由于工業的迅速發展,工業廢水造成的環境污染問題越來越受關注。在過去的幾十年里,研究者們致力于開發能高效去除工業廢水中難降解有機污染物的技術,其中高級氧化技術(AOPs)是最具發展潛力的一類。高級氧化技術是以產生具有強氧化能力的羥基自由基(·OH)為特點,在高溫高壓、電、聲、光輻照、催化劑等反應條件下,使大分子難降解有機物氧化成低毒或無毒的小分子物質的技術。常見的高級氧化技術包括H2O2/UVC、臭氧氧化技術(O3、O3/UVC、O3/H2O2及O3/H2O2/UVC)、二氧化鈦光催化技術、Fenton及光Fenton技術等。
近年來,電化學高級氧化技術(EAOPs)取得到迅速的發展,已成為高級氧化技術中最具有應用前景的技術之一。電化學高級氧化技術是一種通過陽極氧化水生成羥基自由基以及直接電子轉移而去除廢水中污染物的技術,包括了最早的陽極氧化技術(AO)、電Fenton技術(EF),以及最近研究較熱的光電Fenton(PEF)和太陽光電Fenton(SPEF)技術,此外還有過氧化物絮凝、電化學過氧化和超聲波電Fenton等技術,均已廣泛應用于各種有機污染廢水的處理。由于電化學高級氧化技術的建設成本和運營成本較高,一些研究者還提出了包含生物處理、化學混凝、電絮凝以及膜處理在內的綜合處理工藝,以優化廢水處理。
然而,已有的電化學高級氧化技術在工程實踐應用時仍存在諸多問題,廢水的性質以及各項技術參數都會對處理效果產生很大影響。因此,介紹目前研究較熱的幾種電化學高級氧化技術的基本原理,綜述實驗研究和工程實踐中對處理效果產生重要影響的因素,將有助于提高電化學高級氧化技術處理實際廢水的效率,也為后續研發更高效的電化學高級氧化技術提供思路。
1、電化學高級氧化技術的基本原理
1.1 陽極氧化技術(AO)
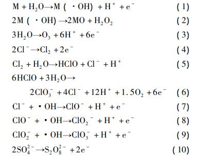
陽極氧化技術是指有機污染物在陽極表面通過電子轉移直接被氧化或被陽極表面產生的·OH、H2O2、O3、活性氯物種和過硫酸鹽等氧化而降解,涉及的反應如下所示。

陽極氧化技術中為了獲得較高的H2O2生成效率,陰極通常采用碳材料的電極,如碳-聚四氟乙烯氣體擴散電極、碳或石墨氈、碳海綿、活性炭纖維、碳納米管、網狀玻璃碳及摻硼金剛石(BDD)等都是研究和工程實踐中常用的電極。
1.2 電Fenton技術(EF)
通過電化學生成的H2O2與加入的Fe2+在體系中發生Fenton反應并產生大量的·OH,這就是目前廣泛研究的電Fenton技術,其中的化學反應如下所示。

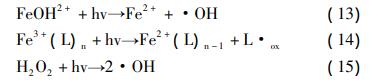
1.3 光電Fenton技術(PEF)和太陽光電Fenton技術(SPEF)
Brillas的團隊在電Fenton的基礎上增加紫外輻射和太陽輻射,發現能顯著促進體系中羥基自由基的生成,同時紫外光或太陽輻射可以一定程度地促進有機污染物的降解,因而提出了光電Fenton和太陽光電Fenton技術,其中涉及的反應方程式如下所示。

2、電化學高級氧化技術的影響因素
2.1 有機污染物的初始濃度
