紡織印染行業是重污染、高耗能的行業,據統計,每加工1t紡織品耗水100~200t,其中80%~90%成為廢水,印染廢水占全國工業廢水總排放量的11%左右。硫化黑是含硫較多的高分子硫化染料,廣泛應用于棉紡織品的染色。硫化染料的年產量在8萬t左右,其中75%~80%是硫化黑染料。硫化染料是我國產量最大的染料品種,主要用于纖維素纖維的染色,特別是棉紡織物深色產品,其中以黑、藍兩種顏色應用最廣。硫化黑(sulphurblack)又稱硫化青,由2,4-二硝基苯酚和多硫化鈉在水溶液中煮沸而成,是含硫較多的高分子化合物,其結構中含有大量二硫鍵及多硫鍵,常用于棉紡織品的染色。硫化黑微溶于水,染色時需將其溶于硫化鈉溶液中成為黑綠色的隱色體。硫化黑的主要分子結構式尚未確定,一些學者認為當硫化溫度高于110℃時,所生成的染料含有下列結構:

硫化黑染色上染率只有30%,其余染料均殘留在水體中,形成的廢水化學需氧量(COD)高、污染物濃度高,易造成水體污染;其結構中含有大量二硫鍵及多硫鍵,在一定溫度、濕度、反應條件下能氧化為硫的氧化物。大部分廢水處理廠處理該類廢水時,通常采用活性污泥來降低廢水中的污染物濃度,活性污泥每隔一段時間進行更換后干燥,用于焚燒發電。由于活性污泥中沉積有大量硫化黑染料,在焚燒過程中會產生大量的SO2氣體并釋放到空氣中,造成空氣污染,同時也會造成酸雨問題。目前,印染廢水的處理方法主要有物理法、化學法、生物化學法等。在化學法中,Fenton法是較成熟的方法,許多化學方法都是在Fenton法的基礎上加上聲、光、電等技術開發的。生物法由于處理成本低、有害物質去除效果好等優點,成為行業發展的研究熱點,但生物法處理的前提是廢水必須具有一定的可生物降解性,因此,構建物理法、化學法和生物法串聯組合的多級處理系統,可在節約企業廢水處理成本的基礎上,達到國家相關的廢水排放標準。
本研究運用Fenton氧化和生物氧化脫硫處理工藝,得到COD去除率和硫氧化率最高的處理工藝,結合本實驗室篩選出的硫化黑脫硫降解菌株Acinetobactersp.DS-9,考察化學法與生物法二級串聯處理系統的脫硫和COD去除效果。
1、實驗
1.1 原料
雙氧水、濃鹽酸、濃硫酸、1,10-菲繞啉、硫酸亞鐵、氫氧化鈉、硫酸亞鐵銨、硫酸汞、氯化亞鐵(均為市售);本實驗室篩選保存的菌株Acinetobactersp.DS-9;廢水取自常州黑牡丹(集團)股份有限公司印染廢水的物化水(COD為1400~1600mg/L,pH=13~14)。
1.2 儀器
疊加恒溫搖床,pH計,電子分析天平,離子色譜儀,COD測定儀,生化培養箱等。
1.3 Fenton氧化實驗
取400mL硫化黑廢水至1L燒杯中,加入濃鹽酸調節pH至3,加入不同量的FeCl2•4H2O,磁力攪拌30s,充分混勻后迅速加入質量分數為30%的H2O2,反應一定時間后加入一定量NaOH溶液調節pH至9,停止氧化反應,將水樣過濾后檢測COD值。
對Fenton氧化條件中的n(H2O2)∶n(Fe2+)、m(H2O2)∶m(COD)及氧化處理時間進行單因素優化,n(H2O2)∶n(Fe2+)選擇10∶1、8∶1、6∶1,m(H2O2)∶m(COD)選擇3∶2、1∶1、2∶1,氧化時間選擇30、60、90、120min,確定最佳氧化條件。
1.4 生物氧化實驗
從保藏斜面挑取菌株Acinetobactersp.DS-9接入LB培養基,在28℃、200r/min下活化培養12h,按接種量5%(體積比)將活化后的菌體接入經Fenton氧化后的廢水中,并設置一組空白對照(不接種菌株),在28℃、200r/min的搖床中培養7d。每隔24h取樣檢測廢水pH、SO42-、COD,考察菌株Acinetobactersp.DS-9的生物降解性能。
1.5 測試
1.5.1 硫酸亞鐵銨標準溶液的標定
移取5mL(V1)重鉻酸鉀標準溶液(c1),用水稀釋至50mL,加入15mL硫酸,混勻冷卻后,加入75μL試亞鐵靈指示劑,用硫酸亞鐵銨標準溶液滴定。溶液的顏色由黃色經藍綠色變為紅褐色停止滴定,記錄酸式滴定管中消耗的硫酸亞鐵銨體積V,按下式計算硫酸亞鐵銨標準溶液的濃度:

