煉焦過程是中國環境中多環芳烴(polycyclic aromatic hydrocarbons, PAHs)的重要來源, 貢獻了全國PAHs總量的16%以上, 早在2003年, 就有1602 t的PAHs隨焦化廢水排放到水環境中, 按照現在的焦炭產量估算, 焦化行業每年排放到環境中的PAHs會達到5000 t以上.針對從煤油和焦油中提取的PAHs, 經過動物實驗證實, 發現其具有較強的致癌性. PAHs除了表現出潛在的致癌性外, 它還可以在生物體內蓄積, 同時通過食物鏈傳遞, 從而給自然環境和人類健康帶來極大危害.因此, 由工業廢水中的PAHs而引起的環境污染特別是其歸趨行為必須重點關注.作為焦化廢水中的特征有機污染物, PAHs會以各種形式存在于廢水處理的各個工藝階段, 在此過程中, 強疏水性的PAHs極易轉移到污泥相中, 導致其在焦化污泥中不斷累積, 因此, 污泥處理也將是值得挑戰的課題. 2012年開始實施的《煉焦化學工業污染物排放標準》(GB 16171-2012)明確規定了焦化廢水中PAHs的排放限值, 其中總PAHs的限值為0.05 mg·L-1, 苯并[a]芘的限值為0.03 μg·L-1, 此標準的提出進一步表明PAHs是煤焦化行業控制的重點.目前的焦化廢水工藝設計主要集中于滿足BOD、COD、總氮和揮發酚等常規指標的合格性, 雖然可以通過活性炭尾水吸附等手段滿足焦化廢水中PAHs的出水排放限值的要求, 但作為焦化廢水中的特征有機污染物, PAHs會以較高濃度的形式存在于焦化廢水處理的各個工藝階段中, 中間物料特別是污泥的排放值得關注.廢水處理工程在去除焦化廢水中的有機污染物發揮了重要作用, 國內焦化廢水處理站主要采用A/O2、O/A/O、A/O/H/O、SBR、生物膜等工藝.本課題組于2004年設計的韶鋼焦化廠一期廢水處理工程采用A/O2處理工藝, 且在總結韶鋼焦化廠一期A/O2生物流化床工藝基礎上, 于2007年在韶鋼二期工程上進行了改進, 采用了新型的A/O/H/O生物流化床工藝.這兩種工藝在主要的污染指標上均表現出良好的處理效果, 達到排放標準, 其中A/O/H/O新型生物工藝對COD、氨氮、揮發酚和氰化物具有更好的降解效率.到目前為止, 極少有文獻研究不同的工藝對PAHs分布行為及削減效果的影響.本文以韶鋼一期工程的A/O2生物流化床工藝及韶鋼二期工程的A/O/H/O生物流化床工藝為研究案例, 以16種PAHs作為研究對象, 分析焦化廢水處理過程中PAHs在兩種工藝中的水相和污泥相的分布, 計量PAHs在廢水處理過程中的通量變化, 然后進行質量衡算, 通過對該類物質在兩種工藝中水相和污泥相中的濃度及削減量的計算, 考察PAHs在兩種工藝中的削減行為及去除效果, 評估兩種工藝在PAHs削減方面的優劣, 以期為焦化廢水中PAHs的削減在工藝方面的選擇提供借鑒.
1 材料與方法1.1 研究案例
廣東韶關寶鋼集團韶鋼公司焦化廢水處理廠一期A/O2工藝流程圖和二期A/O/H/O工藝流程圖如圖 1所示, .其中, A/O2工藝已經穩定運行12 a, A/O/H/O工藝已經穩定運行9 a.根據兩期工程采樣時間時的進水負荷, 對于生物處理系統, A/O2工程進水為焦化廢水原水經過洗滌水、地坑排水、反沖洗水等的稀釋, 日處理水量約為1 500 t·d-1, 干污泥排放量約為7 t·d-1; A/O/H/O工程進水為未經稀釋的焦化廢水原水, 日處理水量約為1 000 t·d-1, 干污泥排放量約為9 t·d-1.
