1、概況
某冷軋不銹鋼企業不銹鋼鋼板的混酸酸洗藥劑采用硝酸、氫氟酸,排放的混酸廢水經中和、石灰除氟后,總氮濃度最高可達2000mg/L(硝態氮占比≥98%),屬于超高濃度總氮廢水,考慮采用反硝化工藝進行生物脫氮后達標排放。
該生物脫氮系統設計處理規模為80m3/h,已穩定運行3年,出水水質滿足《鋼鐵工業水污染物排放標準》(GB13456—2012)的表2排放限值。生物脫氮系統設計進、出水水質見表1。

該生物脫氮系統采用新型IBR反硝化工藝,沉淀池前置,工藝流程見圖1。好氧泥水混合液經氣提回流至沉淀池,上清液外排,污泥重力沉降并下滑進入缺氧池,實現污泥回流。該工藝具有如下優點:①污泥回流輸送機械破壞程度小,污泥濃度(MLVSS)可維持在較高水平;②回流比調節靈活,最大可達15;③能耗低,機械設備少,占地面積小。

2、主要工藝單元設計
①事故池1座,容積1200m3,有效水力停留時間(HRT)為13h,配提升泵2臺(1用1備,流量20m3/h)。
②調節池1座,容積1500m3,有效HRT=16.5h,配設雙曲面攪拌機2臺(功率7.5kW),提升泵2臺(1用1備,流量100m3/h),泵后設氣動調節閥,可按需調節進水流量。
③加藥配水池1座,容積18m3,有效HRT=10min,配設立式攪拌機1臺,冷卻塔1座(ΔT=10℃),進水水溫≥30℃時開啟冷卻塔,投加鹽酸調節pH值為3~4,根據進水總氮投加甲醇。
④IBR池1座,容積7000m3,有效HRT=75h,分為A/B兩個系列;各池有效HRT見表2。

沉淀池表面負荷為0.6m3/(m2•h);每格缺氧池配設雙曲面攪拌機1臺(功率7.5kW),共8臺,好氧池設穿孔曝氣管;另配置冷卻塔2座(ΔT=10℃),鼓風機3臺(風量15m3/min,風壓78.4kPa,功率37kW),污泥氣提裝置2套,剩余污泥泵2臺(1用1備,流量20m3/h)。
缺氧池3設甲醇、鹽酸投加點,按需投加。
⑤中間水池1座,容積108m3,有效HRT=1.0h,配備提升泵2臺(1用1備,流量100m3/h)。
⑥過濾器2套,單套處理能力55m3/h,濾速10m/h。采用連續洗砂方式,洗砂回流水送至加藥配水池。
⑦出水監測槽1座,容積10m3。
⑧污泥濃縮池1座,容積300m3,設污泥濃縮機1臺(φ7.0m)。
⑨離心脫水機1臺,濕泥處理量10m3/h,設進泥螺桿泵2臺(1用1備,流量10m3/h),泥斗1套(容積20m3)。
3、運行控制及運行參數
3.1 進水總氮變化規律
雖然設置了調節池、事故池,實際運行中系統進水(即調節池出水)的總氮濃度波動仍然較大,并呈現超高、一般兩種明顯的濃度區間。超高濃度為800~1200mg/L,一般濃度為400~800mg/L。這與生產線廢酸排往廢水站或酸再生站相對應。
3.2 精細化控制
為了精準控制甲醇的投加量,保證出水總氮穩定達標,對調節池出水4h化驗一次(6次/d)。根據化驗數據,嚴格控制進水總氮,調整各項運行參數,具體見表3。

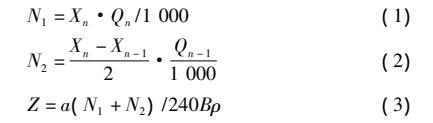
其中甲醇投加量按下式計算:

