1 引言(Introduction)
目前, 對顆粒污泥的研究多是關于如何快速培養、在不同進水條件(酸化與部分酸化)、不同生產工藝條件及在不同反應器中的特性等方面(郭徽等, 2018;邵享文等, 2018), 而關于含高濃度Ca2+的廢紙造紙廢水對生產性規模IC厭氧反應器中不同高度處顆粒污泥中古菌的影響還鮮見報道.產甲烷菌的最大產甲烷活性是評估顆粒污泥活性最重要的指標.產甲烷菌是一個特殊的、專門的生理群, 具有特殊的細胞成分和生理功能, 是嚴格的專性厭氧菌, 其產甲烷途徑有3種, 它們以乙酸、甲基化合物、H2/CO2為基質, 通過不同的反應途徑形成甲基輔酶M, 在甲基輔酶M還原酶的催化下最終形成甲烷.產甲烷菌對pH、氧濃度的高度敏感和以H2/CO2為基質產生甲烷的自養生長, 使產甲烷菌具有繁殖世代周期長的特點.因此, 一般情況下產甲烷是有機物甲烷化過程的限速步驟.有學者在研究高濃度造紙廢水厭氧處理中顆粒污泥的微生物多樣性時指出, 顆粒污泥中的古菌均為甲烷菌屬, 產甲烷菌包括食氫型產甲烷菌和食酸性型產甲烷菌兩個生理類群(尹礎等, 2008;易敏等, 2017).此外, 邢雅娟等(2019)在研究造紙廢水UMIC反應器中微生物的縱向分布特性時也發現, 系統內古菌在門分類水平上多樣性較低, 主要是廣古菌門和深古菌門, 在屬水平上主要包括Methanosaeta、norank_p_Bathyarchaeotea、Methanobacterium、Methanosarcina等.李江等指出, 在厭氧反應器中產生的CO2在水溶液中易生成HCO3-、CO32-, 再與系統中的Ca2+生成CaCO3沉淀在顆粒污泥的內部或表面, 從而使顆粒污泥中大量的產甲烷活性受損(Yang et al., 2010;李江等, 2012).但目前還少有對CaCO3沉淀具體是影響甲烷菌的哪種類型進行分析的研究.基于此, 本文針對造紙廢水中高濃度Ca2+與CO32-結合生成的CaCO3沉淀對顆粒污泥中產甲烷菌的影響進行分析, 以期能為延緩顆粒污泥的鈣化提供一定的參考, 找出最適合處理廢紙造紙廢水的微生物種類和配比.
2 材料與方法(Materials and methods)
2.1 材料
2.1.1 厭氧顆粒污泥特性及水質分析
取陜西某處理廢紙造紙廢水的IC厭氧反應器(進水容積負荷為10~15 kg·m-3·d-1, HRT為5 h, 上升流速為5 m·h-1, 進水量為600 m3·h-1)內不同高度處的顆粒污泥(AS2), 其取樣口見圖 1(1#和6#取樣口因凍結堵塞未能取樣).種泥是河南某淀粉廠的厭氧顆粒污泥(AS1), 樣品于-20 ℃的冰箱中保存待測.AS2顆粒較小, 平均粒徑為0.21 mm, 呈黑灰色.厭氧進水及厭氧出水COD分別為2829、1151 mg·L-1, 去除率為59.31%.厭氧進水和出水Ca2+濃度分別為6670、3893 mg·L-1, Ca2+在厭氧反應器中的截留率為41.63%, AS2的其他特征見表 1.AS1的MLVSS/MLSS為93.46%, 顆粒較大, 平均粒徑為0.35 mm, 呈青黑色空心的球形, 表面光潔.
圖 1