研究發現,幾乎對于所有的電化學高級氧化技術,有機污染物的初始濃度越高,達到給定的降解程度所需的時間越長,因此污染物的去除效率越低。根據污染物的去除與礦化反應符合準一級動力學,理論上反應速率與反應物的濃度無關。然而,實驗研究發現,增加反應物的濃度會降低準一級反應動力學的速率常數。其中可能的原因是,一方面當有機污染物的初始濃度較高時,速率的決定步驟將由電極上的擴散過程轉變為電荷轉移過程,反應的動力學也相應地從準一級動力學轉變為零級動力學,因此得到的準一級反應的表觀速率常數會降低。另一方面,當有機污染物的初始濃度較高時,由于H2O2和Fe2+的擴散或傳質速率較低,會導致Fe3+和有機物形成配合物,因而減少了體系中·OH的生成,降低了反應速率。此外,之前的研究者所提出的反應動力學模型并沒有綜合考慮溶液中每一種化合物發生的所有化學、光催化及電化學反應,因此難以精確地描述體系中有機污染物的降解規律。
2.2 反應體系的pH值
反應體系的pH值是電化學高級氧化處理中重要的影響因素之一。對于陽極氧化和過氧化氫陽極氧化體系而言,更多的研究指出反應體系最佳的pH值為3.0左右,這是由于酸性條件更有利于強氧化性的·OH和活性氯物種的生成。然而也有一些研究表明,在一定的pH范圍內,如2.0~6.0和4.0~10,有機污染物的礦化率與pH變化無關,甚至pH=7.4時有機污染物的礦化率高于pH=3時的礦化率。
而對于電Fenton和光電Fenton體系,幾乎所有的研究都表明pH為3左右時有機污染物的礦化效率最高。其中的原因可以歸結為pH在3左右時,體系中存在更多的光活性Fe(III)-羥基配合物,同時酸性條件可減少含鐵化合物沉淀的形成,也減少了能淬滅·OH的碳酸鹽和碳酸氫鹽的量,此外還避免了H2O2的自我分解。但是,也有少量的研究報道了pH值在2.0~4.0之間具有最大或相似的有機污染物礦化率。
為了盡量減少電化學高級氧化體系中酸化及后續廢水排放時的中和反應的需求,通常在反應體系中會加入一些羧酸如乙酸、草酸、檸檬酸、酒石酸和蘋果酸等作為輔助。同時,研究也發現,在光電Fenton體系中加入羧酸可以提高廢水的處理效率。
2.3 反應溫度
盡管溫度增加可以加快電極的傳質速率,并且很多化學反應的動力學都會受到反應溫度的影響,但是Boye等和Tsantaki等的研究指出陽極氧化體系中有機污染物的降解效率與溫度的變化無顯著關聯。但是,對于基于Fenton反應的電化學高級氧化技術,溫度增加可導致生成H2O2和Fe3+再生成Fe2+的反應速率加快,因而可以顯著提高有機污染物的降解速率。
但是,考慮到較高溫度下體系中的溶解氧濃度會降低,H2O2的形成速率也會下降,而且溫度高于50℃時H2O2易分解。因此,在實際應用中,電生成H2O2的過程通?刂圃20~30℃下進行。
2.4 電解質的種類與濃度
電化學高級氧化處理的體系中需要加入適當的電解質以增強導電性。常用的電解質有硫酸鈉、氯化鈉、氯化鉀、高氯酸鈉、硝酸鈉及碳酸鈉等。已有的研究表明電解質的加入會對電化學高級氧化的反應動力學產生顯著的影響。在處理實際廢水時加入電解質不僅可以增強電流,有時還能形成強氧化劑(如活性氯物質),提高處理效果。
對于陽極氧化的反應體系,加入氯化鈉作為電解質時有機污染物的去除效果和礦化率高于加入硫酸鈉作為電解質時,其中原因可能是氯離子在陽極形成強氧化性的活性氯物種,加速了有機物的降解,而同時氯離子對·OH的淬滅作用要弱于硫酸根離子對·OH的淬滅作用。