圖 1

1.2 樣品的采集方法
對兩焦化廢水處理工程中的廢水進行了采集, 采樣時間分別為2017年3月10日~4月10日, 每天早、中、晚3次采樣, 用平均比例混合水樣的分析平均值作為監測報告數據, 水樣保存于事先用丙酮和Milli-Q水清洗過的棕色容量瓶中.取樣后立即經0.7 μm玻璃纖維膜(GF/F)過濾, 并用濃硫酸將水樣pH值調至2左右于4℃低溫保存.焦化污泥在每天下午15:00~17:00間, 采自于焦化廢水工程各處理單元污泥池.污泥樣用樣品袋進行保存, 然后在-20℃條件下進行冷凍保存.
1.3 樣品的預處理及目標物的富集分離1.3.1 水樣及其水中顆粒的目標物富集分離
將采集的各個工藝段的100 mL水樣用0.7 μm直徑的纖維濾膜過濾, 分離水相及顆粒相.濾膜使用之前, 用錫箔紙包好, 置馬弗爐450℃燒5 h, 然后于干燥器中平衡過夜后稱量.過濾后的水樣加入定量的萘-d8、苊-d10、菲-d10、䓛-d12和苝-d12這5種氘代物, 后續進行固相萃取.
固相萃取的步驟:采用10 mL的二氯甲烷沖洗小柱, 二氯甲烷抽干后再用10 mL的甲醇沖洗以達到活化小柱的目, 在甲醇將要流完時加入去離子水, 然后加入處理后的水樣進行固相萃取.水樣流完后再真空干燥10 min, 然后3 000 r·min-1下離心6 min, 除去柱子內剩余的水分.
目標物PAHs的洗脫:用30 mL二氯甲烷對固相萃取小柱進行洗脫, 洗脫液于旋轉蒸發儀中濃縮至1 mL, 加入5 mL正己烷替換溶劑, 再濃縮至0.5 mL, 然后過硅膠氧化鋁層析柱(柱子內填充物自下到上為:脫脂棉, 6 cm去活化氧化鋁, 12 cm去活化硅膠, 1 cm無水硫酸鈉).濃縮的樣品加入層析柱后, 先用15 mL正己烷淋洗, 再用75 mL二氯甲烷/正己烷(3:7)混合溶液淋洗, 收集第二次的淋洗液于雞心瓶中.將收集的淋洗液旋轉蒸發至0.5 mL, 用少量正己烷淋洗雞心瓶后將溶液轉移至進樣瓶中.進樣瓶中的樣品用氮吹法濃縮至1 mL, 并加入20 μL的六甲基苯(內標物, 100 mg·L-1), 壓蓋封存于-4℃冰箱中待測.
顆粒相抽提:過濾顆粒相后的玻璃纖維膜立即放入冰箱中-20℃冷凍保存, 然后冷凍干燥48 h.平衡稱重后, 將玻璃膜剪碎, 放入濾紙筒中, 加入氘代回收率標樣, 用200 mL二氯甲烷抽提48 h.底瓶中放入處理好的銅片脫硫.抽提完畢后, 抽提液旋轉蒸發濃縮至20 mL左右轉移到雞心瓶中濃縮至1 mL, 加入10 mL正己烷替換溶劑, 繼續濃縮至0.5 mL.以下步驟與水相中PAHs的凈化過程相同.
1.3.2 污泥中目標物的富集分離
污泥冷凍干燥后, 研碎稱取約5 g放入濾紙筒中, 加入氘代回收率標樣, 用200 mL二氯甲烷抽提48 h.底瓶中放入處理好的銅片脫硫.以下步驟與1.3.1節所述的目標物的提取和凈化過程相同.
1.4 目標物的測定1.4.1 儀器分析條件
PAHs的定性定量分析采用GC-MS內標法, 其分析條件為:GC-MS(Agilent 7890A, 5975C), HP-5MS石英毛細管柱(30 m×0.25 mm×0.25 μm); 載氣:氦氣; 流速為1 mL·min-1; 進樣口溫度250℃; 電子能量70 eV, 質量掃描范圍60~640 u; 離子源溫度230℃; 升溫程序為:5℃·min-1上升至310℃, 在300℃保持10 min; 進樣量為1 μL; 不分流進樣.
