隨著我國社會經濟的發展,農村生活條件的不斷改善,農村用水量也在逐年上升.但是,在我國農村,污水處理體系并未普及,隨意排放的生活污水使江河湖泊水質嚴重下降,對農村的水環境產生了嚴重影響,給農村居民的用水安全和身體健康帶來威脅,農村生活污水治理迫在眉睫。
目前,基于序批式活性污泥法(SBR)工藝的一體化污水處理設備是農村污水處理的研究熱點,該設備運行費用低、可操作性強、常溫下處理效果好,且占地面積小,比較適合農村人口密度小、污水排放不連續等情況。但我國北方地區冬季溫度較低,活性污泥作為多種微生物共生的一個群體,會隨著溫度的降低活性逐漸下降,對有機物的降解速度也隨之下降,導致冬季污水處理效率低。因此,寒冷地區的城市污水廠通常會采用加熱保溫、增大污泥回流量和污水停留時間等措施來保證出水達標,這樣不僅增加了工藝難度與能耗,而且增加了工程投資和運行費用。
為此,相關領域研究人員利用生物強化技術馴化活性污泥,從而提高污泥的耐低溫特性。例如,王長生等人采用流態連續形方法,在水溫為11~13℃的反應器中對污泥進行馴化,馴化后污泥對初始COD(化學需氧量)為450mg/L-1的污水去除率最高為86.3%;伍海全等人對污泥進行階段性耐低溫馴化,10d在5℃條件下對初始COD為610mg/L-1左右的污水去除率可達95%以上;也有研究表明,通過外加磁場的方法也能對污泥進行馴化,增強污泥活性和耐寒性,ChuanNiu等人在低溫條件下對污泥給予適當靜磁場,馴化階段對初始COD為400mg/L-1的污水去除率可達91.65%。因此,對污泥進行耐低溫馴化,為解決北方地區冬季農村生活污水難處理問題提供了解決辦法。
擬將生物強化技術應用到農村污水處理當中,運用逐級降溫的方法馴化活性污泥,使污泥在低溫條件下仍能降解水中有機物,并考察污泥對人工污水及實際農村生活污水的處理情況,以及在污水處理過程中的最適接種量,出水COD達到農田灌溉水質標準(GB5084 ̄2005)中水作物的標準值,實現水資源的循環利用。這不但為寒冷地區污水處理提供了解決辦法,也將為新農村環境治理與建設做出貢獻。
一、實驗部分
1.1材料來源
污泥:吉林市某污水廠污泥。
培養基:LB培養基。
生活污水:吉林市周邊農村三戶化糞池污水,標記為生活污水A、B、C。
人工污水:葡萄糖,0.170g;可溶性淀粉,0.160g;乙酸鈉,0.233g;氯化銨,0.025g;蛋白胨,0.158g;牛肉膏,0.040g;硫酸銨,0.028g;磷酸二氫鉀,0.070g;碳酸鈉,0.060g;自來水,1L。將上述成分滅菌后備用。以上試劑均為分析純,天津市大茂化學試劑廠生產。
1.2實驗主要設備
生化培養箱(上海一恒LRH-800F)、全恒溫振蕩培養箱(上海一恒HZQ-X300C)、多參數消解儀(北京連華LH-25A)、多參數水質測定儀(北京連華5B-3B)、潔凈工作臺(上海昕儀SW-CJ-2FD)等,均在室溫下使用和測定。
1.3實驗方法
1.3.1污泥的耐低溫馴化
將采集的污泥用LB液體培養基于25℃生化培養箱內活化3d,然后取活化的濕污泥5g(含水量為83%),加入到裝有200mL人工污水的三角瓶內,20℃條件下恒溫培養7d,定時搖勻,靜置澄清后檢測上層液COD。用蒸餾水沖洗沉降污泥,再依次進行15、12、10、8℃的馴化實驗,每個溫度重復馴化3次。
1.3.2不同馴化污泥量對人工污水的處理效果
取8℃馴化后的活性污泥,反復用蒸餾水沖洗、沉降數次,抽濾棄去水份,分別稱取濕重為1、2、3、4、5g的污泥加至200mL滅菌的人工污水中,放置生化培養箱內8℃培養7d,定時搖勻,靜置澄清后檢測上層液COD。以不加污泥的人工污水作為對照。
1.3.3馴化污泥對生活污水處理能力的測定
取最適接種量的已馴化污泥,分別加至裝有200mL實際生活污水A、B、C的三角瓶內,8℃條件下恒溫培養,定時搖勻,靜置澄清后檢測上層液COD,直至COD降至150mg/L-1以下或無明顯變化,計算COD去除率。
1.3.4污泥馴化與非馴化對生活污水處理能力的比較
取最適接種量非馴化污泥,加入裝有200mL實際生活污水C的三角瓶內,8℃條件下恒溫培養,定時搖勻,靜置澄清后檢測上層液COD,處理時間與馴化污泥對實際生活污水C的處理時間相同,比較兩種污泥在低溫條件下對污水的處理能力是否有顯著差異。
1.4測定與分析方法
COD使用消解儀和多參數水質分析儀測定,檢測方法依據國家法規《快速消解分光光度法(HJ/T399 ̄2007)》。
實驗數據采用origin8.5進行分析作圖。

