印染廢水的治理是當今環境方面亟待解決的問題之一, 其具有色度高、可生化性差、有機物含量高等特點, 是工業廢水中較難處理的廢水之一.當前國內外采用高級氧化法、吸附法和膜分離技術對染料廢水處理進行了廣泛研究, 以上技術對染料廢水處理均能達到一定效果, 但因工藝復雜和處理成本高, 其在實際應用中并不多.在實際工程應用中, 化學混凝法仍是應用較為廣泛的處理技術, 一般膜分離技術和氧化法都需與混凝法相結合才能對染料廢水達到較高的凈化率, 故開發新型復合混凝劑對于染料廢水處理具有重大意義.對于混凝法在染料廢水處理方面的應用, 郭玥等對比了不同種類鋁系混凝劑對印染廢水的處理效果, 當Al13達到最優投加量80 mg·L-1時, 其對染料廢水的SS、色度和COD去除率分別達到92.47%、88.49%和80.47%.羊小玉等制備的新型聚合氯化鋁鐵復配混凝劑對活性染料去除率可達90%以上.隋智慧等[8]用煤矸石和硫鐵礦燒渣作原料制備一種無機高分子混凝劑聚硅酸鋁鐵(PSAF), 其對印染廢水的色度和COD去除率分別可達88.6%和81.2%. Tang等將鐵錳金屬氧化物負載于顆粒活性炭催化臭氧氧化去除染料, 與單獨臭氧相比, 染料廢水的TOC去除率提高了24.5%.李天舒等采用高錳酸鉀和硫酸亞鐵反應制備鐵錳復合氧化物對活性黑有較強的吸附能力, 推測出鐵錳復合氧化物中豐富的表面羥基(Mn—OH、FeOOH官能團等)在吸附過程中起到了重要作用.劉可等采用FeSO4和KMnO4反應制備鐵錳氧化物, 比較了Fe2(SO4)3和FeSO4/KMnO4兩種混凝工藝的混凝效能, 結果表明, 在相同條件下, FeSO4/KMnO4的混凝效能比Fe2(SO4)3要好.但對于含鐵錳硅酸鹽復配混凝劑的制備及其去除染料的相關研究很少.鐵、錳元素大量存在于自然環境中, 其對環境中污染物的遷移和轉化具有十分重要的作用和意義.且錳所帶電荷可變性強、比表面積大并且具有很高的氧化還原活性.另外聚硅酸帶有負電荷, 可作為鋁鹽、鐵鹽等傳統無機混凝劑的輔助藥劑, 形成聚硅酸金屬鹽復合混凝劑.
因此, 本文利用硅酸鈉、硫酸亞鐵和高錳酸鉀為原料制備新生態型復配混凝劑聚硅酸鐵錳(polysilicate ferromanganese, PSFM), 以直接大紅、分散藍和活性黃染料廢水為處理對象進行混凝模擬實驗, 探索了堿度和濁度等因素對PSFM混凝去除染料性能影響并與聚硅酸鐵(PSF)、Al2(SO4)3和FeCl3等常規混凝劑進行對比研究, 利用掃描電子顯微鏡(SEM)和傅里葉紅外(FTIR)等高級表征手段對PSFM進行了表征, 對混凝過程中的混合液和絮體進行Zeta電位和絮體粒徑在線監測, 初步探索PSFM混凝去除染料的機制, 以期為相關印染廢水的處理提供參考.
1 材料與方法1.1 實驗材料
試劑:硅酸鈉、硫酸亞鐵、三氯化鐵、高錳酸鉀、硫酸鋁、高嶺土、硫酸、鹽酸、氫氧化鈉和碳酸氫鈉等化學試劑購自國藥集團化學試劑有限公司, 均為分析純.直接大紅、分散藍和活性黃染料購自安譜實驗科技股份有限公司, 分子式分別為C32H22N6Na2O6S2、C14H9Br N2O4和C21H17ClN8O7S2, 相對分子質量分別為696.66、349.14和592.99, 其分子結構式如圖 1.實驗用水為去離子水.