式中:N1為4h進水總氮量,kg;N2為進水總氮濃度波動補償量,kg;n為4h時間段序列數;X為進水總氮濃度,mg/L;Q為4h進水量,m3;Z為甲醇投加量,L/min;a為甲醇投加系數,一般取2.47kg/kgTN;B為甲醇質量分數,%;ρ為甲醇密度,kg/L。
運行中發現,甲醇投加系數宜取2.5~3.0,高于3.0時出水COD易超標;低于2.5時對出水總氮去除效果暫無影響,但是污泥容易老化,出水氨氮上升;低于2.2時出水各項水質迅速惡化。當缺氧池3總氮超過閾值(12mg/L)時,可按加藥配水池投加甲醇量的5%~20%適量補充甲醇,8h內總氮可迅速降至5mg/L以下。當缺氧池3內pH值≥7.8時,需適量投加鹽酸,防止堿度過高抑制反硝化效果。
3.3 主要指標檢測數據變化
①氧化還原電位(ORP)
本系統在缺氧池1、缺氧池2設置了ORP在線儀,缺氧池1的ORP一般為-420~-150mV,缺氧池2的ORP一般為-200~0mV。ORP能反映反硝化的劇烈程度,在水量一定的情況下,進水總氮濃度越高,缺氧池內ORP越低。但是當進水總氮過高,硝態氮在缺氧池內不能充分降解時,ORP亦會上升,這時并不能說明系統惡化,穩定運行一段時間后數據會自行恢復。
以2019年11月數據為例(見圖2),當月系統進水總氮濃度高,調節池超高液位,根據規定按工況9調整操作;當進水總氮濃度突增時,缺氧池1的ORP明顯上升,缺氧池2的ORP同步下降,反硝化主場所發生了擴大后移。

②溶解氧(DO)
本系統中所謂的缺氧池,并不是嚴格意義的“缺氧”,所有缺氧池的DO普遍在2~3mg/L,隨流程略有降低。好氧末端溶解氧一般為3~5mg/L,氣提回流比越大缺氧池溶解氧越高,偶爾高至4~5mg/L時反硝化也不受影響,但是這種情況持續時間短,因為風機的充氧能力有限,大比例回流時好氧末端溶解氧也會迅速下降。
分析主要原因可能是:a.硝態氮濃度高,傳質推動力大,反硝化菌更多優先利用硝態氮中的氧進行呼吸;b.雖然液相中DO>0.5mg/L,但是氧傳質受阻,污泥絮體內部DO很低,不足以抑制反硝化的進行。
③水溫
高濃度總氮廢水反硝化反應會釋放大量的熱,使得廢水溫度明顯上升。反硝化反應熱效應為35625kJ/kgNO-3(以N計),本系統按設計水量80m3/h、平均進水總氮700mg/L、出水總氮5mg/L計算,僅反硝化反應放熱,就可以貢獻550kW,使整個生化池水溫上升5.9℃;這也與系統未開冷卻塔時實測溫升5~8℃基本一致(見圖3)。

夏季來水水溫高達30~35℃,加上環境溫度高、散熱差,生化池內水溫很容易超過40℃,抑制微生物的生長,因此設置冷卻塔十分必要。需要特別指出的是,常有人認為風機熱風是導致水溫上升的主要原因,實際情況是本系統風機的運行功率僅74kW,對溫升的貢獻率低于10%。
④污泥濃度及污泥負荷
經石灰除氟后,廢水未經去除硬度便送至生物脫氮系統。經測量,廢水的鈣硬度基本與總氮濃度呈線性正相關,比例約(1~1.3)∶1,這使得反硝化產生的堿度(總氮濃度的3.57倍)過剩,幾乎全部的鈣硬度將轉化為碳酸鈣留存在生物脫氮系統;污泥中存在大量惰性物質,MLVSS/MLSS僅為0.25~0.35;但是由于沉淀池污泥下滑快無堆積、鈣泥的助沉,以及氣提對回流污泥絮體破壞小,生化池MLSS一般可高達40000mg/L,MLVSS一般在10000mg/L以上。
2020年1月—3月缺氧池污泥濃度及總氮負荷變化見圖4。

從圖4可以看出,該生物脫氮系統整個缺氧段的污泥負荷多為10~30mgTN/(gMLVSS•d),得益于IBR工藝MLVSS高的特點,其污泥總氮負荷并不比一般反硝化工藝高。根據各級缺氧池出水化驗數據,缺氧池1是主要的反硝化場所,總氮去除率一般在80%以上。
3.4 系統出水總氮變化
系統出水總氮變化見圖5。

