食品、發酵、化工、煉焦、醫藥、農藥、造紙、制革等行業排出的有機物,不僅數量多、廢水量大,而且濃度高,有些還含有有害、有毒物質,對環境造成很大危害。此外,這類高濃度有機廢水的處理工藝復雜、投資成本高,采用常規的廢水處理方法難以達到凈化的目的或無法滿足凈化處理的技術和經濟要求。如何經濟有效地凈化處理這類高濃度有機廢水及工業廢水成為了現階段國內外環境保護技術領域亟待解決的難題。木糖生產廢水屬于高濃度有機廢水,廢水中含有木質素、纖維素、半纖維素等難降解的有機物。
內循環(InternalCirculation,IC)厭氧反應器于20世紀80年代中期由荷蘭PAQUES公司開發成功,并推入國際廢水處理工程市場,可用于處理土豆加工、啤酒、食品、檸檬酸等工業廢水。反應器高度約為16~25m,容積負荷為普通升流式厭氧污泥床(UASB)的4倍左右,占地少,是一種值得推廣的新型反應器。本實驗在內循環厭氧反應器的基礎上,輔助以外循環對高濃度木糖醇生產廢水進行了中試實驗。輔助外循環可以提高反應器抗沖擊負荷的能力,同時也可以適當改變外循環的回流比。
1、實驗
1.1 水力模型
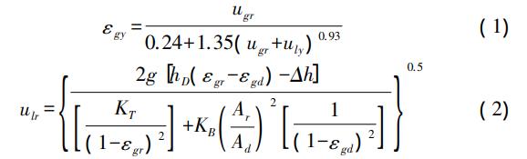
IC反應器最典型的特性是廢水和污泥在沼氣提升管和泥水下降管中循環,可視為一種特殊的氣體式反應器。1976年由Hills對氣升式反應器(上升管直徑0.15m,高10.5m)的研究中得到。上升管中的氣持率(εgr)可通過上升管氣體表面上升流速(ugr)和液體表面上升流速(ulr)間的經驗表達式估算,見式(1)和式(2):

式中:εgr為上升管中的氣持率;ugr為上升管中氣體表面上升流速,m/s;ulr為液體表面上升流速,m/s。
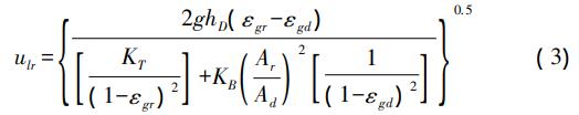
Pereboom于1994年根據能量守恒得出的液體表面上升流速(ulr)見式(2),Pereboom結合氣持率(εgr)及系統設計參數等實際情況對ulr進行了修訂,見式(3):

式中:hD為氣液擴散高度,m;Δh為提升管與下降管間的液位差,m;KB/T為底部和頂部阻力系數;Ar/d為提升管與下降管間的橫截面積;εgd為回流管中的持氣率,%。
IC反應器的水力模型是在不考慮循環過程中的壁面磨損,只考慮廢水從沼氣提升管向回流管和從回流管向沼氣提升管流動處的局部損失的基礎上建立起來的,因此,此水力模型還需要進一步深入研究。
1.2 實驗裝置
實驗用O&IC反應器為自行設計制造,O&IC反應器的基本構造如圖1所示:反應器高2000cm,直徑50cm,有效容積為360L,高徑比一般為4~8,反應器主要由6個部分組成:混合區、第1反應室、第2反應室、出水區、內循環系統和外循環系統。其中內循環系統是O&IC反應器的核心部分,由三相分離器、沼氣提升管、氣液分離器和回流管組成。用WMZK-01溫控儀和熱源構成自動溫控系統,將原水箱和循環水箱的溫度控制在(35±1)℃。