圖 1

儀器:KQ-300DE型數控超聲波清洗器, 昆山市超聲儀器有限公司. MY3000-6F型六聯動混凝攪拌儀, 武漢市梅宇儀器有限公司. CJB-S-10D型磁力攪拌器, 鄭州艾特儀器. DHG-9146A電熱恒溫干燥箱, 上海精宏實驗設備有限公司. AB104-N電子天平, 上海上平儀器有限公司.日立U-2910紫外分光光度計, 昆山安富利化工有限公司. PHSJ-5型pH計, 上海儀電科學儀器股份有限公司. ZS90型納米粒度及Zeta電位分析儀, 上海葵園電子科技有限公司. Motif AE31型光學顯微鏡, 麥克奧迪實業集團有限公司.
1.2 實驗方法1.2.1 PSFM的制備
(1)配置體積為400 mL、濃度為0.15 mol·L-1的Na2SiO3, 將其加入到一定量的體積分數為25%硫酸溶液中至pH為3, 室溫下聚合30 min, 制得半成品聚硅酸(PS).
(2) 稱取0.06 mol的FeSO4·7H2O加入到體積為50 mL、體積分數為5%的稀硫酸溶液中直至溶解.
(3) 按照鐵錳摩爾比為5:1稱取0.012 mmoL的KMnO4固體, 備用.
(4) 將步驟(2)所得試劑與一定體積的PS迅速混合.
(5) 將步驟(3)稱取的藥品加入到步驟(4)所得溶液中, 保持200 r·min-1轉速攪拌直至完全溶解并陳化24 h, 即得聚硅酸鐵錳(PSFM)復配混凝劑.
1.2.2 聚硅酸鐵(PSF)的制備
(1) 配置體積為400 mL、濃度為0.15 mol·L-1的Na2SiO3, 將其加入到一定量的體積分數為25%硫酸溶液中至pH為3, 室溫下聚合30 min, 制得半成品聚硅酸(PS).
(2) 稱取0.06 mol的FeCl3溶解在50 mL去離子水中.
(3) 將步驟(2)稱取的藥品加入到步驟(1)所得溶液中, 保持200 r·min-1轉速攪拌并陳化24 h, 即得聚硅酸鐵(PSF)混凝劑.
1.2.3 模擬水樣
分別取0.5 g直接大紅、分散艷藍和活性黃染料于1 000 mL容量瓶中, 定容至刻度線, 即得500 mg·L-1的染料儲備液, 備用.使用時, 將儲備液分別稀釋10倍于500 mL燒杯中, 即得50 mg·L-1的染料廢水.用NaHCO3儲備液調節染液堿度(以CaCO3計), 單位為mg·L-1.只有在2.3節中研究濁度對PSFM去除染料影響的實驗中, 向模擬染料廢水中加入高嶺土懸浮液以模擬實際水體中的懸浮顆粒物, 其它實驗過程均沒有高嶺土懸浮液的引入.
1.2.4 混凝實驗
采用標準燒杯攪拌實驗, 所有樣品均設3組平行.實驗混凝條件為:200 r·min-1快速攪拌30 s, 40 r·min-1慢速攪拌10 min, 靜置30 min.混凝結束后, 在距液面2 cm處取上清液進行分析測定, 計算染料去除率. PSFM與聚硅酸鐵(PSF)的投加量以其中的Fe元素濃度計量, Al2(SO4)3和FeCl3的投加量分別以Al元素和Fe元素的濃度計量.
1.2.5 絮體監測
應用Mastersizer 2000激光粒度儀對混凝過程中形成的絮體在線監測, 監測過程中, 水樣呈循環狀態.置于激光粒度儀樣品池后端的蠕動泵作為循環的驅動力, 將絮體引入樣品池進行測定, 固定并限制蠕動泵的轉速以進一步降低絮體破碎的影響, 連接各端的管路的內徑約為5.0 mm.本研究主要監測絮體生長達到平衡后的粒徑, 以D50(μm)代表絮體的平均粒徑.
