1 引言
景觀水體是城市水環境的重要組成部分,目前我國城市景觀水體普遍面臨污染負荷高、水體自凈能力差的問題,水體富營養化和黑臭現象嚴重(杜文華等,2006),而補水來源不足是造成這一問題的主要原因之一(李海燕等,2006).采用城市污水廠處理出水(尾水)作為水體補水水源成為不少城市解決景觀水體補水不足問題的重要舉措,尤其在干旱缺水地區,污水廠尾水成為一些景觀水體的唯一補水來源(Hirich et al., 2013).然而,從水質的角度來看,尾水的污染強度對水體水質變化具有重要的影響,尾水水質能達到《城鎮污水處理廠污染物排放標準》中的一級A或一級B標準(北京市環境保護科學研究院和中國環境科學研究院,2002),但作為水體的補水,這一水質標準與《地表水環境質量標準》(國家環境保護總局,2002)之間存在很大差異,以污水一級A排放標準與地表水V類水體標準相比,前者的TN和TP濃度分別是后者的7.5倍和2.5倍,也就是說,尾水補水很可能導致水體中營養物的富集,造成水體藻類的過度繁殖和富營養化(黃偉偉,2008).因此,針對以尾水為補水的城市景觀水體,開展污染物的收支平衡分析,有利于理清水體污染物的輸入輸出關系和遷移轉化規律,對開展水體水質預測和富營養化控制具有重要的意義.
翠湖位于昆明市中心(圖 1),是昆明市重要的景觀水體,該湖歷史上曾是滇池的連通水體,后因水位下降成為獨立水面.翠湖水面面積為150000 m2,經現場測定,平均水深約1.2 m,蓄水量約為170000 m3.目前,翠湖補水來源包括尾水、降雨和公園地表徑流3個方面,其中,尾水補水量占總補水量的90%以上,該尾水來自于昆明市第四污水廠出水.現階段,翠湖呈現嚴重富營養化狀態(于秀芳等,2008),初步分析,水中污染物來源于尾水補水、地表徑流和底泥釋放;另外,每年冬天到來年春天,都有大量的西伯利亞海鷗飛抵昆明過冬,主要棲息在翠湖公園內,因此,海鷗的排泄物也是翠湖污染物的一個重要來源.本研究從物料平衡的角度,提出城市水體污染物凈積累(NPA)模型并應用于昆明翠湖的污染解析,在對污染物輸入輸出途徑進行清單分析的基礎上,揭示不同途徑對水體污染的貢獻率及主要污染物的凈積累特性,以此為基礎,提出翠湖水體污染控制的優化策略,以期為城市景觀水體的富營養化控制提供新的分析方法和典型案例.
圖 1 昆明翠湖及采樣點示意圖
2 材料與方法
2.1 NPA模型的提出
為研究水體污染物的輸入輸出關系,提出如式(1)所示的污染物凈積累(Net Pollutants Accumulation,NPA)評價指標.
![]()
式中,∑Mi為輸入污染物總量(kg · a-1),∑Ni為輸出污染物總量(kg · a-1),∑Si為自凈能力對污染物的降解總量(kg · a-1),所有指標的計算均以年為單位.對于某個水體,如果計算得到NPA>0,說明該水體正處于污染物不斷富集的過程,NPA越大,污染物的富集程度越高;如果計算得到NPA≤0,說明污染物在該水體內不存在富集現象,水體自凈能力發揮了重要的污染物降解作用.
翠湖的污染物輸入途徑包括4個方面,其中,通過補水輸入污染物的途徑有:尾水補水(M1)、降雨補水(M2)和降雨在翠湖公園形成的徑流補水(M3),與此同時,每年大量的海鷗排泄物也給翠湖貢獻了一定量的污染物(M4).污染物輸出途徑也包括4個方面,都是通過水量的輸出途徑實現的,分別為水體排水(N1)、水面蒸發(N2)、灌溉用水(N3)、湖底滲漏(N4).水體自凈包括3個方面,分別為物理自凈作用(S1)、化學(物化)自凈作用(S2)和生物化學自凈作用(S3).