廢水首先經提升通過布水系統進入IC反應器底部的混合區,并與來自泥水下降管的內循環泥水混合液充分混合后進人顆粒污泥床進行COD的生化降解,此處的COD容積負荷很高,大部分進水COD在此處被降解,產生大量沼氣由一級三相分離器收集。由于沼氣產生氣提作用,使得沼氣、污泥和水的混合物沿沼氣提升管上升至反應器頂部的氣液分離器,沼氣在該處與泥水分離并被導出處理系統。泥水混合物則沿泥水下降管進人反應器底部的混合區,并與進水充分混合后進入污泥膨脹床區,形成內循環。使有機物與顆粒污泥的傳質過程加強,反應器的處理能力得到提高。另外,實驗中輔助以外循環,可以提高反應器抗沖擊負荷的能力。
1.3 實驗樣品
實驗樣品取某木糖醇廠生產廢水污水處理站預處理段后廢水,原木糖醇廠生產廢水,預處理后所用工藝為UASB,進水水質如表1所示。UASB出現跑泥等問題,出水COD為1700mg/L,對后繼處理單元SBR帶來沖擊負荷,使好氧處理單元的處理影響很大,以致出水不能達標排放。針對此問題就厭氧段工藝進行了IC厭氧反應器的中試實驗。

接種污泥采用某檸檬酸有限公司IC反應器中的顆粒污泥,污泥的TSS為70g/L。用1m3水樣連續并部分循環(72h)進行漂洗和活化。
1.4 常規分析方法
采用多功能測試儀測定試樣的pH,采用微波密封消解COD速測儀測定廢水的COD。
2、結果與討論
2.1 實驗結果
在O&IC反應器中加入顆粒污泥后,開始進水,并以0.5℃/h速率逐漸加熱原水到37±1℃,初始原水流量為50L/h,對加入的顆粒污泥進行馴化,經過24h的連續進水反應,有氣體產生,然后用循環水箱的水進行循環進水,并慢慢減少再增大原水流量,穩定后調節原水流量為50L/h,回流水量為100L/h,經過一周的反應器發應及污泥的培養馴化,反應器基本趨于穩定,每隔2~4h取樣一次,14h后,我們調節原水流量為40L/h,回流水量為120L/h,并測其COD和pH變化,如表2所示。

2.2 討論由表2可以看出,IC厭氧反應器運行穩定后,調節原水與回流水的比為1∶2到1∶3,污水經IC反應器的COD去除率基本保持在78.6%~83.6%之間,pH也基本在7.65~8.16之間,個別數據的起伏與進水量控制、溫度調節等影響因素有關,同時增加回流比提高了上升流速和設備的抗沖擊能力,整體表現了很好的穩定性和去除效果。IC反應器的主要特點就是流體在沼氣提升管和回流管之間形成一個內循環的水流,回流的稀釋作用同時增加外循環比UASB厭氧反應器具有更好的處理高濃度和難降解的有機廢水。
3、結論
IC反應器是一種高技術的新型超高效厭氧反應器,其主要特點是:有機負荷高,水力停留時間短,高徑比大,占地面積小,基建投資省等。O&IC反應器作為IC的一種改進,繼承了IC反應器的優點,同時增加輔助外循環,加大了反應器的內部循環,提高了反應器的耐沖擊負荷及運行穩定性,本次中試實驗研究為木糖醇處理提供理論依據。
與UASB出現的跑泥現象,O&IC反應器兩級三相分離器的特殊結構保證了在較高上升流速條件下對污泥截留。O&IC的穩定處理保證了下一級處理單元的處理的穩定性。
CODCr/SO2-4遠大于2,<2000mg/L,<4500mg/L,無抑制作用。
O&IC反應器在處理木糖醇廢水的實驗中,去除率達到80%以上,是有效的處理工藝單元。隨著O&IC研究的不斷深入,在高濃度有機廢水處理中具有廣闊的應用前景,值得推廣與應用。(來源:中聯西北工程設計研究院有限公司,西北工業大學)