2 結果與討論2.1 PSFM的表征
為了對PSFM復配混凝劑表面形貌和結構的研究, 將其置于-60℃冷凍干燥器中冷凍干燥48 h并用研缽研磨, 得固體粉末狀PSFM復配混凝劑. 圖 2分別為PSFM復配混凝劑放大1×103倍、2×103倍和1×104倍后的掃描電鏡圖, 從圖 2(a)和2(b)可以看出, PSFM中有大量塊狀晶體存在, 同時大塊晶體周圍分布著無數細小顆粒.從圖 2(c)發現, 該混凝劑主體部分呈現長鏈狀, 周圍還分布類似于枝杈短鏈, 該結構能有效增強PSFM復配混凝劑的橋聯聚合和網捕卷掃作用.這是因為硅酸脫水縮合形成長長的主鏈, 向聚硅酸中引入鐵、錳金屬離子后, 鐵、錳金屬離子及它們的聚合離子被吸附、螯合或發生Si—O—Fe(Mn)配位鍵等作用, 使其結構發生如此變化.該長鏈周圍還有部分小顆粒狀物質存在, 這部分顆粒狀物質可能是鐵錳復合物團聚所致.
圖 2
圖 3為PSFM的紅外光譜(FTIR)圖, 469 cm-1處是FeOOH的吸收峰[20], 602 cm-1處是Si—OH—Fe、Si—OH—Mn的彎曲振動, 1 039 cm-1為Si—O—Fe、Si—O—Mn的彎曲振動峰[21], 1 172 cm-1為Fe—O、Mn—O的伸縮振動[22], 1 635 cm-1是氫氧化鐵中羥基的彎曲振動峰[23, 24], 3 432 cm-1附近是由絮凝劑中的—OH以及吸附的水分子和配位水分子產生的—OH伸縮振動產生的吸收峰[25].以上分析表明Fe離子和Mn離子與Si通過—O—或—OH形成高聚化合物, 其將聚硅和鐵、錳金屬離子及其水解聚合物的優勢結合在一起, 同時具有聚硅的橋聯聚合性能和羥鐵、錳基多核配合物的吸附性能.進一步說明在反應中鐵、錳與硅酸發生了絡合反應生成新的共聚物, 而不是原料的簡單吸附混合.此外, 由于Fe、Mn離子的橋聯能力比Si離子較弱, 故它位于鏈末端時對橋聯速度有一定的抑制作用, 增強混凝劑的穩定性[26].
圖 3

圖 4是聚硅酸鐵錳復配混凝劑的XRD圖.與PDF標準卡片對比可知聚硅酸鐵錳復配混凝劑中物相主要有聚硅酸鐵錳、水合二氧化錳和羥基氧化鐵等聚合物, 說明PSFM制備過程中, 并不只是鐵、錳和硅酸的一個聚合反應, 還包括水合二氧化錳和羥基氧化鐵等具有吸附助凝作用的聚合物生成, 對混凝過程起到了強化混凝效果, 這與紅外分析結果相一致.