1.4.2 分析方法的質量控制
水相固相萃取富集分離及泥相抽提PAHs均采用空白加標驗證方法的可靠性.水相:往蒸餾水中加入定量的標準樣品, 用1.3節設定的方法及條件處理及檢測, 加標回收率介于60%~120%.固體樣:往索氏提取器的抽濾筒中直接加入定量的標準樣品, 該方法的加標回收率介于60%~110%.在實際樣品的分析過程中, 通過加入萘-d8、苊-d10、菲-d10、䓛-d12和苝-d12這5種氘代物來校對各個物質的回收率, 進一步提高檢測的準確性.
2 結果與討論2.1 兩種工藝的進水、出水的PAHs濃度分析
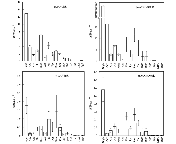
按照1.2節中采集方式, 以及1.3及1.4節的樣品處理及分析方法, 對韶鋼焦化廢水處理廠一期A/O2工藝和二期A/O/H/O工藝中的A池進水(包括懸浮物)與混凝沉淀池出水(包括懸浮物)的PAHs進行了檢測分析, 結果如圖 2所示. A/O2工藝的進水經過了其他工藝如反沖洗水等的稀釋, 進水的各項指標包括PAHs濃度都明顯低于A/O/H/O工藝, A/O/H/O工藝總PAHs的進水濃度為124.210 μg·L-1, 而A/O2工藝總PAHs的進水濃度是42.953 μg·L-1.兩種工藝進水中各PAHs濃度所占比例相似, 四環及四環以下的芳烴占比較大, 其中二環的萘濃度較高, 在高環PAHs中苯并[a]蒽濃度最高.和本研究相近, Zhang等在2012年檢測的數據中發現水相中高環PAHs占比不高, 但苯并[a]蒽所占濃度較高. PAHs濃度占比差異可能與焦炭用煤及工藝條件有關.在最后的混凝池出水中, A/O/H/O工藝的出水總PAHs濃度為3.522 μg·L-1, 與進水相比, 去除率達到97.2%; A/O2工藝的出水總PAHs濃度為8.051 μg·L-1, 與進水相比, 其去除率達到85.3%; A/O2工藝苯并[a]芘出水濃度為0.040 μg·L-1, A/O/H/O工藝為0.010 μg·L-1, 即排放水中總PAHs和苯并[a]芘的濃度分別低于國家二級排放標準中0.05 mg·L-1和0.03 μg·L-1的排放限值, 只有A/O2工藝中的苯并[a]芘出水濃度略高于排放限值.從進出水PAHs削減率及削減量的數值可知, A/O/H/O工藝明顯優于A/O2工藝.但PAHs具有強疏水性, 在廢水處理過程中, PAHs會吸附于污泥中, 使大量的PAHs轉移到污泥相中, 所以進出水的數值不代表PAHs在處理工藝中的實際削減量.兩種工藝的生物出水經混凝沉淀池后, PAHs被有效吸附, 焦化廢水處理工藝的生物出水通常都需要高級氧化、混凝沉淀及吸附等手段以符合達標排放的要求, 韋朝海團隊多個工程實踐也證明了混凝沉淀及活性炭吸附是PAHs最終達標排放行之有效的方法, 對于A/O2工藝苯并[a]芘出水濃度略高于排放限值, 需要強化混凝工藝以達標排放.因此, PAHs中的成分特別是苯并[a]芘如何轉移到污泥相及其降解量的分析顯得重要.具體聯系污水寶或參見http://m.dongaorq.cn更多相關技術文檔。
圖 2

2.2 兩種工藝水相和泥相中PAHs濃度
圖 3是兩種工藝進水、混凝出水及各單元反應器(工段)水相及污泥相中的16種PAHs濃度分布.為了更加清晰地對檢測結果進行分析比較, 將16種PAHs按照物質對應的氘代物分為5大類, 分別為萘類化合物:萘; 苊類化合物:苊、苊烯、芴; 菲類化合物:菲、蒽; 䓛類化合物:熒蒽、芘、苯并[a]蒽、䓛; 苝類化合物:苯并[b]熒蒽、苯并[k]熒蒽、苯并[a]芘、茚并[1, 2, 3-c, d]芘、二苯并[a, h]蒽、苯并[g, h, i]苝.結果如圖 4所示.在兩種工藝各階段的水樣中, A池水樣中PAHs削減都不明顯, 進水和A池水相中PAHs濃度差別不大, 有些PAHs的濃度還高于進水.而在好氧的O1池中, 2~3環的萘類化合物、苊類化合物和菲類化合物呈現出明顯降低的趨勢, 特別萘類化合物削減最快. A/O2工藝中萘類化合物在O1池水相中削減了75%, 在A/O/H/O工藝中削減了97%, 但四環以上的PAHs經O1池之后的水相濃度沒有表現出明顯的規律. PAHs是疏水性有機物, 在固相和水相的分配行為受較多因素影響, 其中辛醇-水分配系數(Kow)是一項重要的參數.它可衡量有機物的吸附特征, Kow越大, 疏水性越強, 越容易被污泥吸附, 表 1列出了16種PAHs的lgKow及25℃下純水中的溶解度. PAHs在污泥和水相的分布主要受該類物質的物理化學性質的影響, 但也受工藝運行過程中的操作參數的影響, 例如攪拌狀況、曝氣強度、流速和溫度等, 污泥的有機物及無機物含量.高環的PAHs在水相中的濃度受到上述因素的影響, 因而沒有明顯的規律.
