天然氣在開采過程中極易與游離水形成天然氣水合物,造成設備管線的結冰凍堵和腐蝕損壞[1]。甲醇作為一種常用的水合物抑制劑,通過改變水溶液的化學勢,使其相平衡條件趨于低溫、高壓,從而有效抑制天然氣水合物的生成[2-3]。但是,由于甲醇具有較強的毒性,能夠通過呼吸道、腸胃及皮膚滲入體內導致中毒,故必須對天然氣氣井產出的甲醇污水進行再生回收和循環利用,以達到減少環境污染危害和消除健康安全風險的目的[4-5]。國內外目前針對甲醇污水的處理方法較多,大體上可分為單塔精餾法、雙塔精餾法、三塔精餾法以及四塔精餾法等[6]。精餾法的本質是利用甲醇和水的揮發度差異,通過不斷汽化、不斷冷凝來實現目標產物的分離,而對于甲醇污水這一高礦化度、高濁度、高含鐵量、高腐蝕性和低 pH 值的復雜體系來說[7],精餾塔在此過程中由于塔內溫度過高勢必會出現結垢、堵塞、腐蝕等現象,嚴重干擾氣液兩相傳遞,造成塔板效率急劇降低[8-9],同時,甲醇污水中的甲醇濃度季節性變化很大,頻繁參數調節影響了裝置操作的平穩度,產品質量難以保證,甲醇返罐量增加并導致能耗提高[10]。甲醇污水減壓熱泵精餾回收工藝是目前較為理想的一種綜合性解決方案,這是因為一方面減壓精餾可以顯著降低塔底溫度并提高組分間的相對揮發度[11],另一方面熱泵精餾能夠有效回收塔頂蒸汽的冷凝熱并應用于自身,提高了過程的熱力學效率且減少了能量消耗[12]。
本文借助 Aspen Properties 和 Aspen Plus 軟件,采用減壓熱泵精餾技術對甲醇污水回收工藝進行了模擬和優化,以期為該技術的工業化應用和推廣,提供理論支撐和數據支持。污水
1 甲醇污水汽液相平衡測定
對于含有大量固體懸浮物、熱穩定性鹽和有機雜質的甲醇污水來說,雖然在進入精餾塔之前必須經過氧化、堿化、絮凝等一系列預處理,以達到脫除甲醇污水中固體懸浮物的目的,但是對于熱穩定性鹽和有機雜質的除去目前尚無理想方法[13-14]。由于這些雜質均會對甲醇污水體系汽液相平衡產生不同程度的影響,因此本文采用改進的 Rose 釜通過循環法測定它的汽液相平衡數據。
將由長慶油田第一采氣廠提供的甲醇污水約 30 mL 從加料口緩慢倒入改進的 Rose 釜內,加熱至沸騰,當平衡室溫度恒定不變時即可認為系統已達到汽液相平衡,保持此平衡狀態 15 min 左右,使用 1 μL微量進樣器分別從汽相、液相取樣口取樣進行氣相色譜分析,其檢測條件如下: 選擇 HP-50 + 毛細管色譜柱,分流比 1∶ 20,柱流量 1. 2 mL / min,程序升溫,初始柱溫 65 ℃ ,保持 1 min,以 30 ℃ / min 升至 250 ℃ ,保持 1 min,采用面積歸一化法定量分析。利用注射器向改進的 Rose 釜內補充 3 mL 甲醇,改變釜內液相含量并測定下組實驗數據,重復此操作,最終得到甲醇污水的汽液相平衡關系,如圖 1 所示。

