氮素是生物地球化學循環的物質基礎之一, 也是引起水體富營養化的重要元素.隨著社會經濟的快速發展, 工業和生活污水排放量不斷增加, 河流氮污染不斷加劇.河流中氮的富集導致水體富營養化和水質惡化, 嚴重威脅到流域的水資源供應及河流生態健康.特別是在養殖區域密集、農業種植程度高、工業新興的流域, 河流氮污染問題尤其嚴重.受流域特征、污染物來源及水文過程等自然社會要素影響, 河流水體氮素空間分布及來源存在明顯差異.因此, 研究河流氮污染狀況及來源的時空變化, 可為流域氮污染防治提供科學依據.
河流水環境中氮素具有多源性特點, 其來源主要包括降水、大氣沉降、工業和生活污水、生活垃圾、化學肥料、牲畜排泄物等.水環境中不同來源的氮, 其穩定同位素組成表現出特定的范圍, 因此成為判識氮素來源的有效指標.早期國內外多利用15N同位素技術識別水體中氮的來源, 但這種方法存在一定缺陷; 其突出問題表現為不同來源δ15N值存在重疊, 以及硝化反硝化作用等引起的氮同位素分餾.不同來源的硝酸鹽在化學上不能區分, 其化學形式均為NO3-.但在同位素水平上, NO3-可進一步區分, 因為不同來源的硝酸鹽其氮、氧同位素值不同.因此, 目前國內外多采用硝酸鹽中氮、氧雙同位素示蹤法確定水環境中氮的來源, 并且得到了普遍應用.
本研究于2013-07~2014-07, 選取遼河流域鐵嶺段的22條河流, 逐月進行樣品采集, 分析了河流氮濃度的時空分布特征及水質狀況, 并利用氮氧同位素示蹤技術對河流氮的來源進行了解析, 以期為該地區水體氮污染治理提供科學依據.
1 材料與方法 1.1 研究區域與采樣點位
鐵嶺市位于遼寧省北部, 松遼平原中段, 屬典型的中溫帶大陸性季風氣候.轄區內年均降雨量573 mm, 年均溫約8℃.鐵嶺市總面積約1.3萬km2, 總人口約290萬.鐵嶺市土地利用類型主要以耕地、林地、草地和建設用地為主, 4種土地利用類型所占比例分別為63%、30%、0.6%、4.4%.其土地開發利用狀況表現出明顯的區域特征.其中, 鐵嶺市林地主要分布在鐵嶺市東部區域, 而建設用地和耕地主要分布在西部區域.
鐵嶺市水系相對發達, 其境內河流主要為遼河干流上游河段及其支流.鐵嶺是全國重要的糧食主產區和遼寧省重點畜牧業養殖基地; 自2005年以來區域內新建工業源達17個.密集的工農業生產導致的河流污染嚴重影響到了鐵嶺市的水資源供給, 并對河流生態健康構成了威脅.為了解遼河上游區域水系氮污染狀況及其時空分布特征, 本研究根據鐵嶺市河流的水系分布情況, 選取遼河干流、招蘇臺河、清河、凡河、柴河等共22條河流、52個水質調查斷面, 對鐵嶺市河流的氮濃度狀況及其來源進行了分析評價, 以期為遼河上游水環境的保護和污染治理提供基礎依據.本研究中河流及采樣斷面位置如圖 1所示, 斷面基本信息如表 1所示.
本研究樣品采集時間為2013-07~2014-07.由于2014-01~2014-03研究區域為冰封期, 未進行樣品采集, 期間其它月份均逐月進行樣品采集.采樣斷面位置采用手持式GPS進行確定.
1.2 樣品采集
每個調查斷面采用不銹鋼采水器采集河流表層(~20 cm)水樣, 一部分水樣現場過濾(0.45 μm)后分裝于500 mL聚乙烯瓶, 滴加三氯甲烷試劑, 用于測定水體硝態氮和銨態氮濃度.同步分裝過濾水樣于500 mL聚乙烯瓶, 用于測定水體硝酸鹽δ15N和δ18O值.另分裝500 mL不過濾水樣于聚乙烯瓶, 滴加濃硫酸酸化至pH < 2, 用于測定水體總氮濃度.所有樣品均進行冷藏避光保存, 48 h內運往實驗室進行分析測試.