圖 3

圖 4

圖 4 A/O2與A/O/H/O各單元水相及泥相中5類PAHs的濃度

表 1 PAHs的溶解度及lgKow值
在污泥相中, 由于A/O2工藝進水PAHs濃度遠遠低于A/O/H/O工藝, 因而吸附在污泥相中的PAHs量相對較低.從圖 3及圖 4可以看出, 兩種工藝污泥均表現出高環PAHs的濃度富集, 特別在A池污泥中總PAHs濃度遠遠大于各池中的濃度. 表 2是兩個工藝中各反應單元污泥中總PAHs的濃度.從中可以看出, 由于A/O2和A/O/H/O兩種工藝進水總PAHs的濃度相差較大, 污泥富集的濃度對應有差異.兩種工藝A池污泥的總PAHs濃度都比O池大很多, A/O2工藝A池PAHs濃度是O池的10倍左右, 兩個O池污泥表現出非常相近的總PAHs濃度; A/O/H/O工藝也表現出同樣規律, A池PAHs濃度是O池的6倍左右, 兩個O池污泥表現幾乎相同的總PAHs濃度, H池略高于O池.
表 2 A/O2和A/O/H/O工藝中各工段的總PAHs含量/μg·g-1

A/O2和A/O/H/O兩種工藝A池水相及污泥相PAHs的濃度穩定, 說明其在A池中沒有得到有效削減.低環的PAHs相對溶解度較高, 相當一部分可以從A池水相進入O池, 從而在O池得到降解; 而高環的PAHs則在A池的污泥相中不斷富集, 導致A池污泥中總PAHs濃度很高, 因而A池厭氧污泥的生物毒性也相對很高, 針對這部分污泥, 應該考慮單獨處置.
因厭氧生物技術具有低污泥產量、低能耗和能源可回收等優點, 國內外大部分鋼鐵企業的焦化廢水處理工藝都包含厭氧A單元技術, 從已有研究中統計的一些AO、AO2、A2O、A2O2工藝中, 盡管都前置厭氧A單元技術對焦化廢水進行處理, 但效果甚微, 均無法實現產甲烷的目標.例如, Zhao等[26]對本研究案例中韶鋼二期A/O/H/O焦化廢水處理工藝進行了研究, 指出在第一個厭氧單元A進水COD為1 530 mg·L-1, 出水COD為1 390 mg·L-1; Zhu等對該案例工程厭氧A單元中微生物的分析研究發現, 污泥中沒有產甲烷菌的存在; Sahariah等采用A1/A2/O生物流化床對焦化廢水進行降解, 其A1厭氧反應器對苯酚和COD的去除率分別僅為3%和2%左右.本研究對A/O2和A/O/H/O兩種工藝的PAHs濃度分析表明, 厭氧A單元對PAHs的生物削減也沒有起到作用, 進一步證明了前置厭氧A單元在高濃度焦化廢水處理工藝中效果不明顯.
