傳統的生物脫氮除磷技術(biological nutrient removal, BNR)作為應用最廣泛的污水處理技術之一, 多年來一直備受關注.然而, 低C/N比的城市污水無法滿足傳統BNR中聚磷菌和反硝化細菌的碳源需求, 從而導致其生物脫氮除磷性能難以進一步提升.城市污水處理廠進水碳源不足導致低脫氮除磷效率的難題一直是傳統BNR難以突破的瓶頸. “十三五”以來, 隨著國家水體治理的穩步推進, 城市污水處理廠勢必將面臨更為嚴格的出水水質標準, 這其中氮和磷的降低至關重要.因此, 有必要尋找進一步提升傳統BNR脫氮除磷效率的方法, 為實現傳統BNR工藝強化脫氮除磷奠定理論與技術基礎.
面對進水碳源不足的問題, 傳統BNR城市污水處理廠通常的處理對策是外加優質碳源, 如乙酸鈉、葡萄糖、甲醇和乙醇等.但是, 高昂的藥品費用會給城市污水處理廠帶來更大的經濟負擔, 而且外加優質碳源也會產生更多的剩余污泥, 因此, 這種方法在實際應用中受到了一定程度的限制.除此之外, 研發能降低碳源需求的新型工藝(短程硝化反硝化、厭氧氨氧化)也是污水處理廠解決進水碳源不足的另一條途徑.然而, 由于各種原因的限制, 致使新型工藝在國內城市污水處理廠中幾乎沒有成功應用的案例.
除了上述兩種對策以外, 面對城市污水處理廠進水碳源不足的問題, 具有針對性地改造、優化現有污水處理廠結構和工藝也是提高城市污水處理廠脫氮除磷性能的有效途徑, 且相對而言更加經濟、現實.比如Cao等應用改良四段式分段進水工藝處理低C/N城市污水, 其研究表明當4段A/O的流量分配比例為20:35:35:10時, 系統處理效率達到最佳, 此時系統平均出水COD、NH4+-N、TN和TP濃度分別為33.05、0.58、9.26和0.46mg·L-1;Peng等在三段式分段進水工藝中同樣實現了深度脫氮除磷的目的.大量研究表明, 流量分配對生物脫氮除磷性能有著重要的影響.然而, 究竟是哪些微生物在發揮著至關重要的作用卻鮮見報導.基于此, 本文以低C/N(C/N<5)實際城市生活污水為研究對象, 通過由傳統式厭氧段進水向預缺氧和厭氧兩段及預缺氧、厭氧和缺氧3段進水方式的轉變, 探討分段進水對改良A2/O工藝脫氮除磷和污泥沉降性能的影響;除此之外, 還分析了不同進水流量分配比例下系統內部分微生物種群結構的變化規律, 以期建立分段進水改良A2/O工藝宏觀表現與微觀結構的內在關聯.
1 材料與方法
1.1 試驗裝置及運行方式
中試反應器的平面示意如圖 1所示. A2/O反應器由厚約10 mm的方形鋼板焊接制成, 其整體尺寸為長3.7 m, 寬1.5 m, 高2.0 m, 有效容積為7.8 m3;反應器內部設置了數塊隔板, 將反應器分割成11塊相連的區域, 依次為預缺氧區、厭氧區、缺氧區和好氧區, 體積比為1:1:2:3;通過對隔板上下開孔的方式, 保證了反應器內部污水的流態;反應器不同區域的進水流量通過閥門與電磁流量計控制, 溶解氧濃度通過轉子流量計控制.
圖 1

中試反應器持續運行120 d, 共分為以下5個階段:階段Ⅰ(0~23 d), 傳統式厭氧進水;階段Ⅱ(24~47 d), 預缺氧區與厭氧區兩段進水, Q預缺:Q厭=0.3:0.3;階段Ⅲ(48~71 d), 預缺氧區、厭氧區與缺氧區3段進水, Q預缺:Q厭:Q缺=0.2:0.2:0.2;階段Ⅳ(72~95 d), Q預缺:Q厭:Q缺=0.1:0.2:0.3;階段Ⅴ(96~119 d), Q預缺:Q厭:Q缺=0.1:0.1:0.4.整個試驗過程中, 總進水流量控制在0.6 m3·h-1, 溫度采用恒溫器維持在25℃±1℃.反應器的其它工況參數如表 1所示.
表 1 中試反應器工況控制參數

1.2 試驗用水及接種污泥
中試反應器的進水為西安市某污水處理廠曝氣沉砂池的出水, 該城市污水處理廠的處理規模為20萬m3·d-1, 采用的污水處理工藝為傳統A2/O工藝, 其進水水質如表 2所示.反應器活性污泥取自該污水處理廠好氧池的活性污泥, 污泥維持了較高的活性, 經過30d的馴化與適應, 系統對各項污染物的去除性能趨于穩定狀態.
表 2 中試反應器進水水質