圖 1 IC反應器結構示意圖
表 1 AS2不同高度的污泥特征

2.1.2 實驗藥品及主要設備
實驗藥品無水乙醇、戊二醛、乙酸異戊酯、氯化鉀、氯化鈉、磷酸氫二鈉、磷酸二氫鉀、溴化鉀、氯化鐵、磷酸鈉、無水氯化鈣均為分析純.主要儀器包括X射線衍射儀(XRD, D8 Advancee, 德國布魯克Bruker)、紅外光譜儀(IR, Vertex70, 德國布魯克公司)、掃描電鏡-能譜儀(SEM-EDX, COXEM, 捷克TESCAN)、烘箱(FCD-3000, Serials)、COD快速測定儀(5B-2F, 連華科技)、紫外-可見-近紅外分光光度計(Cary 5000, 美國安捷倫).
2.2 分析方法
每個待測樣品設置3個平行樣, 分別進行如下的樣品預處理及測定.
2.2.1 顆粒污泥基本特征及水質的測定
顆粒污泥的MLSS、MLVSS采用標準方法測定, pH使用pH計測定, COD采用連華COD快速測定儀測定, 乙酸濃度采用乙酸鐵比色測定(薛超友等, 2018), 最后將各樣品3個平行樣的平均值作為測定結果計入表 1.
2.2.2 厭氧顆粒污泥的XRD分析
對厭氧顆粒污泥進行預處理, 每個樣品的各平行樣各取50 mL, 然后在105 ℃下烘干至恒重, 再將烘干后的樣品置于馬弗爐中在600 ℃下灼燒4 h, 灼燒完成后, 將各樣品的3個平行樣進行混合, 用石英研缽研細后粉體備用.利用XRD對污泥中的無機鹽進行晶型分析, 波長為0.1540 nm, 管電壓為40.0 kV, 管電流為40 mA, 掃描范圍為10°~80°, 步長為0.02, 掃描速度正常.
2.2.3 厭氧顆粒污泥的紅外光譜分析
每個樣品的各平行樣各取30 mL, 然后在40 ℃下烘干后將各樣品的3個平行樣進行混合, 研磨成粉, 最后稱取0.01 g粉末樣品與1 g KBr混合均勻, 倒入壓片模中, 在10~80 MPa壓力下加壓1~2 min, 得到全透明壓片.以純KBr壓片作為背景值, 在紅外光譜儀中測量樣品的吸光度, 測定范圍為4000~500 cm-1.
2.2.4 厭氧顆粒污泥的掃描電鏡-能譜分析
① 取樣與清洗:每個樣品的各平行樣各取50 mL, 靜置10 min, 去除上清液, 加入pH=7.4的磷酸鹽緩沖液(PBS, 由0.24 g KH2PO4、1.44 g Na2HPO4、8 g NaCl、0.2 g KCl加蒸餾水至1 L配制而成)至原體積, 并輕微振蕩混合, 沖洗3次, 以洗掉樣品表面的雜質、粘液等附著物, 再靜置, 自然沉淀, 去除上清液;②固定:向清洗好的顆粒污泥中加入2.5%的戊二醛溶液并淹沒樣品, 并置于4 ℃冰箱中固定8 h;③沖洗:固定好的顆粒污泥用PBS沖洗3次, 每次10 min;④脫水:采用梯度乙醇脫水, 將沖洗好的樣品依次置于30%、50%、70%、90%、95%、100%(體積比)的乙醇中各浸泡15 min(其中, 95%和100%乙醇分別浸泡2遍);⑤置換:分別用體積比為1:1的乙酸異戊酯和乙醇的混合液及純乙酸異戊酯各置換1次, 每次15 min;⑥干燥:將置換后的樣品小心取出, 放入濾紙疊成的小盒中, 置于干燥器中干燥8 h, 干燥后將各樣品的3個平行樣進行混合;⑦粘樣與噴金:將干燥且混合均勻的樣品用鑷子小心取出, 用導電膠把樣品粘附在鋁制托盤上, 之后在樣品表面用離子濺射鍍膜儀鍍一層金屬膜;⑧觀測:利用掃描電鏡掃描, 并用能譜儀分析元素組成.
