苯胺作為一種有機污染物,是對人體健康具有“致癌、致畸、致突變”的三致物質。苯胺在環境中具有長期的殘留性,對地下水與地表水造成污染,被美國EPA列為優先控制的129種污染物之一,也被列入“中國環境優先控制污染物黑名單”中。目前,國內每年生產苯胺80000t以上,其下游產品有150余種,全世界每年排入環境中的苯胺約為30000t。隨著化學工業的發展,苯胺的使用需求及使用量越來越多,進入環境的苯胺也會越來越多,對環境造成的危害也會越來越大,因此開展對苯胺廢水的研究更具有直接現實意義。
苯胺是一種典型的難降解有機物,傳統的處理方法比較困難,效率低,處理時間長。電催化氧化法是通過陽極反應直接降解有機物,或者通過陽極產生羥基自由基(•HO)、O3等一類的強氧化劑降解有機物,這種降解途徑使有機物最終分解CO2和H2O,不易產生有毒中間產物,更符合環境保護的要求。它具有處理時間短設備簡單、操作費用低、易自動控制等優點。
因此本文主要研究電催化氧化處理苯胺廢水,所用的裝置為自行設計,電極為自購,以鈦板為陰極,分別以表面鍍釕銥的實狀和網狀鈦板為陽極,來探究電催化氧化處理實際工業苯胺廢水的效率并研究其最佳處理條件。
1、實驗
1.1 實驗裝置與材料

實驗裝置三維(3D)圖,如圖1(a)、(b)所示,是自行設計與組裝,參數如下:電解槽為有機玻璃粘制而成,規格:長18.5cm、寬15cm、高18.5cm,總理論體積為5L,底部均勻分布六個曝氣頭。自制電極:陰極為鈦板陽極為鈦板表面鍍上釕銥(陰極陽極兩套分別為實板和網狀板,規格為15cm×15cm)。
1.2 水樣來源與水質
實驗廢水來自浙江省嘉興工業園區某印染廠排放的污水,主要參數如下:
化學需氧量(COD)的值為2000~2400mg/L,pH值為4~6,苯胺的濃度為65~75mg/L,色度為100~150倍。
1.3 實驗方法
取適量廢水于安裝好陰陽極的電解槽中,保持曝氣,待其均勻混合,再開啟直流電源,在設定的時間點進行取樣測試苯酚濃度和COD大小。
1.4 分析方法
廢水的COD利用COD快速測定儀測定(哈希),pH值采用pH計測定(pHS-2F),苯胺濃度采用國標法。
2、結果與討論
2.1 單因素的確定
通過單因素實驗,分別考察電極板的形狀、pH值、電解質NaCl、電流密度,對處理效果的影響。
2.1.1 電極板結構對處理效果影響
首先考察電極板的結構對處理效果的影響,分別用實狀電極和網狀電極處理實際苯胺廢水,苯胺的濃度為70mg/L,pH為5.41,電流密度為25mA/cm2,電解質(NaCl)的濃度為4g/L,處理結果見圖2