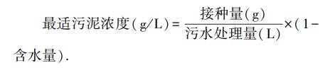
最適污泥濃度公式:

二、結果與討論
2.1污泥的耐低溫馴化
我國北方農村的農民土地使用面積占比較高,以農田灌溉水質標準作為處理標準,經處理后的水用于灌溉,可以利用土壤系統進一步實現污染物的分解及N、P元素在農村生態系統的循環,降低污水處理的難度、成本及能耗.將從污水處理廠取回的活性污泥,按照20、15、12、10、8℃5個溫度梯度進行逐級降溫馴化實驗,最后一次馴化期間活性污泥對人工污水的處理結果如圖1所示。

由圖1可知,各馴化溫度下,人工污水的COD值隨時間的增長而逐漸減小.20℃馴化時,第4d可將人工污水COD降至150mg/L-1以下,達到農田灌溉水質標準中水作物的灌溉要求(≤150mg/L-1),出水COD為131.6mg/L-1;第6d,其它馴化溫度下出水COD也都達到此標準,12℃下的出水COD最低,為86.13mg/L-1,其中10、12、15、20℃的馴化結果同時達到加工、烹飪及去皮蔬菜作物灌溉的COD標準(≤100mg/L-1);第7d,8℃下馴化的出水COD降至92.85mg/L-1,去除率為85.65%,這與王長生等人的研究結果相近,本研究馴化污泥的溫度更低,處理污水初始COD較高,比較符合我國北方地區冬季農村污水處理的實際情況。相比之下,伍海全等人馴化的污泥在低溫條件下的COD去除能力更好,但本研究的處理方式及操作方法較為簡單,無需曝氣攪拌,節約了污水處理過程當中的能源消耗。目前,通過活性污泥在8℃下對人工污水的COD去除情況來看,污泥已經具備在低溫條件下對污水的處理能力。
在馴化過程中,活性污泥對人工污水的COD去除情況都出現去除率快慢交替的現象,COD變化曲線呈階梯式下降。接種污泥后2d內,12、15、20℃下污水COD下降趨勢較快,去除率最高可達45.9%,而8℃和10℃下的污泥還處在延滯期,COD下降緩慢,去除率最高僅為35.7%;第2~3d,10、12、15℃的COD下降趨平,去除率增長緩慢,平均增長7.7%,20℃也出現了較小的波動,只有8℃仍維持著穩定的下降趨勢;第3d以后,10、12、15、20℃下的COD開始持續下降,而8℃在第4~5d的COD變化較小,去除率僅增長5.0%,隨后又迅速下降,這可能與污泥內微生物的生長特性有關。相比之下,20℃馴化污泥將污水處理達標時間最短,4d即可達到處理要求,培養至第7d時COD已降至52.36mg/L-1,去除率為91.91%。隨著馴化溫度的降低,污泥的處理時間增長,8℃下污泥處理污水的達標時間需要7d,此時出水COD為92.85mg/L-1,去除率為85.66%,雖然8℃處理時間較20℃長,但最終的出水COD相差不多,去除率較20℃僅降低了6.26%,說明在8℃條件下,污泥仍具有良好的降解能力,因此低溫馴化污泥對寒冷地區污水處理具一定的應用價值。
2.2不同馴化污泥量對人工污水的處理效果
將不同濕重的污泥接種到人工污水中,8℃處理7d的COD降解情況如圖2所示.由圖2可知,在8℃條件下,隨著活性污泥接種量增加,污泥對污水COD的去除效果也隨之增強.1、2、3g活性污泥在第7d均將處理的污水達到農田灌溉水質標準,出水COD分別為95.63、92.16、88.75mg/L-1,COD去除率分別為85.22%、85.76%、86.29%;而接種量為4g和5g的活性污泥,對污水的處理達標周期僅為5d,出水COD分別為110.6mg/L-1和105.3mg/L-1;第7d時,4g和5g接種量處理的污水COD分別降至76.13mg/L-1和75.64mg/L-1,且在處理相同時間內COD的去除率較高,分別為88.24%和88.31%,處理效果基本相同。因此,實驗的污泥最佳接種量為4g,此時污泥的含水量約為83%,除去污泥當中多余的水分,相當于污泥濃度(MLSS)為3.4g/L-1.最適的污泥濃度可以有效保證污水處理過程中的水力負荷,在不影響污泥有機物去除能力的同時,還能節省工藝成本,為活性污泥在農村污水處理領域中的應用提供參考。