由圖 1 可知,與甲醇-水體系相比,甲醇污水體系溫度-組成相圖在溶液依數性的作用下出現明顯上移,這表明熱穩定性鹽及有機雜質的存在對于甲醇污水體系汽液相平衡造成了一定的影響,使相同組成下甲醇污水體系的沸點較前者略高,引起交互作用參數出現較大偏差,從而導致后續模擬計算結果的準確度下降。
1 交互作用參數回歸關聯
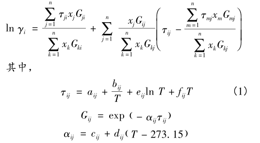
針對上述問題,由于甲醇污水體系屬于高度非理想電解質體系,故本文基于 NRTL-RK 模型,借助 Aspen Properties 7. 2 對甲醇污水體系的汽液相平衡數據進行交互作用參數回歸關聯,同時采用逐點檢測法和積分檢測法對其主要物性進行熱力學一致性驗證,并通過回歸參量標準偏差、回歸結果標準偏差對交互作用參數的可靠性進行評價,詳見表 1。
NRTL-RK 模型的表達式如下:
式中: γi 為組分 i 的液相活度系數; xi 為組分 i 的摩爾分數; Gij 為溶液的相互作用能; τij 為分子間的作用參數; αij 為溶液的特征函數; aij ,aji ,bij ,bji ,cij ,dij ,eij ,eji ,fij 和 fji 為 NRTL-RK 模型的有序特性參數。
由表 1 可知,甲醇污水體系交互作用參數和甲醇-水體系交互作用參數兩者之間存在顯著差異,經回歸關聯得到的甲醇污水體系交互作用參數可順利通過熱力學一致性驗證,其回歸參量標準偏差、回歸結果標準偏差分別僅為 0. 204 7 和 0. 985 0,遠遠小于規定值,可滿足后續模擬優化的準確度要求。
3 甲醇污水減壓熱泵精餾模擬
預處理后的甲醇污水由甲醇精餾塔( T-101) 中部進料,塔頂的低壓蒸汽進入壓縮機( C-101) 進行加壓升溫作為塔底再沸器( E-101) 的熱源,經換熱后自身冷凝為液態,一部分作為甲醇產品,另一部分經節流后進入塔頂氣液分離罐( V-101 ) ,氣相循環回 C-101 進口,液相作為塔頂回流入塔。塔底的一部分廢水與塔頂的高溫高壓甲醇蒸汽在 E-101 中換熱后氣化作為塔底氣相回流,另一部分廢水直接出裝置,如圖 2 所示。

設定甲醇污水的進料流量為150 m3 / d,進料溫度為25 ℃ ,進料壓力為 96 kPa,要求經減壓熱泵精餾處理后塔頂甲醇的質量分數應不低于 95% 、塔底甲醇的質量分數應不高于0. 1%。本文采用Aspen Plus 7. 2 軟件自帶的序列二次規劃算法對上述過程進行全流程模擬,并在確保塔頂甲醇產品和塔底外排廢水達標的前提下通過靈敏度分析研究進料中甲醇質量分數、理論塔板數、進料板位置、系統真空度與壓縮機功耗之間的相互關系,其收斂容差均小于 10 - 4 。
3. 1 進料中甲醇質量分數對壓縮機功耗影響
在 T-101 的理論塔板數為 13 塊、系統真空度為 70 kPa 及進料板位置為第 6 塊塔板的條件下,當進料中甲醇質量分數分別為 5% ,7% ,9% ,11% ,13%和 15% 時,進料中甲醇質量分數對壓縮機功耗的作用規律如圖 3 所示。

由圖 3 可知,當進料中甲醇質量分數在 11% 以下時,壓縮機功耗隨進料中甲醇質量分數的不斷減小而急劇增大,當進料中甲醇質量分數由 15% 降至11% 時,壓縮機功耗略有增加但增幅較小,因此,應盡量控制進料中的甲醇質量分數不低于 11% ,以防止壓縮機功耗過高而導致設備發生損壞。
3. 2 理論塔板數對壓縮機功耗影響
在 T-101 的進料中甲醇質量分數為 11% 、系統真空度為 70 kPa 及進料板位置為第 6 塊塔板的條件下,當 T-101 的理論塔板數分別為 10,11,12,13,14 和 15 時,理論塔板數對壓縮機功耗的作用規律如圖 4 所示。

由圖 4 可知,當 T-101 的理論塔板數為 10 時,壓縮機功耗約為 318 kW,隨著理論塔板數不斷增加,壓縮機功耗先逐漸降低再急劇升高,并在理論塔板數為 14 時達到最小值。理論塔板數越多,所需回流比越小,壓縮機功耗越低,但當理論塔板數過多時,由于甲醇的汽化潛熱遠遠小于水,使得塔頂工質攜熱能力變差,為了向塔底再沸器提供足夠熱量,不得不提高壓縮機氣體循環量,導致壓縮機功耗增加,故選擇 T-101 的最佳理論塔板數為 14。
3. 3 進料板位置對壓縮機功耗影響
在 T-101 的進料中甲醇質量分數為 11% 、理論塔板數為 13 塊、系統真空度為 70 kPa 的條件下,當 T-101 的進料板位置分別為第 4,5,6,7,8,9 塊塔板時,考察不同進料板位置對壓縮機功耗的影響,結果如圖 5 所示。

