隨著污水處理規模的不斷增長,WAS(剩余活性污泥)的產生量在全球范圍內隨之持續增加。WAS不僅含有大量有機物、N和P等營養物質,同時含有重金屬、病原微生物以及其他有毒有害物質,因此必須對污泥進行處理處置。厭氧消化利用產甲烷菌將污泥中的有機物轉化為甲烷,既能實現WAS減量化、穩定化,也能從中回收能源,因而廣受關注。但因為WAS的絮體成分較為復雜,EPS(胞外聚合物)可對細胞形成保護作用,阻止其破裂和水解。同時污泥細胞本身擁有堅韌的細胞壁,阻礙胞外水解酶對胞內有機物的降解和利用,進而影響WAS的厭氧消化性能與甲烷產率。為了加快污泥的增溶水解,縮短WAS在厭氧消化過程的停留時間,國內外許多研究通過物理、化學或生物作用對污泥進行破解,然而高能耗成為實際運用中的限制因素。
K2FeO4(高鐵酸鉀)作為一種高效綠色的強氧化劑受到了越來越多的關注。據報道,K2FeO4通過雙電子或單電子轉移機制與有機物質發生反應,能降解各種污染物。同時,K2FeO4還原生成Fe3+,可以起到混凝劑的作用。鑒于以上性質,有研究將K2FeO4用于WAS預處理,發現強氧化性Fe6+能氧化降解污泥絮體中的EPS成分,促進微生物細胞裂解。K2FeO4預處理過的污泥,VFA(揮發性有機酸)的產量可顯著提升。但是,污泥EPS中也含有大量腐殖酸類物質,預處理過程中釋放過量的腐殖酸可對厭氧消化造成抑制。而K2FeO4氧化預處理在破解污泥細胞的同時,可為體系提供大量K+與Fe3+,后者可與水解酶競爭腐殖酸分子上的羧基活性位點,減少腐殖酸對水解酶的抑制作用,進而提高厭氧消化效率。研究發現,通過氧化預處理可改變腐殖酸類和纖維素類物質的表面官能團結構,氧化降解產生一些小分子酯、酸和醇類物質,進而提升污泥的可生化性能。目前K2FeO4預處理WAS的相關研究較少,在K2FeO4投加量方面還沒有形成一致性的結論,因此有必要開展相關優化試驗研究。目前污泥預處理研究一般以污泥破解率作為主要篩選指標,而沒有考慮水解液的可生化性能,需要通過厭氧消化試驗來驗證。研究表明,Fdigestion(可生物降解指數)可用于污泥有機質生物可降解性的綜合評價,為WAS預處理的優化提供快速策略
該研究考察K2FeO4投加量、氧化反應時間及攪拌速率對WAS水解效率的影響,并對溶出有機物的各項特征指標(如SCOD含量、多糖含量、蛋白質含量等)進行比較,結合紅外光譜、三維熒光分析對其可生化性進行預測比較,探究K2FeO4氧化預處理的優化條件,探尋能夠增強污泥厭氧消化性能的合理可行的預處理技術。
一、材料與方法
1.1材料來源
供試WAS污泥取自上海松申水環境凈化有限公司,污水處理工藝采用倒置式A∕A∕O法的污水處理工藝,濃縮污泥經板框壓濾脫水后統一外運處置。供試WAS污泥為濃縮池污泥,靜置后棄去上清液,保存在4℃冰箱待試驗備用,污泥基本特征如表1所示。