1.3 室內分析
水體總氮、硝態氮、銨態氮濃度分別采用過硫酸鉀氧化-紫外分光光度法、紫外分光光度法和納氏試劑光度法進行測定, 具體測試步驟參照文獻.測定儀器為紫外-可見分光光度計(UV1800, 日本島津).
水體中δ15N-NO3-和δ18O-NO3-采用同位素比質譜儀(Isoprime100, 英國Isoprime公司), 利用反硝化細菌法進行測定.詳細測定流程和技術方法參考文獻.若水樣不能及時測試則放入冰箱冷凍.測試前預先向水樣中加足夠量的抗壞血酸, 使溶液的pH=3.5, 去除水樣中的亞硝酸鹽方可進行測試.
樣品中氮、氧同位素值用δ表示, 其計算公式為:

式中, R為15N/14N或18O/16O; 15N/14N以大氣的氮同位素比值(15N/14N)為標準值; 18O/16O以維也納標準平均海水(V-SMOW)為標準值.
1.4 水質評價方法
地表水環境質量標準(GB 3838-2002)規定的基本項目標準中, 適用于河流的氮素評價指標只有氨氮; 湖庫系統包含TN指標, 集中式生活飲用水地表水源地增加硝態氮指標.因此, 本文以氨氮為評價指標, 利用單因子評價法對22條河流不同水期的水質污染狀況進行了評價.評價時, 如氨氮污染指數(實測濃度與水質目標濃度比例)大于1時表明水質受到污染, 未達到水質目標管理要求.
1.5 水質空間分析方法
本文采用ArcGIS(9.3版本)軟件, 以“點值化”方法將22條河流52個監測斷面的氨氮水質類別進行了空間表達, 用于分析不同水期河流水質的空間分布和污染程度的變化情況, 以及鐵嶺市主要河流水質的區域特征.
2 結果與討論 2.1 河流氮素時空分布特征
研究期間, 總氮、硝態氮、銨態氮濃度(所有斷面監測數據)分別介于1.26~18.85、0.53~11.8、0.30~15.7 mg·L-1, 年均濃度分別為(5.8±1.9)、(2.8±1.74)、(2.0±1.1) mg·L-1.硝態氮為河流氮的主要組成形態, 所占比例平均為48% [圖 2(a)].不同水期河流氮濃度表現出明顯的時間分布特征.總氮、硝態氮、銨態氮濃度整體表現為豐水期 < 平水期 < 枯水期.這種分布特征在其它研究區域河流同樣有所體現.造成枯水期氮素濃度較高的原因之一可能是河流流量變小.研究用多普勒流速剖面儀對調查斷面的流量同樣進行了測量.結果表明, 枯水期河流流量整體上只有豐水期和平水期流量的11%和53% [圖 2(b)], 且河流氮濃度與流量顯著負相關(皮爾遜雙尾檢驗, R2=0.86).另外, 枯水期溫度相對較低, 微生物活動受抑, 氮的遷移轉化量相對較小, 加劇了水體氮的累積, 造成氮濃度相對較高.研究區域內冬季取暖, 秸稈燃料燃燒造成大氣氮沉降通量增加也可能造成枯水期河流氮濃度增加.