由圖 5 可知,壓縮機功耗隨著進料板位置的不斷增加而逐漸降低,當進料板位置增至第 7 塊塔板時,壓縮機功率僅為 262 kW,若繼續增加進料板位置,壓縮機功耗反而有所增加,故選擇第 7 塊塔板作為 T-101 的最佳進料位置。進料板位置對于壓縮機功耗具有一定的影響,當進料與塔內組成相差較大時,物料容易發生返混并造成塔板效率下降,當進料與塔內組成接近一致時,進料能夠均勻地融入塔內氣液兩相中,從而有效實現甲醇污水的分離。
3. 4 系統真空度對壓縮機功耗影響
在 T-101 的進料中甲醇質量分數為 11% 、理論塔板數為 13 塊及進料板位置為第 6 塊塔板的條件下,當系統真空度分別為 40,50,60,70,80,90 kPa時,考察系統真空度對壓縮耗能的影響,結果如圖 6所示。

由圖 6 可知,當系統真空度為 40—90 kPa 時,壓縮機功耗隨系統真空度的不斷增加而顯著降低,當系統真空度達到 90 kPa 時,壓縮機功耗只有 231kPa,然而,考慮到T-101的系統真空度是由水蒸汽噴射泵或機械真空泵所提供的,系統真空度變小不但需要消耗更多的蒸汽或電能來驅動上述抽真空設備,而且當系統真空度升至 76 kPa 左右時,塔頂操作溫度過低,循環冷卻水無法滿足需要,必須采用冷凍鹽水等制冷劑對其進行冷凝,造成裝置單位綜合能耗偏高,反而得不償失,一般來說系統真空度維持在 65 kPa 為宜。
為了驗證模擬優化結果的準確性,在最佳操作條件下使用減壓熱泵精餾裝置對甲醇污水回收工藝的實際運行效果進行了 3 次平行實驗。該減壓熱泵精餾裝置由西安朗源實驗儀器有限公司提供,包括減壓精餾塔、螺桿壓縮機、板式換熱器、氣液分離器、離心泵、取樣閥和抽真空系統等,各部分間采用 25mm 的不銹鋼管道連接,減壓精餾塔采用篩孔板,板間距為 300 mm,回流比用電磁三角漏斗的搖擺時間調節。結果表明,當 T-101 進料中的甲醇質量分數為 14. 736 5% 時,經減壓熱泵精餾處理后塔頂甲醇的平均質量分數為 95. 047 6% ,塔底甲醇的平均質量分數為 0. 028 5% ,完全滿足規定要求。具體聯系污水寶或參見http://m.dongaorq.cn更多相關技術文檔。
4 結論
( 1) 熱穩定性鹽和有機雜質的存在使甲醇污水體系的溫度-組成相圖在溶液依數性的作用下明顯上移,導致其交互作用參數較甲醇-水體系出現較大偏差,繼而造成后續模擬計算結果的準確度下降。
( 2) 利用 Aspen Properties 7. 2 對甲醇污水體系的汽液相平衡數據進行 NRTL-RK 模型的交互作用參數回歸關聯,所得結果可順利通過熱力學一致性驗證,其回歸參量標準偏差和回歸結果標準偏差僅為 0. 204 7,0. 985 0,完全能夠滿足后續模擬計算的準確度要求。
( 3) 在確保塔頂甲醇產品和塔底外排廢水達標的前提下,采用 Aspen Plus 7. 2 探討了進料中甲醇質量分數、理論塔板數、進料板位置、系統真空度與壓縮機功耗之間的相互關系,并對它們進行工藝優化。研究結果表明,在甲醇污水減壓熱泵精餾回收過程中,T-101 的進料中甲醇質量分數應盡量控制不低于 11% ,最佳理論塔板數為 14,最佳進料板位置為第 7 塊塔板,而系統真空度則維持在 65 kPa為宜。
( 4) 對甲醇污水減壓熱泵精餾回收工藝的最佳操作條件進行了可靠性驗證,當 T-101 進料中的甲醇質量分數為 14. 736 5% 時,經減壓熱泵精餾處理后塔頂甲醇的平均質量分數為 95. 047 6% ,塔底甲醇的平均質量分數為 0. 028 5% ,完全滿足規定要求。(西安石油大學 化學化工學院)