1.3 試驗指標
污泥體積指數(SVI)、混合液懸浮固體濃度(MLSS)、混合液揮發性懸浮固體濃度(MLVSS)、COD、NH4+-N、NO3--N、TN、PO43--P和TP濃度的測定方法均采用標準方法. DO、pH和水溫監測均采用哈希公司WTW多功能自動測定儀 .
不同試驗階段的污泥樣均取自該階段后3 d的好氧池, 經離心機分離去除上清液后置于-20℃保存備用.采用CTAB或SDS方法對樣本的基因組DNA進行提取, 之后利用瓊脂糖凝膠電泳檢測DNA的純度和濃度, 取適量的樣品于離心管中, 使用無菌水稀釋樣品至1 ng·μL-1.以稀釋后的基因組DNA為模板, 根據測序區域的選擇, 使用帶Barcode的特異引物, New England Biolabs公司的Phusion® High-Fidelity PCR Master Mix with GC Buffer和高效高保真酶進行PCR, 確保擴增效率和準確性.引物對應區域:16S V4區引物(515F和806R);16S V3-V4/16S V4-V5區.使用Thermofisher公司的Ion Plus Fragment Library Kit 48 rxns建庫試劑盒進行文庫的構建, 構建好的文庫經過Qubit定量和文庫檢測合格后, 使用Thermofisher的Life Ion S5TM或Ion S5TMXL進行上機測序.使用Cutadapt先對reads進行低質量部分剪切, 再根據Barcode從得到的reads中拆分出各樣品數據, 截去Barcode和引物序列初步質控得到原始數據, 經過以上處理后得到的reads需要進行去除嵌合體序列的處理, reads序列通過與數據庫(gold database)進行比對, 檢測嵌合體序列, 并最終去除其中的嵌合體序列, 得到最終的有效數據.
2 結果與討論
2.1 不同進水流量下污染物的去除性能
不同進水比例下系統對污染物的去除效果如圖 2所示.從圖 2(a)中可以看出, 5種流量分配比例下, 系統各階段出水COD平均濃度分別為31.74、30.97、30.21、30.10和30.49mg·L-1, 平均去除率分別為88.78%、89.38%、89.06%、89.41%和89.08%, 由此可見不同進水流量比例對系統COD的去除效果影響不大, 系統在5個階段均有較好的COD去除效率, 這與南彥斌等的研究成果相符.從圖 2(b)中可以看出, 系統各階段出水NH4+-N濃度變化不大, 平均出水濃度分別為1.16、1.15、1.18、1.85和1.23mg·L-1, 平均去除率分別為97.14%、97.32%、97.23%、95.30%和96.82%, 整個試驗過程中系統均具有較強的硝化性能, 這與系統好氧區具有充足的水力停留時間(5.25 h)和溶解氧濃度(2~3mg·L-1)直接相關.從圖 2(c)和2(d)中可以看出, 進水流量分配比例對系統TN和TP的去除均有著較明顯的影響.系統出水TN平均濃度分別為14.49、13.48、11.74、9.41和9.05mg·L-1, 平均去除率分別為73.63%、76.17%、79.66%、83.00%和83.68%;系統平均出水TP濃度分別為0.86、0.57、0.72、0.71和1.10mg·L-1, 平均去除率分別為88.04%、91.97%、89.58%、90.09%和81.97%.從以上數據可以看出, 在改良A2/O工藝其它條件不變的情況下, 與傳統厭氧區單段進水的模式相比, 預缺氧、厭氧兩段和預缺氧、厭氧及缺氧三段進水的模式可以提高系統脫氮除磷的性能;然而, 進一步降低厭氧段進水流量會使PAOs厭氧釋磷所需的碳源匱乏, 從而降低系統除磷性能.因此, 從階段Ⅰ~Ⅴ, TN去除率呈上升的趨勢, TP去除率呈先上升后降低的趨勢.綜合考慮下, 系統在階段Ⅳ(Q預缺:Q厭:Q缺=0.1:0.2:0.3)對污染物的去除效果達到最佳狀態, 此時出水COD、NH4+-N、TN和TP的平均濃度分別為30.10、1.85、9.41和0.71mg·L-1, 去除率分別為89.41%、95.30%、83.00%和90.09%.
圖 2

2.2 有機物去除機制及相關菌屬相對豐度變化
不同進水比例下COD在反應器內的沿程變化如圖 3所示.可以看出, 不同階段下反應器內各個功能區對COD的去除情況變化不大, COD主要在系統厭氧和缺氧區去除.通過物料衡算分析可得, 各階段下厭氧和缺氧區對COD的去除量分別占COD去除總量的74.56%、78.22%、81.60%、84.58%和86.72%, 因此COD的主要去除途徑是通過聚磷菌、反硝化細菌及其他異養型細菌代謝活動的有效利用. 圖 4為各階段系統進出水COD組分濃度變化及BCOD去除情況, 可以看出, 與傳統厭氧區單段進水的模式相比, 預缺氧、厭氧兩段和預缺氧、厭氧及缺氧三段進水的模式可在一定程度上提高微生物對BCOD的利用效率, 從而改善不同微生物的活性.
圖 3