在電Fenton和光電Fenton體系中,大多數研究表明以氯化鈉作為電解質時有機污染物的處理效率明顯高于硫酸鈉,原因主要是形成具有強氧化性的活性氯物種,氯離子和Fe2+/Fe3+形成的配合物的量遠少于硫酸根離子與Fe2+/Fe3+形成的配合物的量。然而也有部分研究提出了相反的結論,即采用硫酸鈉作為電解質時處理效果更好。但是,單就有機污染物的礦化效率而言,所有研究得出的結論都是一致的,即采用硫酸鈉作為電解質比氯化鈉更好,原因是氯離子與有機污染物形成難降解的衍生物,使得有機物礦化率降低。此外,Daneshvar等提出以NaClO4作為電解質優于NaCl,因為ClO-4不與Fe2+/Fe3+形成配合物,并且不會與·OH發生淬滅反應。然而ClO-4具有毒性,會對環境和生物體造成損害,在實際應用中需要考慮這一點。Fan等采用電Fenton對模擬印染廢水進行脫色的研究中發現,不同電解質對染料脫色效率的影響存在以下的影響順序:Na2SO4>NaNO3>Na2CO3,原因可能是碳酸根離子對·OH的淬滅作用強于其它兩者。Thiam等采用太陽光電Fenton體系研究Na2SO4、NaClO4、NaCl和Na2CO3等電解質對模擬印染廢水脫色效率的影響,指出當有太陽輻射存在時,電解質的種類對有機污染物降解效率的影響很小。當電化學高級氧化技術應用于真實廢水時與模擬廢水的處理效果有所區別。Moreira等采用太陽光電Fenton技術對城市污水廠二級出水中的甲氧芐氨嘧啶進行降解研究,發現真實廢水成分更復雜,處理效果較差。
此外,電解質的濃度對體系的處理效果也產生一定的影響。大多數的研究中采用的硫酸鈉濃度為7.0mg/L。Thiam等通過在紫外光電Fenton體系研究了硫酸鈉的濃度對誘惑紅AC染料的去除效率的影響,發現硫酸鈉的濃度高于14mg/L時,廢水的脫色效果較差。但是,其他研究者卻提出陽極氧化體系中硫酸鈉的最佳濃度為70mg/L。因此,對于不同的電化學高級氧化體系和有機污染物種類,最佳電解質的種類和濃度也不一樣。
2.5 電流密度
通常,電化學高級氧化體系是以恒電流模式操作的,因此電流密度j(A/m2)是電化學高級氧化技術的關鍵參數,因為其決定了強氧化性物質的產生量。一般來說,幾乎對于所有的電化學高級氧化體系,有機污染物降解速率隨著電流密度的增加而增加,因為電流密度高,在給定時間內能形成更多的強氧化性物質。但是電流密度的上升也伴隨著較低的電流效率和較高的能量消耗,因此需要綜合污染物的降解和電流效率來選擇最佳的電流密度。
2.6 其它因素
氧氣或空氣的量對于基于產生H2O2的電化學高級氧化技術則是影響處理效果的重要因素之一。反應體系中需要在電極上連續通入氧氣或空氣,在研究和工程實踐中,通常是在電解廢水之前先通入高流量的氧氣或空氣,使其在水中飽和,以保證最大化地電化學生成H2O2。
在電Fenton和光電Fenton體系中,初始Fe2+和Fe3+的濃度決定了Fenton反應進行的程度。理論上,初始Fe2+和Fe3+的濃度越高,體系的處理效率也會越高。然而過高的Fe2+和Fe3+的濃度會導致光反應器內部的過濾效應和光衰減,另外還要盡量避免排放較多的鐵到環境中去。
此外,在罐式反應器中進行的降解反應需要適當攪拌,在流通池中進行的反應需要及時調整流速,以使溶液快速均質化,避免固體沉積并確保體系內的傳質,提高電化學高級氧化技術的處理效果。
3、結束語
電化學高級氧化技術能高效降解工業廢水中的難降解有機污染物,并已在實際工程中有較廣泛的應用,是目前最具發展與應用前景的高級氧化技術。然而,在實際應用中,如何確保在反應器中連續生成高濃度的H2O2還有待研究,電解質的種類和濃度對廢水處理效果的影響仍需系統深入地研究,此外,在基于Fenton的電化學高級氧化體系中,低的pH值和加入催化劑有利于提高處理效果,但是處理后廢水的排放問題也需要解決。只有將所有可能會影響處理效果的因素研究透徹,才能將電化學高級氧化技術更好地應用于實際廢水的處理工程實踐中。(來源:南京林業大學 土木工程學院)