1.2試驗方法
將1LWAS置于燒杯中,分別將K2FeO4(以干質量計)以0、50、100、200、500g∕kg投加到污泥中,燒杯置于六聯攪拌器上進行攪拌,控制一定的攪拌速率和反應時間取樣分析。試驗在(25±2)℃下進行,每組試驗兩個平行。
1.3測試與分析方法
pH采用pH計(Multi3430,WTW公司,德國)。ρ(SCOD)采用哈希快速消解法(DRB200哈希消解儀,HACH公司,美國)進行測定。ρ(VFA)采用氣相色譜(AgilentGC7890B,安捷倫科技有限公司,美國)測定。紅外光譜采用紅外光譜分析儀(ThermoFisherNicoletiS10,賽默飛世爾有限公司)分析。蛋白質含量采用考馬斯亮藍G-250分光光度法測定。多糖含量采用苯酚硫酸分光光度法測定。ρ(NH4+-N)采用納氏試劑分光光度法測定。ρ(TP)及正磷酸鹽含量均采用鉬酸銨分光光度法測定。污泥破解率采用處理前后ρ(SCOD)的變化來定義,其計算方法如式(1)所示。

式中:DD為污泥破解率,%。SCOD0和SCODn分別為污泥處理前、后的ρ(SCOD),mg∕L。TCOD0為處理前污泥的ρ(TCOD),mg∕L。
三維熒光光譜采用日立(F-7000,日立高新技術公司)熒光光譜儀進行測定,根據生化分子的熒光特性,可將三維熒光光譜分為7個區域:Ⅰ—類蛋白(酪氨酸)。Ⅱ—類蛋白(色氨酸)。Ⅲ—類蛋白(酪氨酸、色氨酸、微生物產物)。Ⅳ—類富里酸。Ⅴ—熒光內濾效應,類糖化蛋白。Ⅵ—類黑精素,類木質纖維素。Ⅶ—類腐殖質。其中,Ⅰ~Ⅲ區主要為小分子類蛋白物質,在一定程度上可以代表容易降解的有機質,用RB(readilybiodegradable)表示,將Ⅰ~Ⅲ區三維熒光光譜進行體積積分得到IRB。Ⅳ~Ⅶ區在一定程度上可以代表難降解的有機質,主要包括富里酸、腐殖酸、乙醇酸化蛋白、木質纖維素等,用PB(poorlybiodegradable)表示,將Ⅳ~Ⅶ區三維熒光光譜進行體積積分得到IPB。Fdigestion(生物可降解性指數)定義為IRB和IPB的比值
二、結果與討論
2.1K2FeO4預處理污泥反應條件的優化
2.1.1水解反應時間的確定
不同K2FeO4投加量下,污泥經氧化預處理后的污泥破解率隨時間的變化情況如圖1(a)所示,污泥破解率基本在預處理2h時達到峰值。K2FeO4投加量與反應2h的污泥破解率呈顯著正相關(R2=0.9612),說明K2FeO4呈現出較強的氧化性,導致有力的絮凝物結構破壞和EPS以及胞內物質的釋放。其中,K2FeO4投加量為500g∕kg、預處理時間為2h時,ρ(SCOD)由對照組的269mg∕L增至8647mg∕L,污泥破解率也增至最大值(34.6%),該值略高于同類文獻報道值。然而隨著反應時間的延長,ρ(SCOD)及污泥破解率的增長變緩或略有下降,可能原因是,Fe(Ⅵ)的氧化還原反應在2h內基本完成,僅有少量殘余Fe(Ⅵ)繼續發揮作用,同時Fe(Ⅵ)反應產物形成Fe(OH)3絮體,后者可以通過絮凝等作用將液相有機物再次捕獲并沉淀轉移至固相中。預處理后增加的COD有利于產生甲烷,因而確定反應時間應為2h。

2.1.2水解攪拌速率的確定
試驗基于2h的反應時間,考察不同攪拌速率(150、500r∕min)對污泥破解率的影響。由圖1(b)可見,在同樣的K2FeO4投加量條件下,攪拌速率增加可小幅度提高污泥破解率。該研究中K2FeO4以固體鹽形式投加,快速攪拌可促進K2FeO4的溶解以及FeO42-與污泥絮體接觸反應的過程,加劇污泥絮凝物結構的破壞以及EPS和胞內物質的釋放,這與已有研究結果相同。研究過程還發現,攪拌速率對蛋白質溶出的影響較多糖更明顯,當K2FeO4投加量為500g∕kg時,500r∕min快速攪拌下蛋白質溶出量比150r∕min慢速攪拌下高出15.6%。因而確定500r∕min的攪拌速率作為后續試驗條件。
2.2水解液各特征成分分析
2.2.1pH變化和氮磷的釋放
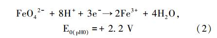
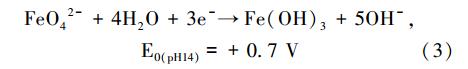
不同K2FeO4投加量條件下,污泥水解液pH如圖2(a)所示。污泥加入K2FeO4后,反應體系呈堿性,且pH隨K2FeO4投加量的增加而升高。K2FeO4的氧化還原電勢受pH條件影響:
在酸性條件下:

在堿性條件下:

K2FeO4在酸性條件下的氧化電位更高,但此時K2FeO4的自分解速率非常快,導致其利用率降低。而當pH為中性或弱堿性時,Fe(Ⅵ)的活性雖偏低,但穩定性更好,可以持續穩定地與體系中的有機物發生反應。反應過程中,伴隨一些小分子VFA的生成,水解4h以后體系pH略有回落。


污泥水解過程中也伴隨著無機物(如氨氮、磷酸根)的釋放,由圖2(b)(c)可見,水解液中ρ(NH4+-N)的變化主要取決于有機氮的脫氨基作用以及污泥破解胞內物質的釋放。ρ(NH4+-N)隨K2FeO4投加量的增大而升高。當K2FeO4投加量大于100g∕kg時,ρ(NH4+-N)隨反應時間延長呈現一定的波動,可能是部分NH4+-N被Fe(Ⅵ)氧化為硝態氮。TP釋放的變化趨勢與污泥破解率相似,其濃度在反應2h內迅速升高。生物除磷工藝在去除污水中磷的同時也會產生大量的富磷WAS,以聚磷酸鹽的形式存儲在污泥細胞內,磷酸鹽在污泥破解過程中得以釋放。由圖3可以看出,水解液中ρ(TP)最大值為496mg∕L,且以正磷酸鹽為主(約310mg∕L),這與已有研究結果一致,有利于通過磷酸鹽沉淀的形式進行磷回收。污泥水解液中也有相當一部分磷以有機磷形式存在(16.6%~51.6%),如肌醇六磷酸、磷脂、核酸、磷蛋白和磷酸糖類等。當K2FeO4投加量為50和100g∕kg時,有機磷比例高達51.6%。而隨著K2FeO4投加量繼續增至200和500g∕kg,有機磷比例則分別降至49.6%和37.9%。這說明Fe(Ⅵ)與EPS、微生物細胞壁和有機殘骸中的有機磷化合物發生氧化反應,在增大TP釋放的同時,也會降低有機磷比例。
2.2.2有機質的釋放

由圖4(a)可知,原污泥中ρ(VFA)約為9.2mg∕L,經K2FeO4預處理后ρ(VFA)最高可增至303.2mg∕L,且以丙酸和丁酸為主。VFA主要源自K2FeO4對污泥有機物的氧化,或是由破解微生物細胞內物質(如β-羥基丁酸)的釋放所致。與污泥生物水解發酵比較,K2FeO4氧化預處理方法產生的ρ(VFA)處于較低水平。
隨著污泥破解、有機物釋放溶出,多糖和蛋白質含量均在2h內迅速增加〔見圖4(c)(d)〕,如K2FeO4投加量為500g∕kg時,多糖和蛋白質含量分別達到859、427mg∕L。比較發現,多糖的溶出高于蛋白質,這與ZHANG等的結果相似。據SHAO等研究報道,蛋白質在TB-EPS(緊密結合的EPS)、LB-EPS(松散結合的EPS)和slime(黏液層)中分布不均勻,在LB-EPS和slime中蛋白質含量幾乎為零。而多糖在三層中均勻分布。用K2FeO4預處理污泥時,可能更易氧化LB-EPS和slime層,而難以氧化TB-EPS部分,因此,釋放到水解液中的多糖要比蛋白質多。由圖4(b)可見,SCOD各組分中,多糖占14.1%~36.7%,蛋白質占2.7%~17.6%,而VFAs僅1.4%~9.1%,說明上清液中也含有大量的其他類別有機物,如腐殖酸、富里酸、纖維素等。
2.3污泥水解液可生化性能預測