圖 4

通過對各階段好氧區活性污泥16S rRNA基因測序數據的梳理, 可以發現系統內大量異養型細菌在屬水平上的相對豐度都隨著試驗的進行而得到不同程度的提升, 其中較為公認的且相對豐度變化規律較為明顯的6類異養型菌屬及所屬菌門如表 3所示.可以看出, 與傳統厭氧區單段進水的模式相比, 預缺氧、厭氧兩段和預缺氧、厭氧及缺氧三段進水的模式可提高原水中碳源的利用效率, 從而使Thauera、Dechloromonas、Candidatus_Accumulibacter、Bacillus、Flavobacterium和Denitratisoma在屬水平上的相對豐度得到不同程度提高.階段Ⅴ的進水模式更有利于這6類異養型菌屬的富集, 其相對豐度總和與階段Ⅰ相比提高了31.23%.因此, 預缺氧、厭氧及缺氧三段進水的模式更有利于這6類異養型菌屬的富集, 這與系統較高的COD去除效率密切相關.具體聯系污水寶或參見http://m.dongaorq.cn更多相關技術文檔。

表 3 各階段下系統內異養型菌屬的相對豐度
2.3 氮去除機制及相關菌屬相對豐度變化
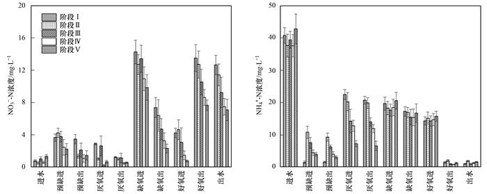
不同進水比例下NO3--N和NH4+-N在反應器內的沿程變化如圖 5所示.從圖 5(a)中可以看出, NO3--N的去除主要發生在反應器內缺氧區, 且在相同的HRT(3.5 h)內, 缺氧區去除的NO3--N隨著其進水流量分配比例的增大而增加.通過反硝化速率測定試驗可以得出, 從階段Ⅰ~Ⅴ系統缺氧區反硝化速率分別為2.14、2.44、3.15、3.56和3.86mg·(g·h)-1.因此, 與傳統厭氧區單段進水的模式相比, 預缺氧、厭氧兩段和預缺氧、厭氧及缺氧三段進水的模式可極大程度地提高A2/O系統的反硝化性能, 從而保證系統TN的去除效率.從圖 5(b)中可以看出, NH4+-N的去除主要發生在反應器內好氧區, 且不同的進水模式對A2/O系統的硝化性能影響不大, 系統在各個階段均具有較強的硝化性能.結果表明, 氮在系統內的去除主要是通過傳統的好氧硝化作用和缺氧反硝化作用完成的, 預缺氧、厭氧及缺氧三段進水的模式可極大程度地提高A2/O系統的反硝化性能, 從而保證了TN的去除效率.
圖 5

通過對各階段好氧區活性污泥16S rRNA基因測序數據的梳理, 發現了系統內有4類反硝化細菌在屬水平上的相對豐度隨著試驗的進行而得到較明顯的提升, 如表 4所示.可以看出, 與傳統厭氧區單段進水的模式相比, 預缺氧、厭氧兩段和預缺氧、厭氧及缺氧三段進水的模式可提高缺氧區反硝化細菌的代謝活性, 從而使Pseudomonas、Thauera、Denitratisoma和Thermomonas在屬水平上的相對豐度得到不同程度提高.階段Ⅴ的進水模式更有利于這4類反硝化菌屬的富集, 其相對豐度總和與階段Ⅰ相比提高了42.86%.因此, 預缺氧、厭氧及缺氧三段進水的模式更有利于這4類反硝化菌屬的富集, 這與系統較強的反硝化性能密切相關.