2.2 水量平衡
水量平衡是湖泊保持穩定庫容的基本原則,除海鷗的排泄物輸入(M4)外,污染物的輸入和輸出都是通過水量的進入和排出來實現的.因此,進行污染物的輸入和輸出量計算之前,首先需要確定水量的輸入和輸出量.依據水量平衡原則,湖泊的輸入總水量和輸出總水量之間應該滿足式(2)的計算關系.

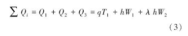
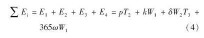
式中,∑Qi為輸入總水量(m3 · a-1),∑Ei為輸出總水量(m3 · a-1).其中,∑Qi可以通過式(3)進行計算,ΣEi可以通過式(4)進行計算.

式中,Q1為尾水補水量(m3 · a-1),Q2為降雨補水量(m3 · a-1),Q3為徑流補水量(m3 · a-1),q為尾水日補水量(m3 · d-1),T1為一年內補水的天數(d),h為當地年降雨深度(mm · a-1),W1為水面面積(m2);λ為公園的徑流系數,W2為形成徑流的面積(即公園面積)(m2).

式中,E1為水體排水量(m3 · a-1),E2為水面蒸發量(m3 · a-1),E3灌溉用水量(m3 · a-1),E4湖底滲漏水量(m3 · a-1),p為日排水量(m3 · d-1),T2為一年內排水的天數(d),k為當地年蒸發系數(mm · a-1 · m-2),δ為公園澆灌定額(L · m-2 · d-1),T3為一年內澆灌的天數(d),ω為滲漏系數(m · d-1).
2.3 污染物輸入輸出量計算
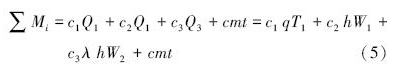
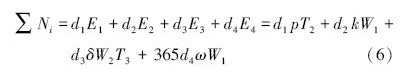
在水量平衡的基礎上,本文提出了如式(5)和式(6)所示的污染物輸入總量和輸出總量計算模型.

式中,c1為尾水中污染物濃度(g · m-3),c2為降雨中污染物濃度(g · m-3),c3為降雨徑流中污染物濃度(g · m-3),c為紅嘴鷗排泄物中相關污染物的含量(g · d-1 · 只-1),m為紅嘴鷗數量(只),t為每年紅嘴鷗的滯留時長(d).

式中,d1為排水中污染物濃度(g · m-3),d2為蒸發水中污染物濃度(g · m-3),d3為灌溉用水中污染物濃度(g · m-3),d4為滲漏水中污染物濃度(g · m-3).
2.4 水體自凈能力計算
通常來講,水體的自凈主要是由物理作用、化學作用和生物作用3種作用來實現的.本文研究的是翠湖整體,邊界是翠湖的物理邊界,因此,水體稀釋、沉淀等物理凈化屬于研究對象的內部轉化.通過對水體中pH、DO、氧化還原電位的24 h連續監測,未發現這些指標值有明顯變化,因此,對于以氧化還原為主的化學凈化和要求厭氧條件的氮、磷微生物轉化作用可以認為反應速率很低.綜上,翠湖的自凈過程將主要通過水生動、植物的吸收轉化來實現.
經過現場調研,翠湖的水生植物主要為荷花,且每年冬天會定期對凋謝的荷花進行打撈.而對于藻類而言,由于缺乏人工打撈,因此,藻類無法有效地去除,會繼續停留在湖體中;對于浮游動物,由于數量很少(周永興等,2009),因此,凈化效果可忽略.翠湖的主要動物為景觀鯉魚,而不是通常對水體凈化有明顯改善作用的鰱魚和鳙魚等濾食性魚類,且數量稀少,因此,魚類的凈化作用也很微小.所以本研究主要考慮水生植物對水體的自凈能力,式(7)為自凈能力的計算模型.

式中,∑Si為通過生物自凈的污染物量(kg · a-1),γi為第i種水生植物對水中污染物的凈化率,δi為第i種水生植物的種植面積(m2),Hi為第i種植物的生長周期(d),∑Mi為污染物年入湖總量(kg · a-1).
2.5 污染物濃度分析檢測
選取COD、TN、TP作為3個代表性污染物,其中,水樣中的COD采用重鉻酸鉀消解法檢測,TN采用過硫酸鉀氧化-紫外分光光度法檢測,TP采用鉬銻抗分光光度法檢測(魏復盛等,2002).針對海鷗排泄物中污染物濃度c的檢測,在現場采集具有代表性的海鷗糞便,將樣品混勻后置于烘箱內干燥24 h,取適量樣品于研缽中進行研磨,稱取一定量樣品,進行COD、TN、TP的檢測(魯如坤,2000).
