1 引言(Introduction)
生物脫氮(Biological Nutrient Removal,BNR)是主流的和最具成本優勢的脫氮技術,主要由自養硝化和異養反硝化兩階段組成.反硝化過程可以在缺氧和厭氧條件下進行,亞硝酸鹽氮先被還原為硝酸鹽氮,硝酸鹽氮再被還原為氣態氮,最終實現氮的去除,但氧可以取代亞硝酸鹽和硝酸鹽作為電子受體使反硝化過程失效.因為傳統脫氮理論認為,氧作為電子受體是優先于亞硝酸鹽和硝酸鹽的,后者不再是末端電子受體,進而使反硝化過程被抑制.隨著生物脫氮理論研究的進一步深入,20世紀80年代,Thiosphaera pantotropha作為第一種好氧反硝化菌在脫硫反硝化系統中被發現,并證明存在好氧反硝化酶系統.在這一研究成果的基礎上,新的好氧反硝化菌不斷被發現和分離出來.而好氧反硝化理論可以簡述為,在好氧反硝化過程中,有機碳源為電子供體,氧、亞硝酸鹽和硝酸鹽均為電子受體,最終硝酸鹽類被轉化為氣態氮;這一過程中起作用的酶為硝酸鹽還原酶、亞硝酸鹽還原酶、一氧化氮還原酶和一氧化二氮還原酶.因此好氧反硝化的特點可以歸納為:①反硝化過程在好氧條件下進行可實現同步硝化反硝化;②硝化產物可以直接作為反硝化底物被利用以避免硝酸鹽類物質的積累;③反硝化生成的OH-可以部分補充硝化作用消耗的堿度以維持pH的相對穩定.
近年來,對好氧反硝化的研究主要集中在特定好氧反硝化菌株的分離和其反硝化特性的研究,但特定菌株的反硝化特性與碳源類型、碳氮比、溫度、溶解氧和pH等因素有關;而且不同氮源也影響菌株的反硝化特性.從可能的工程實際應用角度考慮,對好氧反硝化菌群整體和其反硝化特征應進一步研究是有必要的,本論文的研究目的即在于此.在先前的連續流A/O流離反應器同步硝化反硝化研究過程中發現,好氧反硝化過程在同步硝化反硝化中起到非常重要的作用,研究結果也證明了好氧反硝化菌的存在.因此有必要以整體菌群為研究對象,在特定水環境條件下對不同氮源對功能細菌的活性影響和反硝化特征進行研究,使好氧反硝化菌和好氧反硝化作用在污水治理中具有實際應用的可能性.
2 材料與方法
2.1 試驗裝置
圖 1為采用流離生物技術的一套小型流離生物膜反應器.反應器為單格室,有效容積3.2 L,格室結構與文獻19的A/O流離反應器單一格室類似,填料是取自A/O反應器好氧區內的流離球,流離球直徑.反應器下部出水,上部進水,蠕動泵控制.采用底部曝氣盤曝氣,曝氣量控制和計量采用微電腦曝氣裝置控制,通過探頭精確測量和微調,實現試驗所要求的富氧水環境條件.溫度控制采用加熱棒實現.

圖1 小型流離生物膜反應器示意圖
流離現象的解釋:流體在流動中總存在著不同的流速快和流速慢的場所,固體物和有機物膠體在流體的流動中,總是由流速快的一側向流速慢的一側集中聚集,這種現象稱之為“流離”.流離生化處理技術即是在無壓力、只需水體稍微流動、填料為表面經過特殊處理的材料的集合體(流離球)中實現.污水在流動中存在著球體外流速快,球體內流速慢的狀況,污水中漂浮物集中在流速慢的地方產生流離現象.經過無數次流離作用,使污水中的固體物和有機物膠體與水分離,再結合生化分解,構成了流離生化技術.試驗用反應器即依照該原理構建、運行.
試驗用水分別為低碳氮比廢水(以氨氮為氮源的廢水)、硝酸鹽廢水和亞硝酸鹽廢水.低碳氮比廢水采用自來水投加醋酸鈉、氯化銨、磷酸二氫鉀配制;硝酸鹽和亞硝酸鹽配水采用自來水投加氯化銨、硝酸鉀、亞硝酸鈉配制模擬高碳氮比廢水,藥劑投加量以滿足試驗要求的濃度范圍為準.分類水質和控制溫度如表 1所示.