2.2.5 厭氧顆粒污泥的古菌菌群生物多樣性分析
將樣品用冰袋冷凍運輸至北京某基因科技有限公司完成PCR擴增和測序, 具體步驟如下.
① 使用PowerSoil DNA Isolation Kit(MoBio Laboratories, Carlsbad, CA)提取樣品DNA, 在1%瓊脂糖凝膠上檢查基因組DNA的純度和質量, 電泳條件:電壓170 V, 時間30 min.然后將基因組DNA于-20 ℃下保存.
② 用引物序列為5′-ACGGGGYGCAGCAGGCGC GA-3′、5′-GGACTACVSGGGTATCTAAT-3′, 對區域16S V3~V4(344F-806R)進行PCR擴增.對每個樣品, 將10位數的條形碼序列添加到正向和反向引物的5′末端(由Allwegene Company, Beijing提供).使用25 μL反應液在Mastercycler Gradient(Eppendorf, Germany)上進行PCR, 其中含有12.5 μL 2×Taq PCR MasterMix、3 μL BSA(2 ng·μL-1)、2 μL引物(5 μmol·L-1)、2 μL模板DNA和5.5 μL ddH2O.PCR擴增程序為:94℃變性5 min, 35個熱循環(94 ℃變性30 s, 63 ℃退火30 s, 72 ℃延伸60 s), 最后72 ℃延伸7 min.使用QIAquick凝膠提取試劑盒(QIAGEN, Germany)純化PCR產物, 使用實時PCR定量, 并在公司進行測序.
③ 在Allwegene公司的Miseq平臺上進行深度測序.運行后, 使用Illumina Analysis Pipeline Version 2.6進行圖像分析、堿基調用和誤差估計.
④ 通過Illumina平臺進行Paired-end測序, 下機數據經過去除低質量reads(Q20, 90%標準過濾), 并剪除reads2尾部100 bp低質量序列、引物序列.
⑤ 通過COPE軟件(Connecting Overlapped Pair-End, V1.2.3.3), 利用重疊關系將雙末端測序得到的成對reads組裝成一條序列, 利用內部編寫程序去除兩端barcode序列、引物序列.Paired End Reads通過reads之間的overlap(19個堿基)關系拼接成Tags, 然后去掉barcode序列.為了得到高質量的Tags, 將拼接的Tags按照長度過濾, 進行去嵌合體等處理.
3 結果分析(Results and analysis)3.1 厭氧顆粒污泥的XRD-EDS分析
如圖 2a所示, AS2顆粒污泥結晶度較好, 與標準卡片譜圖對比表明, 顆粒污泥中的結晶成分主要為無機鹽CaCO3, 且以方解石的形式存在, 還有部分CaCO3以次穩定狀態的文石存在, 含有少量的FeCO3成分.AS2中5 m處顆粒污泥中除CaCO3外還含有草酸鈣和少量CaF2.如圖 1b所示, AS1顆粒污泥中的無機鹽主要是MgCO3、硅酸鈣, 還有少量CaCO3, 峰較為寬化, 非晶相較多.
圖 2

