1 引言
我國水環境容量與總量控制技術研究始于20世紀70年代,并逐步應用于水環境管理中(孟偉,2008).總量分配是實施污染物總量控制的重要步驟,是在計算環境容量的基礎上,依據公平性、經濟性等原則對各污染負荷進行再次分配的過程(鄧義祥等,2009).污染物總量分配過程,是一個科學與藝術相結合的過程,也是一個充滿不確定性的過程(Burges and Lettenmaier, 1975;張海亮,2005;Gauger et al., 2008).
按不確定性來源分類,不確定性可分為客觀不確定性和主觀不確定性.客觀不確定性是指由于對環境過程認識不夠全面和細致而帶來的不確定性,例如針對模型結構、模型參數和觀測誤差等進行的不確定性分析就屬客觀不確定性分析.目前國內外總量分配的不確定性分析大部分側重于客觀不確定性(鄧義祥,2003;Reckhow and Chapra, 1999;徐愛蘭等,2007;裴洪平和汪勇,2004;郭懷成等,1999;Benke et al., 2008;Xu and Gertner, 2007;Castillo et al., 2008;劉毅等,2002;齊珊珊,2007;邢可霞和郭懷成,2006;Ao et al., 2011).除客觀不確定性以外,主觀不確定性的影響也不容忽視.主觀不確定性是指由于對于同樣事件,不同主體或同一主體在不同時刻不同環境下得出相差較大甚至意見相反的判斷而導致的不確定性.主觀不確定性的根源在于人的有限理性和認知模式的差異性,在實際的決策過程中往往表現為決策偏好.主觀不確定性的研究是一個較新的概念,與具有隨機性和本質不確定性的客觀不確定性相比,主觀不確定性具有模糊性和含糊性(王彪,2013).目前,不少專家研究客觀不確定性的同時也在關注主觀不確定性對決策結果的影響(楊玉峰,2000;Yang et al., 2013;Hanss and Turrin, 2010;Zhang et al., 2011),目前主觀不確定性對總量分配影響的分析尚不夠深入和系統,往往以尋求“最優”的方案作為目標,但對實際上可能出現的“非最優”分配方案對分配結果的影響缺乏研究.在總量分配關鍵參數的決策中,必須依賴決策者的主觀性進行決策,由于決策者個人偏好、知識結構、信息的不確定性、信息的模糊性和信息的多樣性等眾多因素的影響可能會影響總量分配結果的可靠性和合理性(衛寶真,2009),因此研究決策偏好對總量分配的影響是非常有必要的.
2 研究區域概況
研究區域渤海是1個半封閉的陸架邊緣海,三面環陸,位于遼寧、河北、山東、天津3省1市之間.具體位置在北緯37°07′~41°00′、東經117°35′~121°10′.渤海主要由遼東灣、渤海灣、萊州灣及中央海區組成,面積為7.7×104 km2,平均水深約18 m,最大水深85 m,海域面積約7.7萬 km2.渤海入海河流大約有45條,分布在海河、黃河、遼河三大流域7個水系.
2010年水質監測結果(按照監測站位統計)顯示,渤海一類水體比例為30.6%,二類水體比例為24.5%,三類水體比例為20.4%,四類水體比例為10.2%,劣四類水體比例為14.3%.各污染因子中,無機氮超過二類水體標準2.8倍,石油類超過二類水體標準4.4倍,活性磷酸鹽超過二類水體標準0.7倍,鎘、鉛、銅等重金屬分別超過二類水體標準1.2、2.3、3.8倍.
據統計,渤海入海河流流域內GDP為19.6萬億元,人口為2.37億人,耕地面積為2.2萬km2.根據環渤海海域環境狀況調查分析研究,渤海海域的河流入海口及直排源概化為56個源,各污染源的位置分布如圖 1所示.

圖 1 渤海污染源的位置分布圖
3 研究方法
3.1 總量分配模型
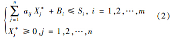
采用兩步法進行污染物總量分配.首先計算研究區域的環境容量,環境容量的計算以污染物排放量最大為目標,不考慮污染源之間的分配關系.環境容量計算的模型表達式為:
目標函數:
約束方程:

式中,X*j為第j個污染源的容量(g · s-1);n為污染源個數,本研究區域n=56;m為控制點位的個數,本研究區域m=137025;aij為第j個污染源在第i個控制點的響應系數(mg · L-1 · s · g-1),可由水質模擬計算得到;Si為第i個控制點的水質目標(mg · L-1);Bi為第i個控制點的背景濃度(mg · L-1).
然后,在環境容量的計算基礎上,進行污染物總量分配,總量分配的模型表達式為:
目標函數:
約束方程:

式中,Xj為第j個污染源的分配量(g·s-1);Xj,min為第j個污染源的最小分配量(g · s-1);Xj,max為第j個污染源的最大分配量(g · s-1);TCRI為總量分配合理性指數:
式中,TCRI為總量分配合理性指數;k為總量分配合理性因子的序號;w為總量分配合理性因子的個數,本研究取w=6;ak為總量分配合理性因子對應的權重系數,∑ w k=1 ak=1;Ck為總量分配合理性因子,數值越大越合理,無量綱.
3.2 總量分配合理性指數的構建
總量分配是以水質達標為前提,將污染物允許排放量分配到各污染源的過程.合理性指數方法的關鍵是科學地構建總量分配合理性因子并設置對應的權重因子(金菊良等,2007).本文按6個因子設置合理性指數,即環境容量、水資源量、人口、耕地面積、GDP和現狀排放量.上述因子構成多目標分配問題(Deng et al., 2010),其表達形式見表 1.
表 1 總量分配合理性指數對應的各項因子