2.3馴化污泥對生活污水處理能力的測定
用污泥對實際農村生活污水A、B、C進行處理,初始COD分別為570.9、595.6、722.4mg/L-1。實際農村生活污水主要包括廁所沖洗水、洗漱排水、廚房排水及其它排水等,處理情況如圖3所示。隨著時間的增長,A、B、C三戶污水的COD含量逐漸下降,與C相比,A、B兩戶污水的初始COD含量較低且相近,處理第8d時達標,出水COD相差不大,分別為127.2mg/L-1和129.5mg/L-1,COD去除率分別是77.72%、78.26%;第10d,C戶污水達標,出水COD為145.6mg/L-1,去除率為84.97%,此時A、B兩戶污水的COD含量仍在下降,出水COD分別降至92.36mg/L-1和89.51mg/L-1,去除率分別為83.82%和84.97%。在對三戶實際生活污水的處理過程中,由于C戶污水的初始COD含量較高,因此所需處理時間較長。從3條曲線的下降程度看,活性污泥在對實際生活污水的低溫處理過程中能保持較穩定的狀態,各污水COD均平緩下降,且未出現較大波動,污泥處理時間也會隨著污水初始COD的增加而延長。

與處理人工污水相比,污泥處理實際生活污水所需時間較長。相同溫度下,活性污泥第7d對人工污水的COD去除率為85.65%,而處理實際生活污水要達到同樣的去除效果則需要10d,原因是實際生活污水的成分較人工污水復雜,日化產品對污泥內微生物的活性造成了一定影響,使得微生物對污水中有機物的降解效率降低.在對污泥進行耐低溫馴化階段,污泥對人工污水的降解呈現階段下降的趨勢,例如8℃馴化的第4~5d,污泥對人工污水的去除速率開始降低,第5d后開始恢復,而處理生活污水則呈現平穩下降的趨勢,原因是在馴化時,為增強污泥的活性,會在人工污水中添加葡萄糖等容易被利用的物質,污泥首先快速分解這些物質,然后再利用淀粉等一些結構復雜的有機物,所以COD曲線呈階梯式下降。經過不斷的馴化與實驗,污泥開始適應低溫且復雜的污水環境,而實際農村生活污水的成分主要是淀粉、纖維素、脂肪、蛋白質等結構復雜的有機物,污泥會直接利用這些物質,因此對實際生活污水處理比較穩定,整個處理過程也未產生較大波動,說明活性污泥對環境的適應性逐漸增強,這對寒冷地區農村生活污水處理具有重要意義.在實際應用中,可適當增加污泥接種量來縮短污水的處理周期。
2.4馴化耐冷污泥與非馴化污泥對污水處理能力的比較
如圖4為馴化耐冷污泥與非馴化污泥在8℃條件下對C戶生活污水處理的COD隨時間變化的曲線。對比發現,沒有經過馴化的活性污泥在8℃時COD去除率較低,僅為56.71%,出水COD為312.8mg/L-1,相同時間內出水COD含量未能達到農田灌溉水質標準,整個處理過程也存在波動。開始1~4d,去除效果雖不如馴化的活性污泥,但COD含量也在逐漸下降;第5~7d的去除率明顯減小,曲線趨于平緩,出水COD變化不大;之后去除率逐漸恢復,COD含量逐漸降低。這說明未經馴化的污泥受低溫影響較大,再加上實際農村污水處理過程中進水量和初始COD的不穩定,更會嚴重影響污水的處理效果,導致出水水質不達標。而經過馴化的耐冷活性污泥在低溫下仍具有較高的生物活性,COD去除率可達79.85%,出水COD達農田灌溉水質標準,整個處理過程COD下降趨勢穩定,無較大波動。馴化后的耐冷活性污泥抗干擾能力較強,對環境變化適應性強,因此比較適合北方地區農村生活污水處理。

三、結論
經過反復逐級耐低溫馴化,得到在低溫條件下仍具有活性的污泥,利用農村獨有的土地優勢,以農田灌溉水質標準為處理指標,可以降低低溫處理難度,減少能量消耗。馴化后的污泥處理人工污水,8℃條件下的出水COD為92.85mg/L-1,去除率為85.65%;相同條件下處理實際農村生活污水,出水COD最低為89.51mg/L-1,去除率最高為84.97%,最短處理周期為8d;經人工污水驗證,污泥的最適接種濃度為3.4g/L-1。而非馴化污泥在相同條件下對實際農村生活污水的COD去除率僅為56.71%,出水COD第10d仍未達標,這說明經過馴化的活性污泥適合在低溫條件下處理生活污水,若將其應用到我國北方或高寒地區的農村污水處理之中,將會大大改善這些地區冬季污水處理效果,提高污水處理效率,為高寒地區農村生活污水處理提供有力支持。(來源:吉林化工學院)