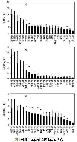
數據表明, 河流之間總氮、硝態氮、氨氮年均濃度分別介于1.9~15.5、0.8~5.0、0.3~8.8 mg·L-1, 且河流之間氮素濃度顯著差異(one-way ANOVA, LSD, P < 0.001).條子河和小清河總氮年均濃度分別達到15.5 mg·L-1和14.8 mg·L-1[圖 3(a)和圖 3(b)], 氨氮年均濃度分別為8.8 mg·L-1和7.9 mg·L-1; 兩條河流總氮和氨氮濃度顯著高于其它河流(P < 0.001).西遼河總氮年均濃度最低(年均值1.9 mg·L-1), 而碾盤河銨態氮年均濃度最低(年均值0.3 mg·L-1).遼河干流、小河子河、新開河、二道河、西遼河、東遼河、沙河、中固河、柴河、凡河、寇河、清河、碾盤河氨氮年均濃度無顯著性性差異(P>0.05).所有監測河流中, 小清河硝態氮濃度最高, 年度變化范圍為0.3~13.8 mg·L-1, 均值為5.0 mg·L-1[圖 3(c)]; 條子河、招蘇臺河、碾盤河硝態氮年均濃度分別為4.8、4.6、4.4 mg·L-1, 僅次于小清河.西遼河硝態氮濃度最低(年均值0.8 mg·L-1).
本文中, 鐵嶺市河流氮素濃度整體上相對較高.這與他人在本區域的研究結果基本一致.如賈玉霞等對遼河水系水質污染特征研究指出, 遼河鐵嶺段全年都是超Ⅴ類水質.其它研究同樣表明, 氮素一直是鐵嶺市河流超標比較嚴重的指標之一, 鐵嶺主要河流氨氮超標率甚至在90%以上.鐵嶺市河流為遼河上游河段支流, 河長普遍較短、流量較小, 河流環境容量有限; 加之河流多位于城市和鄉鎮區域, 不斷增加的工業和生活污水排放導致河流氮污染嚴重.
2.2 基于氨氮的水質污染特征
為了解鐵嶺市河流氮污染狀況, 研究以氨氮為評價指標, 以調查斷面所屬水質功能目標為基準濃度, 采用單因子評價法對調查河流水質進行了評價.評價時, 每條河流豐、平、枯氨氮濃度為所有斷面平均濃度.評價結果表明, 整體上所有河流氨氮污染指數介于0.1~10.51之間.結合河流斷面水質功能目標(表 2), 寇河、清河、碾盤河豐、平、枯這3個水期水質均為Ⅱ類水質, 滿足各自水質功能要求.小河子河、柴河、凡河、中固河常年水質為Ⅲ類水.小清河、條子河、萬泉河全部監測斷面均為Ⅴ類和劣Ⅴ類水, 氨氮超標率100%(表 2).其它一些河流, 豐、平、枯這3個水期水質變化較大, 枯水期河流氨氮超標相對嚴重.如二道河、亮子河、東遼河、西遼河、遼河干流, 豐水期水質為Ⅱ類或Ⅲ類水, 而枯水期水質則為Ⅳ類、Ⅴ類或劣Ⅴ類水.統計表明, 豐水期未超Ⅲ類水質的河流有14條, 占研究河流總數的63%;而枯水期Ⅴ類及劣Ⅴ類河流高達10條, 明顯高于其他水期同類水質河流數量.
為充分分析每條河流不同河段的水質狀況, 研究對每個調查斷面不同時期氨氮污染程度進行了空間表達.空間分析結果表明, 招蘇臺河和二道河上、下游斷面水質均較差.招蘇臺河子流域水質在豐、平、枯這3個水期幾乎全部為Ⅴ類和劣Ⅴ類水(圖 4).亮子河上游水質較好, 豐水期上游水質達到Ⅱ類; 其氨氮污染嚴重的河段主要位于其下游的城市區域(開原市境內), 而且枯水期水質明顯較差.萬泉河、沙河、碾盤河中游水質較差, 枯水期水質基本為Ⅴ類和劣Ⅴ類水, 但下游水質相對較好, 為Ⅱ~Ⅲ類水.而且從水質狀況與土地利用類型的對應關系來看, 鐵嶺市的林地主要分布于其東部區域(圖 1), 并且為多條河流(如馬仲河、亮子河、寇河、柴河、凡河等)的源頭地區; 除個別斷面水質較好外, 多數斷面水質氨氮同樣污染嚴重.這可能與農村居民生活污水以及養殖廢水的輸入有關.因此, 整體上鐵嶺市的水質氨氮污染十分嚴重; 無論是人口相對密集的建成區, 還是以耕地為主的農業種植區, 水體氨氮污染問題普遍存在.