圖 2厭氧顆粒污泥X-射線衍射圖譜 (a.不同高度的AS2, b.AS1)
通過EDS分析檢測厭氧顆粒污泥內的元素組成及比例, 結果如表 2所示.由表可知, IC反應器中AS2隨著取樣高度的增加, Ca含量呈現先增加后減少的變化趨勢, 但5、7、10 m處顆粒污泥的Ca含量(百分比)遠高于2 m處顆粒污泥, 占1/3以上, 另外含量較高的是C和O元素, Mg、Fe等其他金屬元素含量較低.在AS1中Ca含量遠遠低于AS2中, 僅占1.81%, 含量最大的是C元素, 其次是O元素, 說明種泥中有機成分占主要地位.在AS2中, 隨著取樣高度的增加, 無機成分所占的比例也在增加, 這與表 1中MLVSS/MLSS的變化情況相符.結合XRD圖可進一步確定AS2中Ca的主要存在形式是CaCO3, 再與AS1比較可知, 這種CaCO3的形成主要是廢紙造紙廢水中高濃度Ca2+與CO32-結合而成.
表 2 顆粒污泥元素

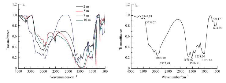
3.2 紅外光譜分析
為了比較IC反應器中不同高度的顆粒污泥AS2和AS1化學結構中各官能團的分布情況, 對AS2和AS1進行了紅外光譜分析(圖 3).AS2中2 m和7 m處顆粒污泥在一些特定區域(3300~2850、1750~1000、750~500 cm-1)存在相同的吸收帶, 但吸收峰分布有所差異.AS2中2 m處顆粒污泥在3696 cm-1處的吸收峰主要是由酸類物質的—OH伸縮振動導致(de Oliveira Silva et al., 2012;Liu et al., 2015), 這可能是因為這一區域主要發生了復雜有機物的水解酸化;各高度的AS2與AS1在3300~2850 cm-1處的吸收峰主要是由—OH和烷基上的不飽和—CH伸縮振動導致;1690~1500 cm-1處是雙鍵的伸縮振動區;在1475~1000 cm-1處的吸收峰是X—H面內彎曲振動及X—H伸縮振動區.其中, 由于厭氧顆粒污泥成分的復雜性和蛋白質的電負性, 使AS2 4個取樣口的泥樣都表現為CO32-特征, 在713、700~864、844~1090、1450~1410 cm-1之間有一定的吸收峰.AS2中7 m處顆粒污泥在1407.43 cm-1處的吸收峰是礦物質中的—OH拉伸振動導致;AS2中2、5、7 m處顆粒污泥在873~707 cm-1處出現的尖銳吸收峰代表芳香族化合物, 這主要是由于廢紙造紙廢水成分較為復雜, 含有較多的芳香族化合物(陳永靜等, 2008), 被微生物吸附富集導致.AS1與AS2的7 m處顆粒污泥呈現較為相似的紅外吸收帶, AS1中主要為O—H、N—H的伸縮振動和C—H的伸縮振動, 含較少的芳香族化合物, 沒有明顯的CO32-特征吸收峰帶, 這與XRD的分析結果大體上是相符的.具體聯系污水寶或參見http://m.dongaorq.cn更多相關技術文檔。
圖 3

圖 3不同高度的AS2(a)和AS1(b)的紅外光譜
3.3 SEM分析
為了分析ICR反應器中不同高度的AS2顆粒污泥和AS1的形態結構, 采用掃描電鏡(SEM)進行分析, 結果如圖 4所示.AS2中2 m處的顆粒污泥內除了分布有絲狀菌外, 還有少量桿菌和球菌, 同時還覆蓋有大塊的不規則沉淀物(圖 4 a1和a2);5 m處的顆粒污泥內有大量粒狀的團聚物和呈片狀的沉積物, 伴隨有少量的球菌及桿菌(圖 4 b1和b2);7 m處的顆粒污泥內粒狀團聚物和片狀沉積物更加密集, 孔隙中有桿狀菌存在(圖 4 c1和c2);10 m處的顆粒污泥因污泥濃度較低, 樣品處理后為稀少的粉末狀, 但仍可見顆粒內有少量桿菌和球菌存在, 同時存在少量絮狀物(圖 4 d1和d2);與AS2相比, AS1則有大量規則排列的管狀孔隙(圖 4e1和e2), 這些孔隙就成了顆粒污泥中微生物產生的生物氣和水中營養物質的傳輸通道, 一旦這些孔隙堵塞, 微生物的傳質過程就會嚴重受阻, 微生物活性也因此降低.
圖 4