圖 4

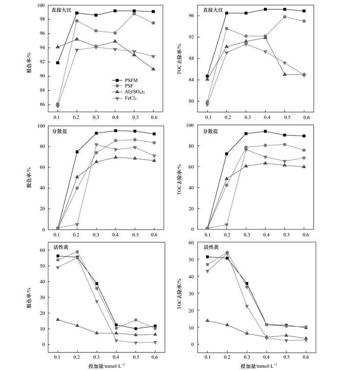
2.2 對比實驗
分別以直接大紅、分散藍和活性黃溶液為模擬染料廢水, 將新型復合混凝劑PSFM與聚硅酸鐵(PSF)、Al2(SO4)3和FeCl3混凝效果進行對比研究, 結果如圖 5.在低投加量0.2 mmol·L-1時, PSFM對直接大紅脫色率可達98.9%, 其混凝效率與聚硅酸鐵的混凝效率相近, 但明顯優于Al2(SO4)3和FeCl3等常規混凝劑.在PSFM投加量為0.4 mmol·L-1時, 其對分散藍脫色率可達95.4%, 混凝效率明顯高于其他3種常規混凝劑.在混凝過程中還發現, PSFM混凝所形成的絮狀物沉降速度快, 沉降性能較好.在投加量為0.2 mmol·L-1時, PSFM對活性黃脫色率為55.5%, 與FeCl3對活性黃的混凝效率相近, 但都低于聚硅酸鐵(PSF)的58.9%.
圖 5

相比于聚硅酸鐵(PSF)、Al2(SO4)3和FeCl3等常規混凝劑, PSFM對直接大紅和分散藍具有較高的混凝效能, 尤其針對分散類染料的處理, PSFM具有明顯的優越性. PSFM對直接大紅、分散藍和活性黃的凈化效率依次為直接大紅>分散藍>活性黃, 說明PSFM適用于直接染料和分散染料的混凝去除.在投加量為0.2 mmol·L-1、調節染液pH=8時, 4種混凝劑對活性黃的混凝效能依次為:PSF (58.9%)>FeCl3(55.5%)=PSFM(55.5%)>Al2(SO4)3(12.1%).故相比于傳統混凝劑, PSFM對活性染料的凈化效率沒有明顯的優越性.從4種混凝劑分別對直接染料、分散染料和活性染料來看, 混凝法對直接染料和分散染料的凈化效率明顯高于活性染料.因為直接大紅和分散染料的結構式具有對稱性且溶解性差, 實驗中也發現, 活性黃的溶解性高于直接大紅和分散染料的溶解性, 混凝劑水解形成的帶正電荷的礬花膠體不足以克服活性染料分子間的靜電斥力, 從而無法使活性染料分子形成緊密聚集態.由于研究的處理對象為單一的染料廢水, 染料的脫色率與TOC去除率具有相關性, 故PSFM、PSF、Al2(SO4)3和FeCl3對染料廢水TOC去除率的分析結果與脫色率的分析結果基本一致.具體聯系污水寶或參見http://m.dongaorq.cn更多相關技術文檔。
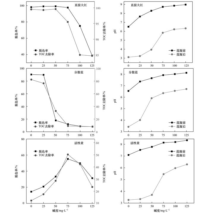
2.3 堿度和濁度對PSFM混凝去除染料影響
堿度對PSFM復配混凝劑混凝脫色效果影響如圖 6. PSFM混凝過程中, 直接大紅對堿度適應性范圍最廣, 堿度控制在一定范圍內(0~75 mg·L-1)時, 直接大紅脫色率較高都在97%以上, 在堿度為50 mg·L-1時, 脫色率和TOC去除率最大分別達99.2%和99.6%.堿度在一定范圍內(0~25 mg·L-1)時, 分散藍保持較高的脫色率, 在堿度為0 mg·L-1時, 其脫色率和TOC去除率最大分別為90.3%和82.3%.而活性黃的凈化效率隨著堿度的增大先上升后下降, 在堿度為75 mg·L-1時, 色度和TOC去除率最高分別可達55.2%和50.2%.
圖 6

在低堿度條件下, 染料廢水中的OH-濃度較低, 幾乎不會和陰離子直接大紅和分散藍染料分子間存在競爭吸附, 從而為PSFM吸附直接大紅和分散藍染料分子提供更多的吸附位點.此時, 帶正電荷的礬花膠體和鐵錳復合物的靜電吸附以及聚硅的橋聯聚合協同作用, 大大提高了有機物去除率.在實驗過程中發現, 堿度為50 mg·L-1時, 直接大紅產生的絮狀顆粒物沉降速度快, 沉降時間在20 min時, 上清液基本清澈.而其他堿度條件下的混凝過程在沉降30 min后上清液才基本清晰, 故堿度在50 mg·L-1左右時, PSFM對直接大紅取得最佳混凝效果.