總量分配合理性因子對應的權重值可采用一般的統計方法,如專家打分法、熵值法、層次分析法等(王暉等,2007).本文分配因子為表 1中的6個因子,對應的因子權重也為6個.各因子權重值的確定采用專家打分法,專家主要分為3個群體,即管理人員10人、專業研究人員10人、普通公眾10人,以問卷的形式發放到當地環保部門、科研單位、普通公眾人員進行打分.每位專家由于個人傾向性不同,在進行賦權時各有所側重,造成總量分配結果的差異.不同專家的類型介紹見表 2.
表 2 專家人員介紹
3.3 專家決策偏好對總量分配影響分析方法
決策是決策者根據自己的個人價值、目標、預期結果、知識進行選擇行為的過程.偏好則是一種主觀態度,影響著決策者的決策和行為(常光偉等,2001),具有內向性即主觀性(譙旭,2007).決策偏好是指決策者在面對幾個選項或備擇方案時選擇其中某一項的傾向.進行決策時根據專家與專家、不同領域專家確定的權重計算的總量分配結果會出現一定的差異性.專家決策偏好對總量分配的影響分析采用變差系數方法.變差系數法是指一組數據的標準差與平均值之比,反映了隨機變量相對于均值取值的離散程度,其公式為(章煉,1992):
式中,CV為變差系數;
為平均值;S為標準差.
4 結果與討論
4.1 總量分配合理性因子賦權分布情況分析
本次賦權的30名專家來自不同領域,執行水質管理時面臨的問題也各不相同,專家們根據自身的經驗信息并著重考慮各方面的因素給6個總量分配合理性因子進行賦權,圖 2是30名專家賦權的情況分布圖.圖 2中,30名專家較重視環境容量因子,給出的最高值為0.6,平均值為0.28,但專家間給環境容量的權重值較分散.其他5個分配因子權重值相對較集中,專家間的意見較一致.

圖 2 30名專家賦權情況
圖 3是3組人員對6個總量分配合理性因子賦權的平均值匯總情況.圖 3中,3組人員對權重的取值意見基本一致,在6個因子中較其他因子更重視環境容量因子,平均值最高為0.35.環境容量平均值大小依次為,專業研究人員>管理人員>普通公眾,說明專業研究人員賦權傾向于環境容量因子,傾向性較明顯.

圖 3 3組專家賦權平均值
4.2 總量分配結果分析
圖 4是根據不同專家權重系數計算出對應的污染源負荷分配總量分布情況.圖 4中,根據30名專家權重值計算的TN分配量平均值為1.64萬t · a-1,標準差為0.16萬t · a-1,變差系數為9%;最大值和最小值相對平均值偏離比例分別為31%和-13%.TP分配量的平均值為0.12萬t · a-1,標準差為0.014萬t · a-1,變差系數為12%;最大值和最小值相對平均值偏離比例分別為32%和-19%.說明不同專家權重方案給負荷總量分配結果帶來一定的影響,雖然TN和TP整體上偏離值為9%和12%,但個別較為極端的權重系數取值導致分配負荷量偏離比例比較大.

圖 4 30名專家權重對應的TN、TP分配總量情況
圖 5是根據3組專家權重系數計算的污染物分配總量的變差系數情況.圖 5中,不同分組之間變差系數的大小依次是:專業研究人員>管理人員>普通公眾.說明專業研究人員和管理人員對總量分配權重更容易形成自己的傾向性,因此污染源之間的分配量相差可能較大;普通公眾對應的變差系數較小,原因可能是普通公眾對某一具體分配因子的傾向性不明顯造成的.

圖 5 3組專家權重對應的總量分配變差系數
進一步分析專家決策對56個污染源負荷分配的影響.圖 6為56個污染源的污染負荷分配變差系數分布.圖 6中,56個污染源TN和TP的變差系數的變化具有一定的相似性,TN和TP變差系數平均值分別為0.20和0.22,最大值均為0.41.

圖 6 污染源負荷分配量變差系數分布
將分配量變差系數分為3個區間:[0.3,+∞]、[0.15,0.3)、[0,0.15),分別代表分配量差異顯著、一般和不顯著3個水平,與此對應的污染源個數和分配量見表 3. 表 3中,[0.3,+∞]區間內分布的污染源個數占總數的43%,TN和TP分配量占比分別是21%和30%;[0,0.15)區間內分布的污染源個數占總數的39%,TN和TP分配量占比分別為72%和64%.這說明專家決策差異對負荷量較大的污染源影響不明顯,但對于負荷較小的污染源影響較大.具體參見污水寶商城資料或http://m.dongaorq.cn更多相關技術文檔。
表 3 不同變差系數區間對應的污染源個數和分配量

5 結論
1)專家打分法是主觀性較強的賦權方法之一,在多個備選分配方案中應根據該流域的具體情況選擇合理的分配方案.
2)從渤?偭糠峙涞陌咐齺砜,依據各專家確定的分配因子權重值計算的總量分配結果,總體上表現出較好的一致性,但對于某些負荷量較小的污染源分配量變差系數較大,仍存在公平性、效率性欠缺的隱患.
3)從政府管理人員、專業研究人員和普通公眾分組來看,不同領域的專家往往表現出一定的傾向性,因此,專家打分問卷應避免過分集中于某個領域的專家,以克服專家偏見對總量分配結果所造成的影響.