圖 4厭氧顆粒污泥的微觀形態結構 (a、b、c、d與e分別為AS2的2、5、7、10 m處及AS1的顆粒污泥電鏡掃描圖)
3.4 古菌菌群高通量測序結果及分析
本研究利用Illumina MiSeq測序平臺對AS1及AS2的2、5、7 m處的顆粒污泥樣品進行測序, 結果如下.
3.4.1 Alpha多樣性分析
Alpha多樣性是對單個樣品物種多樣性的分析, 基于OTU的結果, 計算了樣品的Alpha多樣性(圖 5).Chao1多樣性估算值是根據所測的tags數和OTU數量及相對比例來預測樣品中微生物的種類(OTU數量), 是基于已知結果所得的相對值.Shannon指數是一個綜合OTU豐度和OTU均勻度兩方面因素的多樣性指數(Navarrete et al., 2015;Sengupta et al., 2015).由圖 5和圖 6的稀疏曲線可知, AS1的Chao1、Shannon指數、PD_whole_tree(Phylogenetic diversity)等均高于AS2, 說明種泥中物種更加豐富.稀疏曲線趨于平緩, 說明對所取樣本微生物群落的檢測比率接近飽和, 測序數量和測序深度都已足夠反映樣本的真實情況, AS2不同高度顆粒污泥中古菌的生物多樣性由多到少排序為:5 m>2 m>7 m.
圖 5

圖 5 Alpha多樣性分析盒型圖
圖 6

圖 6 AS1和AS2樣品的稀疏曲線 (AS2-1、AS2-2、AS2-3分別代表AS2的2、5、7 m處樣本)
3.4.2 Beta多樣性分析
在0.97的相似度下, 得到了每個樣品的OTU個數.PCA分析即主成分分析, 是將多維變量降成2個變量進行分析.樣本的第一主成分貢獻率達79.95%, 第二主成分貢獻率達18.35%, 結果顯示, AS1與AS2各自聚為一類(圖 7a).Flower OTU分析結果顯示, 4個樣本中共有95個OTU數, AS1中所特有的OTU數最多, AS2系統中5 m處樣品所特有的OTU數最多, 2 m處樣品次之, 7 m樣品處最少(圖 7b), 這與3.4.1節中的分析結果一致.
圖 7

圖 7 PCA分析(a)及Flower OTU分析(b)
聚類分析:基于Weighted Unifrac距離, 對樣本進行聚類分析(張飛燕等, 2018;程立君等, 2019), 樣本層級聚類分析結果表明(圖 8), AS2-3樣本與AS2-2樣本聚到一起, AS2-1與AS2-2、AS2-3分開, 說明AS2中2 m處的泥樣與5、7 m處的泥樣有一定的差異性, 而AS1與AS2的組成差異最大.
圖 8

圖 8樣本層級聚類分析
加權UniFrac的heatmap圖分析:通過對UniFrac結果的聚類, 具有相似Beta多樣性的樣品聚集在一起, 反映了樣品間的相似性(蘇瑤等, 2019), 具體結果如圖 9所示.根據顏色差異可以看出樣本之間的差異性, AS2中7 m處樣本與5 m處樣本相似性較高, 2 m處樣本與5、7 m處樣本具有一定的相似性, 結果與上述聚類分析的結果較為一致.
圖 9

圖 9加權UniFrac的heatmap
3.4.3 物種組成分析
門水平上菌群組成分析:AS1與AS2在門分類水平上的比較如圖 10所示.在AS1和AS2中占比最大的門類是廣古菌門, 所占比例都在90%以上;另一種主要的門類是深古菌門, 且AS1中深古菌門所占比例少于AS2中, 在AS2中隨著取樣高度的增加, 深古菌門所占的比例相對增加.深古菌具有多種生理生化功能, 參與甲烷代謝循環, 產乙酸, 異化還原亞硝酸鹽和硫酸鹽, 能降解蛋白質、多聚碳水化合物等有機質(陳玉連等, 2017).廣古菌門包含了古菌中的大多數種類、產甲烷菌的全部(施嘉駿等, 2018)、極高鹽度下生活的鹽桿菌和一些超嗜熱的好氧和厭氧菌.
圖 10