尤其是在枯水期, 氨氮污染現象更為突出.研究期間, 枯水期Ⅳ~劣Ⅴ類斷面比例明顯增加.而Ⅱ類和Ⅲ類水斷面比例顯著下降.統計分析表明, 豐水期和平水期Ⅱ類水斷面比例分別為33%和38%, 但到枯水期Ⅱ類水斷面下降到19%;豐水期和平水期Ⅲ類水斷面比例分別為35%和23%, 枯水期Ⅲ類水斷面比例下降到8%.相反, 豐水期和平水期Ⅴ類和劣Ⅴ類斷面比例為20%, 但到枯水期卻急劇增加到48%(表 3).
2.3 河流氮源解析
目前, 使用氮氧雙同位素技術在識別水體硝酸鹽氮來源研究中得到了廣泛應用.并且不同來源氮的同位素特征值也基本確定.本文對已有文獻中不同硝酸鹽來源中δ15N和δ18O的分布范圍進行了匯總(表 4), 并依此對鐵嶺市河流氮的主要來源進行了解析.
本研究中, 鐵嶺市河流樣品硝態氮δ15N值的分布范圍介于8‰~20‰, 平均值為9.7‰; δ18O值的分布范圍介于-10‰~10‰, 均值為1.8‰(圖 5).依據表 4中不同來源的氮氧同位素δ值的變化范圍, 鐵嶺市22條河流氮主要來源于人畜排泄物、工業和生活污水、土壤氮.其中, 二道河、小河子河、碾盤河、新開河等11條河流(δ15N分布范圍:10.1‰~23.8‰, δ18O分布范圍:-9.9‰~17.2‰)氮的主要來源為人畜排泄物(表 5); 招蘇臺河、清河、凡河、柴河、馬仲河等8條河流(δ15N分布范圍:5.2‰~13.0‰, δ18O分布范圍:-9.7‰~15.1‰)氮主要來源為工業和生活污水.同時, 河流氮的來源表現出一定的季節性差異, 不同水期, 氮的來源有所不同.比如, 條子河、小清河、碾盤河、寇河等河流, 豐水期氮主要來源于尿素和土壤氮, 即以農業面源為主; 而枯水期氮的來源則主要來源于點源排放(人畜排泄物、工業和生活污水).總體上, 鐵嶺市河流氮的來源以人畜排泄物、工業和生活污水為主.
3 結論
(1) 研究期間鐵嶺市河流總氮、硝態氮、銨態氮的年均濃度分別為(5.8±1.9)、(2.8±1.7)、(2.0±1.1) mg·L-1; 且整體上氮素濃度表現出豐水期 < 平水期 < 枯水期的變化特征.條子河、小清河、馬仲河、招蘇臺河、前馬河和萬泉河氮素濃度普遍較高; 西遼河、小河子河、遼河干流水質相對較好.
(2) 以氨氮為評價指標, 超過42%的研究斷面氨氮不達標.小清河、條子河、萬泉河全部監測斷面均為Ⅴ類和劣Ⅴ類水.寇河、清河、碾盤河豐、平、枯這3個水期斷面水質均為Ⅱ類水, 河流水質相對清潔.枯水期河流氨氮污染指數高于豐水期和平水期.具體聯系污水寶或參見http://m.dongaorq.cn更多相關技術文檔。
(3) 鐵嶺市河流水體硝氮δ15N和δ18O的平均值分別為9.7‰和1.8‰. 22條河流氮的主要來源為人畜排泄物(11條河流)及工業和生活污水(8條河流).不同水期河流氮的主要來源有所差異; 條子河、碾盤河、豐水期河流氮主要來源于化肥和土壤氮, 而枯水期河流氮主要來源于工業和生活污水.
















