況下,裂解時間越長,硝酸酯含量越低。隨著裂解溫度從95C升高到100°C、105°℃,廢水中硝酸酯含量經歷了一個先高、后低又升高的過程,因此“連續裂解法”的最佳裂解溫度為100℃,綜合考慮設備建造成本和使用成本等因素,最佳裂解時間為60min。

3.1.3 最優工藝條件選擇
根據前面單因素試驗結果,采用L9(34)表進行正交試驗,以確定使硝酸酯分解效果最優工藝條件。所選因素與水平見表1,正交試驗結果與分析見表2。

結果表明,各因素對硝酸酯分解破壞率的影響次序:pH值>裂解溫度>裂解時間,最佳工藝條件:pH值為13,裂解溫度為100℃,裂解時間為60min,正交試驗確定的最佳工藝條件與單因素結果一致。在該條件下進行重復試驗,廢水中硝酸酯含量為40mg/L,廢水中殘余硝酸酯含量比傳統一步蒸煮法低1個數量級,硝酸酯消解效果較好。
3.2 機理分析
硝酸酯類物質在氫氧化鈉作用下分解破壞的原理,以處理甘油三硝酸酯為例,可用下面反應式表示:
C3H5(ONO2)3+5NaOH→NaNO3+2NaNO2+CH3COONa+HCOONa+3H2O
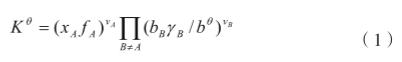
溶液中的化學平衡常數計算見公式(1)。

式中:xA一溶劑A的摩爾分數;fA一溶劑以xA表示組成時的活度系數;vA一溶劑A的化學計量數,mol(A)/mol(反應);bB一溶質B的質量摩爾濃度,mol/kg;yB一溶質以bB表示組成時的活度系數;vB一溶質B的化學計量數,mol(B)/mol(反應);b0為標準質量摩爾濃度,b0=1mol/kg。
硝酸酯在廢水中的含量約占0.2%~1.0%,廢水可認為極稀,又在常壓下,因此可認為xA=fA=yB=1,于是公式(1)簡化為
,在理論討論硝酸酯的分解破壞率與pH值的變化趨勢時,可假定某段時間內廢水中硝酸酯的濃度為B≠A-常數,這里設為1mol/kg,設氫氧化鈉的濃度為xmol/kg,硝酸酯的分解破壞率為y(%)。如公式(2)所示。

進一步變形,如公式(3)所示。

蒸煮溫度一定時,K0一定,且為正數,式(3)中,等式右邊為一定值,x增加,y不可能減少,如果y減少,則(1-y)增大,同時
也增大,這與兩項乘積為一定值相矛盾。因此,隨著氫氧化鈉的濃度x增大,硝酸酯的分解破壞率y也增大,即廢水中硝酸酯含量隨著pH值增大而減少。
裂解溫度與裂解時間是緊密相關的,公式(4)為裂解反應速率公式。

升高裂解溫度,可以加快硝酸酯分解速率,縮短反應時間,即減小物料在裂解器和保溫罐中的停留時間,從而可以縮小設備體積,縮小工房面積,節省一部分設備投資成本和工房建造成本,但裂解溫度也不是越高就越好,溫度對標準平衡常數的影響,通常用van’tHoff方程表示,如公式(5)所示。