圖 10門水平上的菌群組成
屬水平上的菌群組成:古菌在整個微生物體系中所占的比例較小, 但對整個厭氧系統有著至關重要的作用.此處將從屬分類水平上分析各樣本的古菌菌群組成(圖 11).在AS1中Methanosaeta(產甲烷絲菌)占42.53%, Methanolinea(產甲烷繩菌)占22.38%, 氫營養型產甲烷菌Methanoregula占13.78%, Methanobacterium(產甲烷桿菌)占6.99%, Methanospirillum(產甲烷螺菌)占2.15%, 未鑒別的和其他菌類共占12.18%.可知AS1中的優勢菌分別為產甲烷絲菌、產甲烷繩菌、Methanoregula、產甲烷桿菌和產甲烷螺菌, 其相對豐度都大于1%.在AS2中2 m處的優勢菌分別為產甲烷絲菌(83.22%)、產甲烷繩菌(10.81%)、產甲烷螺菌(1.38%), Methanoregula降低到0.37%;相較于AS1, 產甲烷絲菌的占比增加了近1倍, 產甲烷桿菌、產甲烷繩菌和Methanoregula等占比減少, Methanosarcina(產甲烷八疊球菌)只占0.03%.在AS2中5 m處的優勢菌分別為產甲烷絲菌(85.56%)、產甲烷繩菌(2.78%), 產甲烷八疊球菌、產甲烷螺菌、Methanoregula分別占0.61%、0.45%、0.28%.在AS2中7 m處的優勢菌分別為產甲烷絲菌(89.86%)、產甲烷繩菌(1.43%)、產甲烷八疊球菌(1.21%), 產甲烷桿菌、Methanoregula、產甲烷螺菌分別占0.28%、0.26%、0.15%.由圖可知, 無論是在AS1中還是在AS2中最大的優勢菌都是產甲烷絲菌, 但在AS2中產甲烷絲菌平均占86.21%, 相對豐度大幅度增加.
圖 11