通過觀察圖2可知在處理前30min內,無論是從苯胺還是從COD去除效果網狀電極都明顯優于實板電極。對于苯胺的處理效果60min后去除率均接近100%,但對于網狀電極所需的時間少,節約成本。與苯胺的去除率相比,COD的去除效果更為明顯。從0~60min網狀電極對COD的去除率都明顯優于實狀電極,60min后網狀電極對COD的去除率達到60%,而實板電極對COD的去除率為42%。
電極的結構不同,苯胺和COD去除效果存在一定的差異,實驗表明網狀電極的處理效果更具優勢。網狀電極在降解苯胺廢水的效率上表現更好,可能原因是其和尖端效應(電場分布均勻,不規則的尖端處場強最大,由于冷核聚變產生真空能)有關。因此后面的實驗將以網狀電極為主。
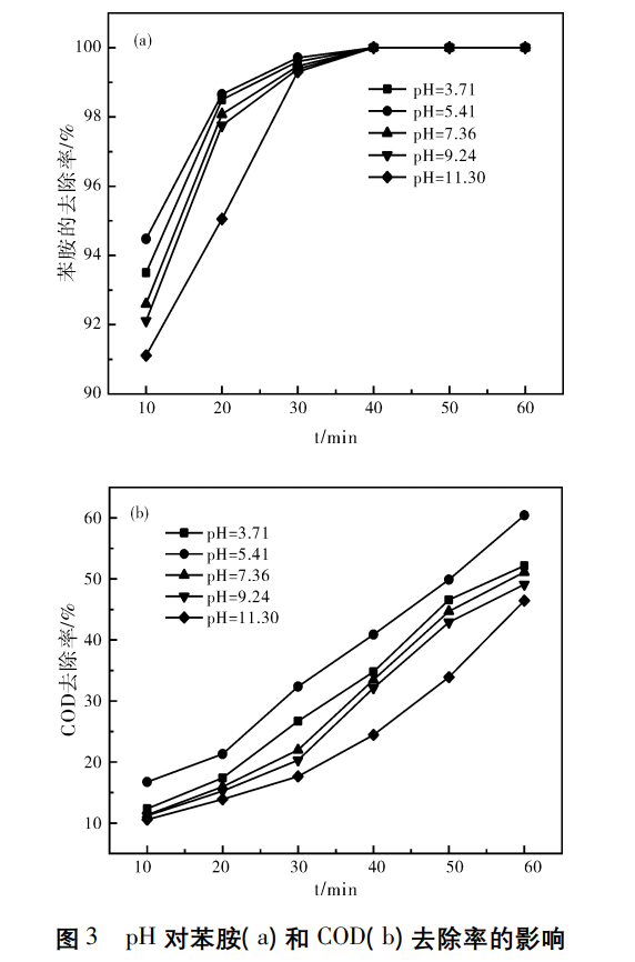
2.1.2 pH對處理效果的影響
在處理實際苯胺廢水中,苯胺的濃度為70mg/L,電流密度為25mA/cm2,電解質(NaCl)的濃度為4g/L,分別在不同pH的條件下,來探究pH對苯胺和COD的去除率的影響。

通過圖3(a)可知:在pH3.71~11.30的測量中發現,電催化氧化20min,苯胺去除率均可達到95%以上,其中pH在5.41左右最高,達到99%。這可能與ClO-在不同pH存在的形態有關。在40min后,通過測量發現苯胺的去除率均可達到99%以上,表明ClO-在pH=5.41左右對苯胺的去除效果最佳。從圖3(b)可以發現:溶液COD的值測量發現,pH對COD的去除率也有一定的影響,在各個條件下處理60min后,pH=5.41時COD的去除率最高達到60%。
上述數據表明在以陰極為鈦板陽極為鈦板表面鍍上釕銥在酸性的條件下處理實際苯胺廢水的效果更好,且在pH=5.41左右處理對苯胺及COD的去除率效果最佳。
2.1.3 電解質NaCl濃度對處理效果的影響
實驗的反應條件:苯胺的初始濃度為70mg/L,pH=5.41,電流密度為25mA/cm2分別投加不同電解質濃度,來探究電解質濃度對苯胺和COD去除率的影響。其結果如圖4所示