由污泥水解液的紅外光譜圖(見圖5)可見,在不同K2FeO4投加量氧化預處理中,各樣品的特征峰相近、強度隨K2FeO4投加量的增加而增大。波長3400cm-1位置出現一個較寬、較強的吸收帶,主要是-OH或氨基的伸縮振動。波長1635~1665cm-1之間的伸縮帶代表了氨基-Ⅰ化合物的N-H彎曲振動。波長1250~1420cm-1之間的吸收峰主要由氨基-Ⅱ和氨基-Ⅲ化合物的NH2或N-H彎曲振動和C-N伸縮振動引起。而1040~1120cm-1之間出現的吸收峰,可能是因為多糖類物質及芳香烴醚類物質的C-O和C-O-C的伸縮振動。由此可印證,污泥經K2FeO4預處理后,蛋白質、多糖、芳香烴醚類以及一些含羥基小分子物質(醇、羧酸等)釋放溶出。而K2FeO4投加量為50g∕kg時,810cm-1處出現了一個不明顯的峰,這可能是由未反應完全的K2FeO4導致的Fe-O的特征衍射峰。

有機物的熒光特性反映了有機物自身結構、官能團、非均質性和分子動力學特征等方面的信息。根據CHEN等的研究可知,原污泥上清液的熒光峰主要為類蛋白質類物質。由圖6可見,與原始污泥相比,經預處理后的污泥出現了新的熒光峰,其中最主要的為溶解性細胞副產物。而不同K2FeO4投加量處理后,水解液中類蛋白類物質的熒光峰的面積和強度都得到了不同程度的擴大和增強。此外,污泥水解液中也出現了類富里酸和類腐殖酸物質的特征峰,但腐殖質的溶出可能會對后續產甲烷過程產生抑制。

為了進一步預測污泥預處理后上清液的生物降解性,根據三維熒光分區積分計算得到RB、PB及Fdigestion。由圖7可知,經K2FeO4預處理后,污泥中RB和PB熒光強度均有明顯增長趨勢,但增幅存在差異。Fdigestion呈先升高后降低的趨勢,K2FeO4投加量為50g∕kg時,Fdigestion最大值為4.75。當繼續增加K2FeO4投加量時,Fdigestion逐漸降低。投加量為50g∕kg時的Fdigestion最低,為2.34。分析原因可能是,較高的K2FeO4投加量在釋放易降解有機物的同時,難降解有機質(如腐殖質等)也得到了釋放,而難降解有機物比例的升高可能對產甲烷造成負面影響。Fdigestion可以作為評估液相萃取物生物降解能力和生物處理殘留物穩定性的有意義的指標,一般來說,Fdigestion高于1,表明底物具有良好的生物降解性,Fdigestion越高,污泥生物可及性和可降解性越好。由此預測,50g∕kgK2FeO4預處理后的污泥可生化性能最佳,這與污泥破解率的結論存在差異。因此,如果以厭氧消化作為后續處理,傳統以污泥破解率作為單一篩選指標而不考慮整體可生化性的做法值得商榷
三、結論
a)以K2FeO4為氧化劑預處理WAS,可有效提升WAS水解效率,污泥破解率隨K2FeO4投加量的增加而升高。
b)當K2FeO4投加量為500g∕kg、攪拌速率為500r∕min、反應時間為2h時,污泥破解率由對照組的0.08%增至34.61%,上清液中ρ(SCOD)、多糖、蛋白質含量分別增至8647、859、427mg∕L,ρ(TP)也增至496mg∕L。
c)由三維熒光結果計算得知,K2FeO4投加量為50g∕kg時,Fdigestion達到最大值(4.75),預測厭氧可生化性能最佳。(來源:上海理工大學環境與建筑學院)