圖 11屬水平上的菌群組成
在AS2中隨著高度的增加, 產甲烷八疊球菌和產甲烷絲菌的相對豐度呈現遞增的趨勢, Methanoregula、產甲烷螺菌和產甲烷繩菌則呈現遞減的變化趨勢.根據產甲烷菌可利用的底物類型, 可分為氫營養型、乙酸營養型和甲基營養型3種.厭氧消化過程中代謝乙酸的產甲烷菌有兩類:產甲烷八疊球菌和產甲烷絲菌(楊秀山等, 1998), 產甲烷絲菌為顆粒污泥的形成提供了骨架, 從而加速了污泥的顆粒化進程.有學者認為在自然界中乙酸營養型產甲烷菌的種類較少, 只有產甲烷絲菌和產甲烷八疊球菌, 但這兩種產甲烷菌在厭氧反應器中居多, 特別是前者, 因為在厭氧反應器中乙酸是主要的產甲烷基質, 一般來說, 70%左右的甲烷來自乙酸的分解.而產甲烷八疊球菌中的Methanosarcina barkeri除了以乙酸為基質外, 還能以甲醇、甲胺、H2/CO2為代謝基質(端允等, 2010;Aresta et al., 2016;王祥錕等, 2016;Batsone et al., 2016;Zabranska et al., 2017).Methanoregula、產甲烷螺菌和產甲烷桿菌是氫營養型產甲烷菌, 以H2/CO2和甲酸鹽為基質, 它們能夠利用H2為電子供體, CO2為電子受體, 通過電子傳遞還原CO2為CH4(Luo et al., 2016).由各樣本的菌群組成可知, AS1中氫營養型甲烷菌和乙酸營養型甲烷菌分別占45.29%、42.6%, 在IC反應器中氫營養型甲烷菌少于17%, 乙酸營養型甲烷菌多于83.28%.可以看出, IC反應器內的CaCO3沉淀對顆粒污泥中的氫營養型甲烷菌具有較大的抑制作用.
IC反應器較大的高徑比將具有不同生理生態特征的微生物分布在反應器的不同高度, 使其各自在適宜的環境條件下發揮最佳的代謝活性.有機物在厭氧消化過程主要包括水解發酵階段、產氫產乙酸階段、同型產乙酸階段和產甲烷階段.在第一階段, 復雜有機物(如碳水化合物、蛋白質、脂肪等)轉化成小分子有機物, 如脂肪酸(丙酸、丁酸等)、簡單基質(甲胺、甲醇、甲酸、乙酸和H2/CO2等)及醇類物質, 兩個碳以上的有機酸不能被甲烷菌直接利用, 因此, 又在產氫產乙酸菌的作用下分解成乙酸和CO2, 進而為甲烷菌提供代謝基質.班巧英等(2018)的研究表明, 氫營養型產甲烷菌比乙酸型產甲烷菌更耐酸, 氫營養型產甲烷菌主要分布在ABR反應器的1、2格室中, 乙酸營養型產甲烷菌主要分布在3、4格室.在IC反應器的下層首先進行的是水解發酵, 此時丙酸是系統中的主要有機酸, pH較低, 乙酸營養型產甲烷菌受到一定程度的抑制, 而氫營養型的產甲烷菌具有更強的耐酸能力, 能與食丙酸菌協同作用, 利用丙酸等分解的H2/CO2及甲酸甲胺等物質, 更適應這樣的酸性環境.隨著高度的上升, 乙酸濃度增加, 丙酸等濃度降低, 系統中pH也在增加(表 1), 生長環境和代謝基質方面都更加有利于乙酸營養型產甲烷菌的繁殖, 最終表現為隨著反應器高度的增加其數量也增加.
由以上的分析結果可知, AS1中氫營養型甲烷菌占45.29%, 在IC反應器中氫營養型甲烷菌卻少于17%, 氫營養型甲烷菌的相對豐度銳減, 表明CaCO3沉淀主要是對顆粒污泥中的氫營養型甲烷菌具有較大的抑制作用.氫營養甲烷菌是以H2/CO2為基質產甲烷的一類自養型產甲烷菌, 通過提高這類甲烷菌的相對比例, 從而可以減少系統中的CO2含量, 同時又能降低系統的氫分壓, 最終可以促進產甲烷階段的順利進行, 又可以減弱系統中CO2對CO32-的貢獻, 繼而減少Ca2+與CO32-結合生成CaCO3沉淀在顆粒污泥上, 最終能達到延緩顆粒污泥鈣化的目的.
4 結論(Conclusions)
1)在處理廢紙造紙廢水的生產性IC反應器內, 隨著反應器高度的增加, 顆粒污泥中的無機成分也隨著增加;結合XRD和EDS結果分析可知, 顆粒污泥內的無機成分主要是CaCO3, 而在種泥中的鈣含量只有1.81%, 顆粒污泥的有機質含量較高.
2)顆粒污泥在高鈣廢水的長期作用下, 隨著反應器高度的增加, 氫營養型產甲烷菌的相對豐度降低, 以Methanoregula、Methanospirillum和Methanolinea為代表, 乙酸營養型產甲烷菌的相對豐度呈現遞增的趨勢, 以Methanosarcina和Methanosaeta為例, Methanosaeta是各自系統中最主要的優勢菌.IC反應器中不同高度處古菌的生物多樣性由高到低的順序為:5 m>2 m>7 m, 5 m處的古菌物種更加豐富.
3)AS1和AS2顆粒污泥中古菌在門分類水平上主要包括Euryarchaeota和Bathyarchaeota, 兩者之和占90%以上.在屬分類水平上, 主要包括Methanosaeta、Methanoregula、Methanobacterium、Methanosarcina、Methanolinea、Methanospirillum等.
4)AS1中氫營養型甲烷菌占45.29%, 在IC反應器中卻少于17%, 可以看出, CaCO3沉淀使顆粒污泥的產甲烷活性降低, 主要表現為其對氫營養型甲烷菌具有較大的抑制作用.(來源:環境科學學報 作者: 張安龍)