1.5.2 COD去除率
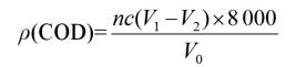
廢水化學需氧量的測定采用GB/T29599—2013《紡織染整助劑化學需氧量(COD)的測定》中的重鉻酸鹽法。COD值[ρ(COD)]按下式計算:

式中,c為硫酸亞鐵銨標準溶液的濃度(mol/L);V1為空白對照實驗消耗的硫酸亞鐵銨標準溶液體積(mL);V2為待測液消耗的硫酸亞鐵銨標準溶液體積(mL);V0為待測液體積(mL);8000為1/4O2的摩爾質量以mg/L為單位的換算系數。每組實驗平行做3次,取算術平均值作為待測樣最終的COD值。
2、結果與討論
2.1 硫化黑印染廢水的Fenton氧化實驗
固定pH=3。由圖1可知,當m(H2O2)∶m(COD)=3∶2時,COD去除率最高,可達82%。降低H2O2用量,COD去除率下降;改變Fe2+用量對COD去除率影響不大。這說明影響Fenton氧化效果的最重要因素是H2O2用量,即產生羥基自由基(•OH)的量。Fe2+只是催化H2O2產生•OH,對COD去除率的影響較小。pH能夠影響Fe2+與Fe3+的絡合平衡體系,在pH為3時,可使自由基生成速率達到最大。氧化時間的延長有助于COD去除率的提高,但是反應時間過長,使反應體系偏向中性甚至堿性,使•OH的產生受到限制,COD去除率反而下降。所以,Fenton氧化的最佳降解條件為:pH=3,n(H2O2)∶n(Fe2+)=6∶1、m(H2O2)∶m(COD)=3∶2,氧化處理90min,此時的COD去除率達到82%,每噸廢水的處理成本大約在23元左右,比原成本降低了54%。









2.2 廢水的生物法處理
考慮到工業廢水的處理成本有嚴格限制,在對化學法與生物法二級串聯降解體系的研究過程中,選擇較為經濟的Fenton氧化工藝。將廢水初始pH調節到3,按m(H2O2)∶m(COD)=1∶2、n(H2O2)∶n(Fe2+)=10∶1加入雙氧水及氯化亞鐵,氧化處理90min后終止反應。將廢水pH調節到7.2,接入菌株Acinetobactersp.DS-9(簡稱DS-9),考察菌株在Fenton氧化后廢水中的處理效果。
菌株在廢水中的生長情況影響生物處理的效果,通過檢測DS-9在印染廢水中的生長量,確定微生物的生長情況。圖2表明DS-9在Fenton氧化后的廢水中比在未氧化的廢水中生長速度更快、更旺盛;保留一定質量濃度的COD有利于微生物的快速生長,同時有利于聯合處理方法的實施。

從圖3可知,未經Fenton處理的廢水接入DS-9后,培養到第3天時,SO42-質量濃度達到最高(3563.49mg/L),比空白對照組(未接菌,CK)提高了16.8%,說明該菌株在未經化學處理的原廢水中同樣具有一定的氧化脫硫能力;但從第3天開始,SO42-質量濃度開始下降,這可能是因為培養液的pH偏堿性,導致菌體細胞的生長及脫硫降解過程受到抑制。經Fenton氧化后的廢水接入DS-9后,培養到第4天時,廢水中的SO42-質量濃度達到最高(4101.81mg/L),比空白對照組(未接菌)提高了14%。DS-9與Fenton聯合處理的廢水脫硫率比未經Fenton處理的廢水提高了34.5%。

從圖4可知,經Fenton氧化后的廢水COD剩余量為800mg/L,為菌體的生長提供一定量的碳源。當接入菌株DS-9培養到第4天時,COD剩余量最低(420mg/L),COD去除率可達47.5%。說明菌株DS-9對未經Fenton氧化處理和經Fenton氧化處理的廢水都具有一定的COD去除能力,對經Fenton氧化的廢水具有更高的COD去除能力,通過化學法和生物法串聯的二級降解體系可將廢水的COD去除率提高到74%。

3、結論
(1)Fenton氧化的最優參數:pH=3、m(H2O2)∶m(COD)=3∶2、n(H2O2)∶n(Fe2+)=6∶1、反應時間90min,COD去除率可達82%,每噸廢水的處理成本大約在23元左右,比原成本降低了54%。
(2)在化學法和生物法二級串聯體系的研究中,選擇成本最低的條件:m(H2O2)∶m(COD)=1∶2、n(H2O2)∶n(Fe2+)=10∶1、反應時間90min,按5%的接種量接入菌株Acinetobactersp.DS-9,可將廢水的氧化脫硫效率提高34.5%,COD去除率提高到74%。
(3)雖然二級處理工藝的COD去除率不如Fenton氧化的高,但每噸廢水的處理成本僅為14.6元,比原成本降低了71%,節約了企業處理廢水的成本。(來源:常州大學制藥與生命科學學院應用微生物實驗室)