通過圖4(a)我們可以發現前20min溶液苯胺的濃度差別很大,20~50min差別越來越小,到50min后苯胺的去除率均接近100%,原因是開始一段時間內活性氯產生量少,隨著反應進行,溶液中活性氯的量逐漸增加,低濃度的氯化鈉溶液中也能夠產生足夠量的活性氯和苯胺迅速發生反應,最終的去除率均可接近100%。由圖4(b)可知隨著NaCl濃度的升高,氯離子濃度增加,COD的去除率也在提高,因為去除是活性氯和電極對苯胺及其降解中間產物協同作用的結果,氯離子濃度大有利于活性氯的產生,協同作用加強。
上述數據表明在以陰極為鈦板陽極為鈦板表面鍍上釕銥處理實際苯胺廢水投加適量的NaCl電解質進行電催化氧化是有利的。
2.1.4 電流密度對處理效果的影響
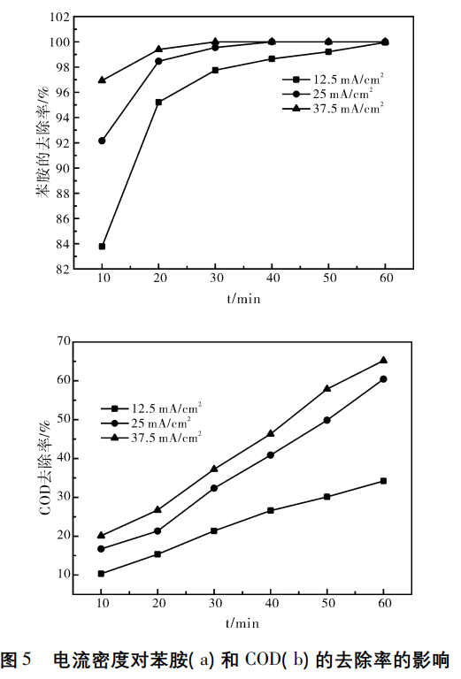
實驗的反應條件:苯胺的初始濃度為70mg/L,pH=5.41,電解質(NaCl)的濃度為4g/L,分別改變不同的電流密度,來探究電流密度對苯胺和COD去除率的影響。其結果如圖5所示。

電流密度為單位面積的電量,電流密度增加也就是單位面積電量的增加,有利于溶液中活性氯的產生,增加了活性氯與電極的協同作用。通過圖5(a)可知在反應的前30min內,電流密度對苯胺的去除率影響較大,顯示為電流密度越大去除效果越好。30min后,苯胺的量變的很少,電流密度的增加對去除效果的影響不大,且60min后的去除率均接近100%。
由圖5(b)可知隨著電流密度的增加,COD的去除率也隨之升高,但電流效率降低,電流密度為25mA/cm2,電解60min后,實際苯胺廢水COD的濃度從2300mg/L降至910mg/L,COD的去除率為60.43%,電流效率為85.9%。當電流密度增加到37.5mA/cm2,實際苯胺廢水COD的濃度從2300mg/L降至800mg/L,COD的去除率為60.43%,但電流效率下降為44.3%。
所以從圖5可知當電流密度為25mA/cm2時,已達到較高的苯胺和COD的去除率,繼續增加電流COD的去除率增加放緩,電流效率越來越低,增大能耗。
2.2 正交實驗的結果
結合工藝成本及各單因素實驗結果,確定3個水平,采用L9(34)正交實驗表安排實驗,結果如表1、表2所示。


通過正交實驗結果可知,各因素對苯胺的去除率影響順序依次為:pH值>處理時間>電解質NaCl的投加量>電流密度。
綜合上述單因素及節約成本綜合結果分析:電化學處理苯胺廢水的最優條件pH值為5.41,處理時間為60min,電解質NaCl的投加量為4g/L,電流密度為25mA/cm2。在最優條件下重復實驗三次,實驗結果穩定,實驗結果的平均值見表3。

3、結論
(1)電極的結構不同,對苯胺和COD去除效果存在一定的差異,網狀電極的處理效果更具優勢,對于苯胺的去除網狀電極只需30min就可達到實狀電極60min的處理效果,對于COD的去除,60min后網狀電極對COD的去除率達到60.4%,而實板電極對COD的去除率僅為42%。
(2)以陽極為鈦板表面鍍上釕銥陰極為鈦板電催化氧化處理實際苯胺廢水中,通過正交研究了pH值、電流密度、處理時間、電解質NaCl的投加量對苯胺去除率的影響,得出在處理實際苯胺廢水中,各因素對苯胺去除率影響大小的順序為:pH值>處理時間>電解質NaCl的投加量>電流密度。
(3)通過單因素實驗、正交實驗并結合實際成本,得出處理實際苯胺廢水的最佳工藝為pH值為5.41,處理時間為40min,電解質NaCl的投加量為4g/L,電流密度為25mA/cm2,對苯胺的去除率達到99%,對COD的去除率達到60.4%。(來源:東莞市莞博生態環境科技有限公司, 東華大學環境工程學院)