表1 試驗原水水質和溫度條件

2.2 常規分析方法
水樣測定前經0.45 μm濾紙過濾,NH4+-N、NO2--N、NO3--N依據標準方法檢測(國家環境保護總局,2002),TN和TC、TOC、TIC使用vario TOC設備(Elementar,德國)測定.DO、pH、溫度采用在線探頭監測(WTW,德國).
2.3 16S rDNA提取、PCR擴增、克隆測序及系統發育分析
DNA提取采用上海生工生產的試劑盒,PCR擴增所用引物如表 2所示.
表2 PCR擴增探針

反硝化菌使用引物nirS1F和nirS6R對反硝化菌進行擴增.PCR反應體系(50 μL)為:5 μL的10×PCR buffer,dNTP(各2.5 mmol · L-1)2 μL,nirS1F(20 μmol · L-1)1 μL,nirS6R(20 μmol · L-1)1 μL,Taq酶(5U)1 μL,DNA模板2 μL,加ddH2O至50 μL.PCR采用降落式擴增程序,具體反應條件為:95 ℃預變性5 min;95 ℃變性30 s,60 ℃退火45 s,72 ℃延伸1 min,共進行20個循環,每個循環降低0.5 ℃;95 ℃變性30 s,50 ℃退火45 s,72 ℃延伸1 min,共進行10個循環;72 ℃延伸10 min.
對PCR擴增產物進行切膠純化,將PCR回收產物與pMD18-T載體進行連接后,轉入JM109感受態細胞,最后進行藍白斑篩選.挑取陽性克隆子,送往上海生工進行測序.將所得序列利用BLAST程序與GenBank中已登錄的序列進行同源性比較,并利用MEGA4.0軟件中的鄰接算法構建系統發育樹.
2.4 熒光原位雜交技術(FISH)
FISH技術用于分析活性細菌的相對數量以達到判斷系統運行狀況的目標.氨氧化菌采用NSO1225(CGCCATTGTATTACGTGTGA)探針、亞硝化菌采用NIT3(CCTGTGCTCCATGCTCCG)探針檢測(Schmid et al., 2000).雜交步驟如下:
(1)污泥取樣:流離填料經超聲后將剝離的污泥取2~5 mL至離心管,2000 r · min-1離心5 min,去上清液(加蒸餾水重復兩次);樣品加入1 mL多聚甲醛并搖勻,4 ℃下放置3 h.樣品12000 r · min-1離心5 min,去上清夜;加入1×PBS搖勻,10000 r · min-1離心5 min,去上清夜(重復3次);加0.5 mL的1×PBS、0.5 mL無水乙醇,搖勻后-20 ℃保存.
(2)樣品固定:稀釋樣品3~5倍,對樣品進行超聲處理,將污泥絮體打散成單個細胞以便于顯微鏡計數.然后取3 μL樣品涂于包埋明膠的玻片上(檢查樣片本底),37 ℃的熱烘箱固定2 h.依次用質量比50%、80%、98%的乙醇浸漬3 min,對細胞進行脫水并干燥.
(3)樣品雜交:吸取2 mL雜交緩沖液遍布在雜交盒內折好的吸水紙上,將已固定好樣品的載玻片放入雜交管中,然后在46 ℃雜交爐中放置數min;吸取10 μL探針貯存液和80 μL雜交緩沖液(Hybridization Buffer,HB和Washing Buffer,WB),混合后用箔紙包好放入46 ℃雜交爐中預熱數min;探針貯存液濃度為25 ng · μL-1,用無菌水稀釋購買的探針,吸取9 μL預熱后的探針稀釋液涂于載玻片待測樣品上,然后將載玻片迅速地移回雜交管中于46 ℃下進行雜交2~3 h;雜交后打開恒溫水浴槽,加熱到48 ℃,對雜交緩沖液、淋洗緩沖液進行預熱.雜交盒中取出載玻片用雜交緩沖液沖洗樣品后,快速放入淋洗緩沖液,48 ℃水浴20 min后用4 ℃冰水沖洗樣品,樣品潔凈臺中揮干.
(4)封片觀察:涂封片劑,蓋蓋玻片,無氣泡后指甲油封裝;用帶有360 nm激發波長、460 nm發射波長的濾光片的熒光顯微鏡觀察細胞.