表 4 各階段下系統內反硝化菌屬的相對豐度
2.4 磷去除機制及相關菌屬相對豐度變化
不同進水比例下PO43--P在反應器內的沿程變化如圖 6所示.從中可以看出, 在傳統厭氧區單段進水的模式下, 系統對PO43--P的去除是通過PAOs的厭氧釋磷和好氧攝磷實現的;而預缺氧、厭氧兩段和預缺氧、厭氧及缺氧三段進水的模式將PO43--P的去除途徑改變為厭氧釋磷和缺氧、好氧攝磷. 圖 7為各階段下DPAOs/PAOs和缺氧除磷量/總除磷量的變化規律, 可以看出多段進水的模式給預缺氧和厭氧段的PAOs分配了更多的碳源, 使其充分釋磷并合成大量內碳源, 為反硝化除磷的發生創造了必要條件.在三段進水的模式下, 缺氧段除磷量隨著缺氧段進水比例的增加而減少, 這是因為更多的NO3--N被反硝化細菌去除, 降低了DPAOs反硝化除磷所需的電子受體, 從而降低了系統反硝化除磷的性能.
圖 6

圖 7

通過對各階段好氧區活性污泥16S rRNA基因測序數據的梳理, 發現了系統內有5類PAOs在屬水平上的相對豐度隨著試驗的進行表現出較明顯的規律, 如表 5所示.可以看出, 與傳統厭氧區單段進水的模式相比, 預缺氧、厭氧兩段和預缺氧、厭氧及缺氧三段進水的模式可提高系統PAOs的代謝活性, 從而使Dechloromonas、Candidatus_Accumulibacter、Acinetobacter、Tetrasphaera和Aeromonas在屬水平上的相對豐度得到不同程度提高.階段Ⅱ的進水模式更有利于這5類PAOs的富集, 其相對豐度總和與階段Ⅰ和Ⅲ相比分別提高了32.07%和13.99%.因此, 預缺氧、厭氧兩段進水的模式更有利于這5類PAOs的富集, 這與系統在階段Ⅱ較強的除磷性能密切相關.

表 5 各階段下系統內聚磷菌屬的相對豐度
2.5 污泥性狀及相關菌屬豐度變化
不同進水比例下系統好氧池內MLSS、MLVSS和SVI如圖 8所示.據相關資料顯示良好的活性污泥SVI一般在130 mL·g-1以下.從中可以看出, 隨著試驗的進行, 系統好氧池活性污泥平均SVI由階段Ⅰ的140.66 mL·g-1降至階段Ⅴ的112.09 mL·g-1;與此同時, 好氧池活性污泥平均VSS/TSS由階段Ⅰ的0.73升至0.84. 結果表明, 預缺氧、厭氧及缺氧三段進水的模式可以改善系統活性污泥的沉降性能與活性.分析原因是三段進水的模式, 增大了系統內底物濃度梯度, 菌膠團能夠迅速利用底物并將大量底物以PHA的形式貯存起來, 較高的底物貯存能力有利于抑制絲狀菌在好氧條件下的優勢生長, 從而能夠維持系統良好的沉降性能;好氧段適宜的HRT、SRT及DO濃度也為菌膠團的生長提供了有利的生存環境.因此, 隨著試驗的進行, 系統活性污泥的沉降性能也在逐漸改善, 整個試驗階段均未發生污泥膨脹現象.
圖 8

通過對各階段好氧區活性污泥16S rRNA基因測序數據的梳理, 發現了系統內分別有3類絲狀菌和2類菌膠團在屬水平上的相對豐度隨著試驗的進行表現出較明顯的規律, 如表 6所示.可以看出, 與傳統厭氧區單段進水的模式相比, 預缺氧、厭氧兩段和預缺氧、厭氧及缺氧三段進水的模式更有利于絲狀菌的淘汰、菌膠團的富集, 從而使Thiothrix、Candidatus_Microthrix和Trichococcus在屬水平上的相對豐度得到不同程度的降低;Zoogloea和Acidaminobacter在屬水平上的相對豐度得到不同程度的提高.因此, 預缺氧、厭氧兩段和預缺氧、厭氧及缺氧三段進水的模式更有利于這3類絲狀菌的淘汰、2類菌膠團的富集, 這與系統較好的污泥沉降性能密切相關.

表 6 各階段下系統內絲狀菌屬和菌膠團屬的相對豐度
3 結論
(1) 預缺氧、厭氧兩段和預缺氧、厭氧及缺氧三段進水的模式可有效提高A2/O系統的脫氮除磷性能, 最佳進水比例為Q預缺:Q厭:Q缺=0.1:0.2:0.3, 此時出水COD、NH4+-N、TN和TP的平均濃度分別為30.10、1.85、9.41和0.71 mg·L-1, 去除率分別為89.41%、95.30%、83.00%和90.09%.
(2) 多段進水優化了A2/O系統厭氧段和缺氧段中碳源的供給, 從而提高了系統BCOD的去除效率、反硝化脫氮和反硝化除磷性能, 這分別與6類異養型菌屬、4類反硝化菌屬及5類聚磷菌屬的富集密切相關.
(3) 多段進水可改善A2/O系統活性污泥的沉降性能與活性, 系統階段Ⅴ的SVI和VSS/TSS分別為112.09 mL·g-1、0.84, 這與3類絲狀菌屬的淘汰和2類菌膠團菌屬的富集密切相關.(來源:環境科學 作者:榮懿)