當出水總氮≤5mg/L,在數據記錄時皆以5mg/L計,因此實際總氮去除率部分高于圖5中所列數據。總體來說,該生物脫氮系統自投運以來,出水水質穩定,總氮去除率一般在99.0%以上。截至2020年5月20日,出水水質化驗次數總計約4700次,其中總氮≤5mg/L達2400余次,占51.1%;總氮為5.1~12mg/L共計2200余次,占46.8%。而近半年總氮≤12mg/L的次數占同時段總化驗次數的99.5%。
系統設有超標回流機制,能確保全廠總排口總氮≤15mg/L達標排放。
4、工藝不足及應對措施
4.1 進水鈣硬度高,極易結垢
受前段除氟工藝的影響,系統進水鈣硬度高而極易結垢,生物脫氮系統同時也成為除硬系統,如此極易出現如下問題:①水下設備、管道結垢嚴重,停止曝氣2h穿孔曝氣管就可能堵塞;②生化池角落易積泥并固化,減少了有效池容;③后續過濾器的濾砂結垢,嚴重時呈黃豆大小,過濾效果直線下降;④池內儀表探頭結垢嚴重,測量數據出現偏差。
應對措施:①加大鹽酸投加量,增設鹽酸投加點,控制池內pH值≤7.8;②排泥管、曝氣管接入壓縮空氣,定期沖掃;③定期利用移動式潛污泵,對生化池角落的積泥進行清理。
優化建議:可考慮在生化系統前增設除硬設施,并將IBR出水回流至除硬設施,充分利用反硝化堿度,少加甚至不加碳酸鈉等除硬藥劑。
不過由于碳酸鈣的存在,增加了污泥密度,使得IBR沉淀池的沉降效果較好,省去了原設計在回流污泥中投加的PAM;若減少生化系統內的碳酸鈣,是否會影響其維持目前的高污泥濃度,仍待研究。
4.2 氣提氣量不足,混合液回流量不能進一步提高
提高混合液回流量,可以提高缺氧池的污泥濃度,使得系統更耐負荷沖擊,總氮去除效果更好更穩定,因此調節氣提回流比是一項重要的操作。
目前氣提回流裝置與好氧池曝氣系統共用同一氣源。在氣提進氣口與好氧池曝氣器水深相同的情況下,氣提的供氣手閥開度從45°調至90°,其氣量幾乎不變,混合液回流量最大維持在約150m3/h。
應對措施:①減少進水量,提高回流比是首選;②開啟備用風機,增加供風量(但會增加電耗和甲醇耗量)。
優化建議:氣提回流裝置采用獨立氣源,并能夠任意調節氣量(采用變頻低壓風機或壓縮空氣減壓后供氣)。
4.3 沉淀池出現短流、翻泥
由于IBR的沉淀池前置,當出現如下情況時:①瞬時進水水量過大;②氣提回流量偏小(調小或臨時關閉氣提供氣);③缺氧池1至缺氧池2的底部管道結垢堵塞等,有可能導致沉淀池液位低于缺氧池1而出現短流,甚至大量翻泥。
由于正常運行時,IBR沉淀池液面僅比缺氧池1高出約0.1m,設置液位監控等措施難以起效,因此只有加強管理和巡檢,才能避免人為誤操作,及時發現短流、翻泥情況的發生。
5、結論
①IBR反硝化工藝具有沉淀池前置、高比例污泥回流等工藝特征,MLVSS維持在10000mg/L以上,缺氧段的污泥負荷為10~30mgTN/(gMLVSS•d),能將廢水總氮(硝態氮占比≥98%)從400~1200mg/L降至15mg/L以下,一步實現達標排放,總氮去除率≥99.0%。
②處理超高濃度總氮廢水時,諸如甲醇投加方式,系統ORP、DO等情況,與處理低濃度總氮廢水時有明顯差異;由于系統進水總氮濃度波動大,需要實時監控進水總氮量,并對應調整甲醇的投加量,投加系數宜取2.5~3.0kg甲醇/kgTN;運行發現缺氧池ORP可低至-420mV,且DO為2~3mg/L,但并不影響反硝化的正常進行。
③在超高濃度總氮廢水工藝設計時,還應考慮生化放熱對系統的影響;反硝化反應放熱會引起生化系統水溫上升5~8℃,夏季需考慮冷卻措施。
④該工藝仍存在結垢、短流、翻泥等不足,可通過強化運行管理進行彌補,確保達標排放。(來源:上海東振環保工程技術有限公司)