2.3 兩種工藝PAHs通量變化及生物削減
在焦化廢水處理過程中, 如果PAHs未完全礦化, 其剩余量將隨著外排水進入到水環境中、吸附進入到污泥、揮發和隨氣體吹脫進入到大氣環境中. Zhang等[29]的研究表明, 揮發和氣體吹脫途徑從水相中轉移的PAHs占其總去除量的比率小于1%, 因而這兩種途徑對該類物質的去除可以忽略.因此采用公式(1)及公式(2)分別對進入系統的、系統外排的PAHs進行質量衡算, 求得系統每天進入及排出的PAHs, 并給出平均削減率.
式中, Wi為進入系統的PAHs量, μg; Cwi為進水的PAHs濃度, μg·L-1; Qw為處理水量, L; Wo為排出系統的PAHs量, μg; Cwo為外排水的PAHs濃度, μg·L-1; Cs為外排泥的PAHs濃度, μg·g-1; Qs為外排泥質量, g; 削減掉的PAHs即是:Wi-Wo, μg; 削減的百分比為(Wi-Wo)/Wi×100%.
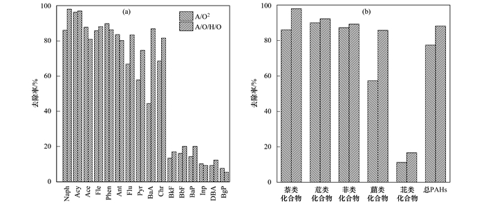
從兩個工藝的日處理量及處理濃度計算, 得到了圖 5所示PAHs在兩種工藝中的削減率.從中可以看出, A/O/H/O工藝對低環PAHs的削減率略高于A/O2工藝; 對于4環以上的PAHs, A/O/H/O工藝的PAHs削減率明顯提高, 對䓛類化合物的削減率能達到85.8%, 而A/O2工藝對其削減率為57.4%;對于苝類化合物, A/O/H/O工藝對其削減率為16.7%, A/O2工藝則為11.2%;在對總PAHs削減方面, A/O/H/O工藝為88.2%, A/O2工藝則為77.5%. A/O/H/O工藝相對于A/O2, 多了一個水解H工段, 研究發現, 水解過程能夠將大分子有機物分解為小分子物質, 從而改善廢水的可生化性.張萬輝等對焦化廢水的特性及處理技術進行了數據調查及分析, 發現水解工藝可以提高多元酚、多環芳烴及吡啶雜環類有毒有機物的去除率, 對全過程產生促進作用.兩個工藝對比, 含有水解工藝的A/O/H/O對PAHs削減率及削減量都比A/O2明顯增高, 且正是由于H水解池對高環PAHs的水解作用, 表現出A/O/H/O工藝對高環PAHs的生物削減明顯優于A/O2工藝.前面的數據及論述證明了前置厭氧A工段對焦化廢水PAHs的去除所起作用不大, 主要是后續的O2或者是O/H/O發揮作用, 表明了焦化廢水經過微生物選擇性降解大部分有機組分之后的H水解池設計可以更加有效去除PAHs, 本課題組于2012年在河北涉縣的金牛天鐵煤焦化有限公司工程項目中首次采用了O/H/O工藝, 除了對難降解有機污染物的去除率達98%以上的優勢外, 在氰化物和總氮去除、縮短水力停留時間與節能降費方面亦取得了顯著進步.
圖 5

3 結論
(1) 在焦化廢水處理過程中, PAHs無論是在A/O2工藝還是在A/O/H/O工藝的厭氧A池均難以生物降解, 而且還會在A池污泥相中高倍數富集.在A/O2工藝中A池污泥相總PAHs濃度是O池的10倍, 在A/O/H/O工藝中A池污泥相總PAHs濃度是O池或者H池的6倍, 表明了PAHs歸趨行為的差異性.
(2) A/O/H/O工藝混凝出水的PAHs及苯并[a]芘的濃度均遠低于國家排放限值, A/O2工藝苯并[a]芘出水濃度略高于排放限值. A/O/H/O對焦化廢水PAHs的處理負荷及生物削減效果均高于A/O2工藝, 特別對于難降解的高環PAHs(4環以上)的削減表現出更佳的效果.置于兩個好氧池之間的H水解池能發揮更好的作用, 構成了A/O/H/O工藝表現出明顯優勢的原因.(來源:環境科學 作者:吳海珍)