高堿性條件下, 混凝劑的水解產物一般為大分子高聚體產物[27], 對直接大紅、分散藍和活性黃染料分子的橋聯吸附和網捕卷掃作用可能為混凝過程的主要機制, 溶液中的OH-和染料分子間存在競爭吸附關系, 削弱正電荷的礬花膠體對染料的吸附能力, 導致染料的去除效果降低.混凝前后溶液pH值隨堿度變化如圖 6, 由于HCO3-的水解(產生OH-)程度大于電離(產生H+)程度, 其水溶液呈弱堿性.隨堿度增大, 溶液pH值都逐漸增大, 但兩者并不呈線性關系, 堿度在0~75 mg·L-1之間時, 3種溶液pH值均在6~8.5左右, 由于混凝劑顯酸性, 發生酸堿中和反應, 故混凝后溶液pH值有所降低.在堿度分別為50、0和75 mg·L-1時, 直接大紅、分散藍和活性黃染料溶液的pH值分別在8.5、6.5和8.2左右, 此時混凝劑分別發揮最佳的橋聯聚合和靜電吸附協同作用, 染料廢水凈化效率分別達到最高.
以高嶺土懸濁液模擬染料廢水濁度, 向染料溶液中加入一定的高嶺土懸濁液, 得不同濁度染料廢水, 考察濁度對PSFM混凝凈化不同染料廢水的效果, 結果如圖 7.不同濁度條件下, 直接大紅、分散藍和活性黃脫色率和TOC去除率相差不大.活性黃染料去除率先隨濁度增加而略有上升趨勢, 在濁度達到60 NTU后又略有下降趨勢, 總體而言, 活性黃染料廢水凈化效率受濁度影響較小.從圖 7明顯看出, PSFM對直接大紅、分散藍和活性黃的凈化效率依次為直接大紅>分散藍>活性黃, 與2.2節的實驗結果保持一致.
圖 7

理論上講, 高嶺土懸浮顆粒與染料分子之間存在競爭吸附, 從而降低混凝效果, 但最終的結果顯示, 濁度對混凝效果無明顯影響.可能在混凝之前存在高嶺土懸浮顆粒通過范德華力或氫鍵作用吸附部分染料分子, 混凝過程中, 在去除懸浮顆粒的同時去除了部分染料分子.
2.4 混凝前后Zate電位分析
圖 8分別為直接大紅、分散藍和活性黃這3種染料廢水在不同PSFM投加量下的Zeta電位, 每個Zeta電位點都重復實驗3次, 最后取平均值.直接大紅、分散藍和活性黃原始溶液Zeta電位分別為-41.8、-32.7和-12.9 mV.隨著PSFM投加量的增大, 直接大紅、分散藍和活性黃溶液Zeta電位均不斷上升, 而活性黃溶液在PSFM投加量為0.2 mmol·L-1時, 其Zeta電位幾乎達到最高值.可能是因為隨著投量的增大, PSFM的靜電吸附能力得到了更充分地發揮. PSFM投加量分別為0.45、0.35和0.1 mmol·L-1時, 直接大紅、分散藍和活性黃溶液Zeta電位接近0 mV, 此時靜電吸附能力最強.由圖 5可知, 在PSFM投加量分別為0.2、0.3和0.1 mmol·L-1時, 直接大紅、分散藍和活性黃溶液的凈化效率最高, 而此時的靜電吸附作用并不是最強, 這就表明僅僅依靠電中和機制是無法完全解釋PSFM混凝作用過程的. PSFM在合適的投加量下通過對染料的靜電吸附、橋聯聚合和鐵錳復合物的吸附助凝等綜合作用得到最佳的混凝效果.