3 試驗結果與討論
3.1 低碳氮比廢水好氧反硝化研究
3.1.1 反應器運行狀態
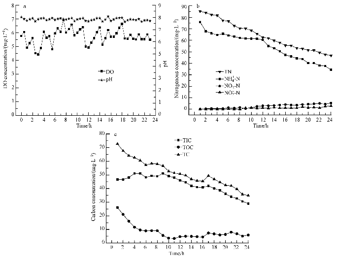
圖 2a所示為反應器內持續24 h的DO和pH變化趨勢.由于好氧反硝化菌對DO濃度不敏感,維持較高DO濃度并不影響好氧反硝化菌的生長和活性.同時pH并未出現大的波動,在整個試驗過程中始終維持在7.0~8.0之間,這一pH范圍適宜硝化菌和反硝化菌的生存,偏堿性環境表明存在較好的反硝化作用.溫度穩定控制在25~30 ℃.

圖2 運行參數和物質濃度變化趨勢
3.1.2 物質去除過程分析
低碳氮比廢水可以看作以氨氮為主要氮源的廢水.圖 2b和2c分別為氮類物質和碳類物質去除及轉化趨勢.由圖 2b可知,總氮和氨氮濃度沿反應時間逐漸下降,曲線斜率大于城市污水試驗;亞硝酸鹽和硝酸鹽在反應進行10 h后出現少量積累,硝酸鹽積累量小于亞硝酸鹽.對應圖 2c,有機碳濃度在0~10 h之間快速降低,而無機碳變化幅度相對很小.這一趨勢表明,0~10 h內的氨氮去除可能來自異養硝化作用,好氧反硝化作用將硝化作用生成的硝酸鹽類物質去除.原因如下:一是由于部分好氧反硝化菌也是異養硝化菌,在低碳氮比污水脫氮過程中,異養硝化菌與自養硝化菌競爭氮源,氨氮的去除主要由異養硝化菌完成,因此有機碳被大量消耗,而無機碳濃度下降趨勢小于有機碳.二是可能同時存在亞硝酸鹽還原酶和硝酸鹽還原酶,硝化過程產生的硝酸鹽類物質在高活性亞硝酸鹽還原酶和硝酸鹽還原酶作用下被迅速還原.試驗中還發現,1~2 h的氨氮有突降,可能是存在某種自養硝化菌使少量氨氮在試驗初期被直接轉化為氣態氮去除,但暫時缺乏試驗支持,需進一步研究.總之,0~10 h反應器內出現了同步硝化反硝化現象,而且主要可能來自異養硝化-好氧反硝化作用.
在10~24 h階段,圖 2c顯示有機碳下降趨勢基本結束,但是無機碳濃度開始下降.對應圖 2b所示,10~24 h氨氮濃度繼續下降,硝酸鹽和亞硝酸鹽開始產生小幅度的積累.分析原因:一是由于有機碳被大量消耗后,異養硝化菌的增殖受到碳源不足的影響,活性降低;而自養硝化菌增殖速度加快,活性增強,對無機碳源的消耗增大,表明這一階段的氨氮去除主要來自自養硝化作用.二是由于有機碳源的不足使好氧反硝化菌對硝酸鹽類物質的去除能力也被削弱;但是由于自養硝化菌可以利用NH3氧化的能量還原CO2為有機碳供生命活動,一定程度上也補充了有機碳的消耗,好氧反硝化菌可以繼續保持一定的反硝化作用,但反硝化程度受限,因此可能導致硝酸鹽類物質的小幅積累現象.三是亞硝酸鹽是硝酸鹽反硝化過程的中間產物,其濃度過高易對硝酸鹽還原為亞硝酸鹽這一步驟產生抑制作用,從而降低硝酸鹽的還原量,但亞硝酸鹽濃度達到多少即影響硝酸鹽的還原,目前暫時無數據支撐.而硝酸鹽的少量積累,表明亞硝酸鹽積累的濃度已經達到影響好氧反硝化菌對硝酸鹽反硝化能力的程度.
在連續24 h的低碳氮比好氧反硝化研究中,反應階段被分為異養硝化-好氧反硝化和自養硝化-好氧反硝化兩階段,但均符合同步硝化反硝化特征.根據計算可知,0~10 h的同步硝化反硝化率為79.40%,10~24 h的同步硝化反硝化率為81.25%.
3.1.3 熒光原位雜交試驗
以上的好氧反硝化特征分析以及少量的硝酸鹽類物質積累現象依舊存在一個問題,就是觀察到的亞硝酸鹽積累是否一定來自好氧反硝化能力被削弱才產生的,還是由自養硝化作用生成,這需要通過其它研究手段來判斷.圖 3為第23 h的氨氧化菌(AOB)和亞硝化菌(NOB)的相對數量對比,放大倍數為120倍.從綠色光電數量來看,二者活性菌數量基本接近,說明亞硝酸鹽出現積累并不是來自自養硝化作用,而是好氧反硝化菌反硝化能力受限,亞硝酸還原酶活性被抑制進而影響了亞硝酸的還原,因此出現小幅積累現象.