按照每月1次的采樣頻率,在湖面選擇10個監測點(圖 1)進行代表性污染物的連續監測,包括進水點1個(1#)、排水點2個(3#和5#)、湖心點3個(2#、4#和9#)、湖岸點2個(6#和7#)、水生植物區2個(8#和10#).由于翠湖屬于淺水湖泊,因此,每個采樣點均只采集水面(0 m)及水面下0.5 m處水樣,取二者平均值作為這一監測點的污染物濃度.
式(5)和式(6)中的c1采用進水點連續監測結果的年平均值,d1采用2個排水點連續監測結果的年平均值;由于公園灌溉取水的分散性和水體下滲分布的均勻性,d3和d4采用湖水污染物年平均濃度,即水面其他7個監測點連續監測結果的年平均值.此外,降雨中污染物濃度c2的測定,選擇不同場次降雨初期、中期和末期3個時間節點,對代表性降水過程進行采樣分析,取平均值作為降雨污染物濃度值.針對c3的確定,在雨季連續采集地表徑流水樣進行主要污染物的檢測.最后,自凈能力計算中,H1、δ1通過現場調研得出,γi則參照已有的關于荷花對污染物去除的相關文獻中的結果(何連生等,2013).
3 結果及分析
3.1 水量平衡結果
如前所述,污染物的輸入和輸出主要是通過水量的輸入和輸出來實現的,且輸入總量和輸出總量應該滿足水量平衡關系,因此,首先需要利用式(3)和式(4)進行輸入和輸出總水量的分析和計算.表 1為計算依據和計算結果,可以看出,在水量輸入中,尾水補水是翠湖水量輸入的主要途徑,占輸入總量的92%,徑流補水對水量輸入的貢獻率最小,僅為1.7%;在水量輸出中,水體排水和湖底滲漏是水量輸出的主要途徑,分別占輸出總水量的49%和41%,灌溉用水比例較小,僅占3%.另一方面,從水量平衡的結果看,輸入總水量和輸出總水量的差值為2857 m3 · a-1,僅相當于輸入和輸出總水量的0.2%,滿足了式(2)的平衡關系,也就是說,在全年時間范圍內,水量的輸入總量與輸出總量基本接近,這與翠湖水體庫容和水位多年保持不變的實際情況相符.同時也表明,水量計算中各變量的取值都是合理的,這為污染物的輸入和輸出總量的分析和計算奠定了基礎.
表1 輸入和輸出水量計算與平衡分析結果
3.2 污染物收支計算結果
在水量平衡計算的基礎上,結合在現場實驗監測的不同污染源中3種代表性污染物的濃度和含量數據,利用式(5)和式(6)開展污染物輸入和輸出總量的計算,利用式(7)進行水體污染物自凈量的計算,計算結果見表 2.
表2 污染物輸入和輸出計算及自凈量與積累分析結果
從結果可以看出,不同輸入途徑對水體污染物輸入的貢獻率不同,與此相對應,不同輸出途徑對水體污染物輸出的貢獻率也不同.如圖 2所示,對于COD,在3種輸入途徑中,尾水補水的貢獻率最大,輸入COD量占輸入總量的96.1%,徑流補水和海鷗排泄的貢獻率相比很小;在4種輸出途徑中,水體排水和湖底滲漏的貢獻率較高,輸出COD量分別占輸出總量的57.0%和40.4%,灌溉用水的貢獻率相比很小.對于TN,在3種輸入途徑中,尾水補水的貢獻率最大,輸入TN量占輸入總量的94.3%,徑流補水和海鷗排泄的貢獻率相比很小;在4種輸出途徑中,水體排水和湖底滲漏的貢獻率較高,輸出TN量分別占輸出總量的52.2%和44.9%,灌溉用水的貢獻率相比很小.對于TP,在3種輸入途徑中,尾水補水并不是TP的唯一主要來源,尾水補水、徑流補水和海鷗排泄輸入TP量分別占輸入總量的39.7%、21.9%、38.4%;在4種輸出途徑中,水體排水和湖底滲漏的貢獻率較高,輸出TP量分別占輸出總量的51.4%和45.7%,灌溉用水的貢獻率相比很小.