圖 8

2.5 不同混凝條件下絮體粒徑
由圖 9可以看出, 對于直接大紅和分散藍的處理, PSFM混凝劑平衡時所形成的絮體粒徑遠大于其它3種混凝劑. PSFM、PSF、Al2(SO4)3和FeCl3這4種混凝劑分別處理直接大紅和分散藍時, 形成的絮體平衡時粒徑分別可達620、420、400、230 μm和240、200、180、145 μm.分析原因在于以靜電吸附為主要作用機制的傳統混凝劑難以克服溶解性差、表面帶有大量負電荷的大顆粒直接染料和分散染料, 而PSFM除了傳統的混凝機制外, 鐵錳復合物的吸附助凝協同作用使得染料分子進一步接觸絮凝形成更大粒徑的絮狀物, 快速形成肉眼可見的絮體.以溶解性較好的活性黃為目標污染物時, PSFM混凝所形成的絮體平衡粒徑為80 μm, 而FeCl3混凝所形成的絮體平衡粒徑為160 μm.對于活性黃的處理, PSFM中的Fe+水解產生的帶正電的多核配合物、鐵錳復合物的吸附助凝和聚硅的橋聯吸附協同作用不足以克服活性黃染料分子之間的靜電斥力, 反而單獨的FeCl3水解產生的帶正電的多核配合物的靜電吸附作用更易使小分子活性黃染料凝聚成大顆粒.
圖 9

3 結論
(1) 首次以硅酸鈉、硫酸亞鐵和高錳酸鉀為原料合成了新型復配混凝劑聚硅酸鐵錳(PSFM), 其對直接大紅和分散藍溶液具有較好的混凝凈化效能, 色度和TOC去除率分別可達99.2%、95.4%和98.5%、93.8%, 效果優于聚硅酸鐵(PSF)、Al2(SO4)3和FeCl3等常規混凝劑.在最佳投加量0.2 mmol·L-1時, 4種混凝劑對活性黃的混凝效能依次為:PSF (58.9%)>FeCl3(55.5%)=PSFM(55.5%)>Al2(SO4)3(12.1%), 故相比于傳統混凝劑, PSFM僅對活性染料的凈化效率沒有明顯的優越性, 內在機制有待進一步研究.
(2) 從4種混凝劑分別對直接染料、分散染料和活性染料來看, 混凝法對直接染料和分散染料的凈化效率明顯高于活性染料.直接大紅和分散染料的結構式具有對稱性且溶解性差, 實驗中也發現, 活性黃的溶解性高于直接大紅和分散染料的溶解性, 帶正電的礬花膠體很難克服活性染料分子間的靜電斥力, 從而無法使活性染料分子形成緊密聚集態.
(3) 濁度對PSFM混凝效能無明顯影響.在堿度分別為50、0和75 mg·L-1時, PSFM對直接大紅、分散藍和活性黃溶液凈化效率分別達到最高.在最優條件下, PSFM對三者的凈化效率依次為直接大紅>分散藍>活性黃.
(4) 通過SEM分析可知, PSFM主體部分呈現長鏈狀, 周圍還分布類似于枝杈短鏈, 該結構能有效增強PSFM復配混凝劑的吸附架橋和網捕卷掃作用.紅外光譜(FTIR)圖顯示PSFM具有Si—OH—Fe (Mn)和Si—O—Fe (Mn)等特征峰, 說明在反應中鐵、錳與硅酸發生了絡合反應生成新的共聚物, 而不是原料的簡單吸附混合. XRD圖譜表明PSFM的主要晶型有聚硅酸鐵錳、水合二氧化錳和羥基氧化鐵.隨著PSFM投加量的增大, 3種染料溶液的Zeta電位開始都快速上升.探索得PSFM混凝主要機制為Fe+與Mn+水解產生的帶正電的多核配合物和聚硅的橋聯聚合, 同時還包括新生態水合二氧化錳和羥基氧化鐵的吸附助凝作用.(來源:環境科學 作者:唐立朋)