圖3 AOB和NOB相對數量比較
3.2 以硝酸鹽為氮源廢水的好氧反硝化研究
3.2.1 物質去除過程與分析
圖 4a和4b分別為氮類物質和碳類物質去除及轉化趨勢.由圖 4a可知,在0~6 h階段,硝酸鹽緩慢下降而亞硝酸鹽在開始小幅上升后即基本不變.這一階段變化表明,由于流離填料取自城市污水反應器,原水的氮源特征發生改變,好氧反硝化菌需要調整以適應新的氮源環境;而亞硝酸鹽未產生積累可能是亞硝酸鹽還原酶在硝酸鹽還原酶同時存在時具有較高的反應活性,經硝酸鹽還原酶產生的亞硝酸鹽在較高活性的亞硝酸鹽還原酶作用下被迅速還原;同時這一階段有機碳的消耗量也較低(圖 4b).

圖4 物質濃度和運行參數變化趨勢
圖 4a所示,在6~9 h階段,硝酸鹽被迅速去除,濃度從22.16 mg · L-1降低到3.80 mg · L-1;在9~14 h階段,硝酸鹽去除趨勢減緩,曲線斜率遠小于6~9 h階段;直到17 h時,硝酸鹽去除率達到100%.與之對應的是,在6~13 h階段,亞硝酸鹽開始出現積累,濃度從1.24 mg · L-1升高至16.76 mg · L-1;緊接著在13~14 h,亞硝酸鹽去除至0.84 mg · L-1,去除率接近100%.另外如圖 4b所示,在硝酸鹽去除和亞硝酸鹽積累并進而快速去除這一階段,有機碳消耗接近100%,表明在好氧反硝化菌作用下,硝酸鹽類物質和有機碳被消耗.但是在硝酸鹽去除過程中發生了明顯的亞硝酸鹽積累,積累量是硝酸鹽還原量的72.80%,這與一些研究發現的硝酸鹽去除過程中無亞硝酸鹽積累的結果相反.分析原因是,亞硝酸還原酶承擔將亞硝酸鹽還原的功能,但亞硝酸鹽在溶液中會產生游離亞硝酸(FNA),FNA有較強的生物毒性,對微生物的生長代謝產生抑制作用.這可以解釋為什么硝酸鹽的快速去除過程在9 h后被終止,9 h后基本是緩慢去除過程.另外,好氧反硝化菌也需要合成多種酶和細胞組分以適應新出現的亞硝酸鹽環境.當菌群適應新的氮源后,僅在1 h內亞硝酸鹽去除率即接近100%.
3.2.2 反應器運行狀態
試驗中發現,整個反應過程中無機碳濃度明顯升高,這也許可以從圖 4c中找到原因.圖 4c為反應器內持續18 h的溫度、溶解氧和pH的變化趨勢.pH呈逐漸上升趨勢,從試驗開始的7.80升至試驗結束的8.53;而隨著pH值的升高,水中溶解的CO2增多,無機碳也相應升高.另外,為考察高溫條件下好氧反硝化菌的適應能力,溫度在試驗全程維持較高水平,同時也使CO2的溶解性提高,進一步提高了水中無機碳的濃度,與圖 4b中的無機碳濃度變化趨勢符合.溶解氧在6~14 h內波動明顯,與這一時間段硝酸鹽和亞硝酸鹽的快速去除也相吻合,表明好氧反硝化菌在去除硝酸鹽類物質時,作為電子受體的O2也同時被還原.
3.3 以亞硝酸鹽為氮源廢水的好氧反硝化研究
3.3.1 物質去除過程與分析 圖 5a和5b分別為氮類物質和碳類物質去除及轉化趨勢.由圖 5a可知,在0~3 h階段,亞硝酸鹽濃度由20.92 mg · L-1降至13.26 mg · L-1,硝酸鹽濃度由9.20 mg · L-1升至17.16 mg · L-1.這是由于亞硝酸鹽濃度較高時誘導了亞硝酸氧化酶,將部分亞硝酸鹽氧化為硝酸鹽(張培玉等,2010);亞硝酸鹽被氧化的量比硝酸鹽的增加量少0.3 mg · L-1,表明有極少量的亞硝酸鹽被好氧反硝化菌還原,這與圖 5b中這一時間段有機碳的少量消耗相符.