該反應是放熱反應,△Hm0<0,即升高溫度K0變小,平衡向反應物方向移動,硝酸酯分解破壞率反而降低。在pH值、裂解溫度一定的情況下,裂解時間越長,反應進行得越完全,但裂解時間越長,物料在裂解器及保溫罐中停留的時間也越長,裂解器及保溫罐的設備體積也越大,所需設備投資成本和工房建造成本就會相應增加,蒸汽能耗也會增大。
因為在裂解溫度較低時,反應的活化分子百分數較少,反應速率較慢,化學反應遠沒有達到平衡,此時,硝酸酯的分解率較低,且受反應時間的影響較大;當裂解溫度達到100°C時,反應活化分子百分數明顯增加,反應速率加快,根據試驗結果,化學反應基本達到了平衡,再延長反應時間,硝酸酯的分解破壞率提高得并不明顯,此時化學反應受反應時間的影響較小,在圖中表現為較為平緩下降的曲線;當裂解溫度達到105℃時,化學反應受反應時間影響變小,而受K0影響增加,由于升高溫度,K0變小,因此硝酸酯的分解破壞率反而降低,廢水中的硝酸酯含量反而升高,在圖中表現為105°C曲線在100°C上方。
3.3 方法效果比較
“一步蒸煮法”屬于“間斷式”處理方式,廢水蒸煮罐一般至少需要接收2h以上的廢水,體積較大。硝酸酯在堿性溶液中的溶解度比酸性或中性溶液中小很多,而且堿性越強,溶解度越小,若溶液堿性太強,就會有更多的硝酸酯游離出來,同時溶液堿性增強,化學反應速度也加快,大量的廢水在加熱蒸煮過程中,就會發生劇烈的化學分解反應,放出大量的熱量,特別是游離出來的硝酸酯在分解破壞過程中容易出現局部過熱從而引發爆炸。國內曾出現多起硝酸酯廢水在蒸煮過程中因pH值過高而引起的爆炸事故。因此,該方法自身存在的安全隱患使pH值不能進一步增大,在首先保障安全的前提下,“一步蒸煮法”的pH值一般控制在11~12,廢水中硝酸酯含量局限在300mg/L~500mg/L。“連續裂解法”采用蒸汽噴射原理將廢水處理由“一步蒸煮法”的大批量密閉化處理改為了流量控制的分散化處理”,徹底解決了“一步蒸煮法”存在的安全隱患。一方面,“連續裂解法”的常溫中和槽容積只有“一步蒸煮法”的蒸煮罐的1/5~1/10,工房內廢水總量大大減少;另一方面,中和槽只起中和作用,不起蒸煮作用,廢水在中和槽中只發生酸堿中和反應,不發生硝酸酯分解化學反應,產生的熱量較小;硝酸酯分解化學反應是在蒸汽噴射器和裂解器中完成的,裂解過程是流量控制的連續化流動過程,反應放出的熱量在逐級流經裂解器的過程中及時導出周,整個反應過程平穩受控,從而避免了因局部過熱而引發的爆炸事故,實現了硝酸酯廢水的安全無害化處理,徹底解決了硝酸酯廢水排放在地下管網中,因硝酸酯長時間積存帶來的安全隱患。
3.4 建造成本和生產能耗比較
“連續裂解法”由一個常溫中和槽、一個蒸汽噴射器和裂解器組成,工藝設備緊湊,常溫中和槽的容積只有“一步蒸煮法”蒸煮罐容積的1/10,蒸汽噴射器設備體積很小,裂解器一般為直徑在200mm以內的套管式裂解器,因此“連續裂解法”設備體積大大減少,設備安裝時裂解器可以分段安裝在墻壁上,設備占地面積大大減少,經估算,在處理相同產能的廢水時,“連續裂解法”的設備成本只有“一步蒸煮法”的1/5,設備占地面積只有“一步蒸煮法”的1/3,建造成本大大降低!斑B續裂解法”采用蒸汽噴射器對廢水直接加熱,較“一步蒸煮法”采用夾套間接加熱節約蒸汽用量約40%~50%。
3.5 操作強度比較
“一步蒸煮法”屬于間斷式操作方式,處理過程需要在3個蒸煮罐間來回輪流切換操作,而每次接收、中和以及蒸煮操作,都需要對廢水進料量、堿液流量、pH值、蒸汽流量和蒸煮溫度等進行控制、監測和調節,操作強度大。“連續裂解法”只需根據廢水流量,對堿液流量、pH值、蒸汽流量和蒸煮溫度等進行設定,就可連續化自動化生產,操作強度大大減輕。
4、結論
該文介紹了“連續裂解法”硝酸酯廢水處理工藝,確定了最佳工藝條件:pH為13,裂解溫度為100℃,裂解時間為60min,在該工藝條件下,廢水中硝酸酯含量在50mg/L以下,與“一步蒸煮法”相比大幅度降低,徹底解決了硝酸酯廢水排放在地下管網中,因硝酸酯長時間積存帶來的安全隱患,符合安全生產和綠色環保生產要求。工藝設備緊湊、設備占地面積小,蒸汽能耗低,大大節約了建造成本和生產使用成本。操作強度小,F有“一步蒸煮法”生產需要在3個蒸煮罐間來回輪流切換操作,操作強度大,“連續裂解法”實現了連續化自動化生產,降低了操作強度。該廢水處理工藝對其他硝酸酯物質生產線產生的廢水也可處理,只需要改變工藝參數,因此在火化工、醫藥、石化等行業的硝酸酯生產企業具有工業化應用前景。(來源:湖北航鵬化學動力科技有限責任公司,湖北航天化學技術研究所)