圖 2 不同輸入輸出途徑對水中代表性污染物的貢獻
3.3 NPA計算結果
從表 2中污染物凈積累(NPA)的計算結果可以看出,COD在水體內的積累程度不嚴重,積累量為4027 kg · a-1,僅占COD輸入總量的4.8%;TN在水體內的積累程度最嚴重,積累量為8267 kg · a-1,占TN輸入總量的42.9%,與輸出總量基本相當;TP在水體內的積累程度也很嚴重,積累量為206 kg · a-1,占TP輸入總量的39.0%(圖 3).NPA的計算結果表明,翠湖水體中TN和TP的積累程度很高,這為水體中營養物的富集和藻類的過度繁殖提供了條件,對水體富營養化的控制非常不利.
圖 3 代表性污染物積累程度
3.4 優化管理策略
基于以上分析結果,研究認為,通過改變部分輸入輸出水量的方式來優化湖泊的管理,從而減少污染物在水體中的積累,尤其是TN、TP的積累.從污染物的輸入和輸出途徑來看,海鷗排泄(M4)和湖底滲漏(N4)是難以通過人為方式改變的途徑,尾水補水(M1)、徑流補水(M3)、水體排水(N1)和灌溉用水(N3)是可以人為調整的,但水量的調整需要滿足水量的平衡關系,而且為了保證水體的良好循環條件,不應該大幅度改變水體現有的換水周期.從輸入和輸出途徑中污染濃度對NPA的貢獻分析,COD值在所有途徑中基本相同,在海鷗排泄物中的總量很小,因此,只要輸入總水量和輸出總水量保持平衡關系,COD的積累就能有效控制;尾水補水和徑流補水中的TN濃度遠遠高于其他途徑,且由于尾水補水總量大,導致了TN的大量積累;徑流補水中的TP濃度和海鷗排泄物TP含量遠遠高于其他途徑,導致了TP的大量積累.
基于以上分析,本研究提出可通過3個方面的調整來進行管理的優化:①截流雨季徑流直接用于公園灌溉澆灑,徑流雨水不再進入水體;②旱季公園灌溉改由尾水直接供應,不再從湖中取水;③適當調整尾水補水量.經過優化后,NPA計算結果見表 3.
表3 優化管理后污染物的積累計算結果
從結果可以看出,采用優化管理模式后,湖泊的換水周期經過計算為38 d,與原有的36 d沒有明顯的變化,輸入和輸出總水量的平衡差值僅占輸入總水量的2%,基本符合水量平衡要求.與此相比,污染物的削減卻有顯著變化,COD減少了2587 kg · a-1,減少64.2%,積累量占輸入量的1.8%;TN的NPA值減少了1093 kg · a-1,且與輸入總量相比的積累比例降低到40.2%;TP積累現象得到明顯改善,NPA值減少了112 kg · a-1,減少54.4%,與輸入總量相比的積累比例也大幅下降到23.1%.由此可見,通過優化管理,能夠有效地緩解營養物在水體的富集,減緩水體富營養化發展趨勢.具體參見污水寶商城資料或http://m.dongaorq.cn更多相關技術文檔。
4 結論
本研究選取具有代表性的昆明翠湖為研究對象,針對該湖泊尾水補水量大的典型特點,提出了以污染物凈積累(NPA)為評價指標的污染物收支平衡分析方法,該方法將水量平衡作為基本原則,建立了污染物輸入和輸出總量的計算模型.計算結果表明,不同輸入和輸出途徑對水中污染物輸入和輸出的貢獻權重,顯示了代表性污染物在湖泊中的凈積累量和積累程度,揭示了TN和TP在翠湖水體嚴重積累的現象.基于計算結果,研究提出了翠湖水體的優化管理策略,包括截流污染負荷高的降雨徑流、尾水直接用于公園灌溉和適度調整尾水補水總量,經驗證,該優化策略能夠實現代表性污染物NPA的大幅度削減,有效緩解水體的富營養化趨勢.本研究為城市景觀水體的污染物積累分析提供了可操作性強的方法,為缺水城市景觀水體以污水廠尾水為補水條件下的污染物積累控制和優化調控提供了典型案例.