圖5 物質濃度和運行參數變化趨勢
在3~6 h階段,亞硝酸鹽濃度微下降,硝酸鹽濃度小幅上升.6~7 h內硝酸鹽濃度大幅度下降,去除率達到80%以上,同時亞硝酸鹽濃度升至高點.分析原因,一是由于硝酸鹽具有較高的氧化還原電位,利用其作為電子受體時基質釋放的能量較高;另外Frette等認為理論上硝酸鹽還原產生的能量是亞硝酸鹽還原產生能量的3.8倍,根據優先利用原則,當水中同時存在硝酸鹽和亞硝酸鹽時,反硝化菌優先利用硝酸鹽進行好氧反硝化.二是由于亞硝酸鹽是硝酸鹽反硝化過程的中間產物,其濃度過高時易對硝酸鹽還原為亞硝酸鹽這一步驟產生抑制作用,從而降低硝酸鹽的還原量,這可以解釋為什么硝酸鹽快速去除只持續了1 h就進入緩慢去除過程,而這個時間點正是亞硝酸鹽濃度的高點.說明過高的亞硝酸鹽濃度抑制了硝酸鹽的還原過程.隨后的7~14 h內,硝酸鹽去除達到100%;隨著硝酸鹽的去除接近完成,亞硝酸鹽去除從13 h開始,1 h內去除率即達到100%.如前所述,亞硝酸鹽產生的FNA有毒,好氧反硝化菌需要時間合成酶和細胞組分,這一過程持續了11 h.而且在同時存在硝酸鹽和亞硝酸鹽的環境中,二者去除的速度(總共14 h)比單一硝酸鹽(18 h)時更快.
在反應過程中,部分時間點檢測到微量的氨氮存在.雖然少量的氨氮會促進還原酶的合成和硝酸鹽類的去除,但氨氮只在部分時間點檢測到,無特定的規律,所以這種促進作用是否存在于本試驗研究中并不能確定.
3.3.2 反應器運行狀態
圖 5c為反應器內持續24 h的溫度、溶解氧和pH的變化趨勢.試驗中,pH呈逐漸上升趨勢,從試驗開始的7.71升至試驗結束的8.41,表明反硝化作用在持續穩定進行.溶解氧在6~14 h內波動明顯,與這一時間段硝酸鹽和亞硝酸鹽的快速去除相吻合.表明好氧反硝化菌在去除硝酸鹽類物質時,作為電子受體的O2也同時被還原,這與前文硝酸鹽為氮源的試驗現象一致.
3.4 好氧反硝化菌的鑒定
污泥樣品取自好氧反硝化試驗結束后的流離填料生物膜.圖 6為應用反硝化菌基因片段和GenBank數據庫所獲得的反硝化菌系統發育樹. 檢測到的反硝化菌經文獻比對得知:其中FN555565.1、 FN555559.1、FN555558.1,AY078272.1、AY078256.1、AM230913.1、AM230896.1為好氧反硝化菌;GQ384052.1、EF558380.1、EF558490.1為異養硝化-好氧反硝化菌;其它細菌暫時為性狀不明的反硝化菌,暫時無文獻比對結果.鑒定結果表明,隨著水環境中氮源類型的變化,流離填料生物膜內好氧反硝化菌的種屬發生變化以適應新氮源環境,與本試驗研究開始時所用的流離填料生物膜內的菌屬有一定區別;部分菌群具備異養硝化能力,可以解釋在處理低碳氮比廢水時0~10 h內總氮和有機碳源變化趨勢的相關性.具體參見污水寶商城資料或http://m.dongaorq.cn更多相關技術文檔。
圖6 反硝化菌的系統發育進化樹
4 結論
研究了生物膜內功能菌群為整體研究好氧反硝化特征.在低碳氮比廢水的試驗研究中發現,反應階段被分為異養硝化-好氧反硝化和自養硝化-好氧反硝化兩階段,但均符合同步硝化反硝化特征.在以硝酸鹽和亞硝酸鹽分別為氮源的廢水反硝化試驗研究發現,好氧反硝化菌對氮源的利用有先后之分;硝酸鹽去除過程中會出現亞硝酸鹽的積累,這是不同還原酶之間相互抑制的作用.在亞硝酸鹽和硝酸鹽同時存在條件下,二者去除速率(14 h)比單一硝酸鹽(18 h)的去除更快;好氧反硝化菌對氮源的改變有一個適應過程.以上結論均在高溫(>40 ℃)條件下得出.綜上,以整體菌群代替單一菌株的好氧反硝化試驗研究,并在相對惡劣的水環境下進行,有助于考察好氧反硝化菌應用于實際污水處理設施中的可能性.


