1 引言
在傳統生物脫氮除磷工藝中,氮的去除主要是通過好氧硝化和缺氧反硝化兩個獨立的過程來實現,磷則是通過厭氧釋磷和好氧吸磷兩步完成.因此,同步脫氮除磷需要硝化菌、反硝化菌和聚磷菌(PAOs)同時參與.由于反硝化過程和釋磷過程都需要有機物提供碳源,反硝化細菌和PAOs之間存在競爭,所以當污水中碳源不足時,系統對氮、磷的去除效果將受到影響.
反硝化除磷菌(DNPAOs)可以利用同一碳源處理硝酸鹽/亞硝酸鹽和磷,從而避免了對有機碳源的競爭.DNPAOs能在厭氧條件下將有機物轉化為PHA存儲在細胞內,而且能利用硝酸鹽或亞硝酸鹽作為電子受體進行好氧吸磷.DNPAOs產能效率較低,污泥產量可以降低20%~30%.因此,DNPAOs在同步生物脫氮除磷中具有較大優勢.顆粒污泥具有結構致密、沉降性能好、生物密度大、微生物種類多、污泥活性高、抗沖擊能力強等優點.研究表明,顆粒污泥內部由于氧氣滲透深度有限可以同時存在好氧/缺氧/厭氧環境,有利于同步脫氮除磷.在SBR反應器中,通過攪拌、曝氣等選擇壓能夠得到反硝化除磷顆粒污泥,這種顆粒污泥兼具反硝化除磷技術和顆粒污泥的優勢.
反硝化除磷顆粒污泥技術作為一種新型的污水處理技術,目前尚處于實驗室小試階段,尚未得到廣泛應用,關于顆粒化過程的報道及顆粒污泥特性等的文章也不多見.為此我們進行本試驗的探究,擬為反硝化除磷顆粒污泥的顆粒化過程及其特性提供一定的實踐參考和理論依據.試驗采用三套完全相同的SBR反應器R1、R2和R3,以A/O/A運行模式,接種普通絮狀污泥,分別以普通人工配水、加Ca2+人工配水和實際生活污水為進水水源,進行反硝化除磷顆粒污泥的培養,并研究反硝化除磷顆粒污泥的相關特性及其除污性能.
2 材料與方法
2.1 試驗裝置
本試驗采用的3套SBR反應器R1、R2、R3形態結構完全相同,試驗裝置如圖 1所示.反應器由有機玻璃加工制成,內徑120 mm,外徑220 mm,高800 mm,高徑比H/D為6.7,有效容積7 L.SBR反應器的運行采用時間程序控制器進行自動控制,反應器全程不控溫,均在室溫(23~28 ℃)條件下運行.人工配水和實際生活污水由計量泵從反應器上部引入,厭氧和缺氧過程由攪拌儀實現,轉速為300 r · min-1,好氧過程利用氣泵從底部曝氣實現.試驗所用污泥取自武漢市沙湖污水處理廠二沉池,經初步處理后投加到反應器中,初始污泥濃度約為5000 mg · L-1.

圖1 SBR反應器示意圖
2.2 系統運行模式
3套反應器均采用A/O/A模式,反應周期為8 h,每日運行3個周期,每周期排水比為50%.好氧段DO值控制在5.0 mg · L-1左右,缺氧段低于0.50 mg · L-1,厭氧段低于0.25 mg · L-1.具體運行模式如表 1所示.

表1 A/O/A模式不同階段運行時間
2.3 試驗用水與水質
本實驗進行人工配水和實際生活污水的對比分析,其中,R1采用人工配水,R2采用加10 mg · L-1 Ca2+人工配水(Ca2+由CaCl2提供),R3采用取自武漢大學茶港小區的實際生活污水.污水水質如表 2所示.同時人工配水中加入微生物生命活動所需的各種微量元素,微量元素組成如表 3所示.
表2 人工配水和實際生活污水水質

表3 微量元素液成分
2.4 分析方法
采用國家標準方法測定COD、NH4+-N、NO3--N、NO2--N、TN和TP,采用pHS-25型酸度計測量pH值,采用YSI5000型溶解氧測定儀測定DO.顆粒污泥外觀形態及生物相采用電子顯微鏡進行觀察,含水率和比重的測定采用重量法,比耗氧速率的測定采用污泥呼吸測量法.
3 結果與分析
3.1 顆粒污泥培養及特征
接種污泥為淺黃褐色絮狀,無明顯絲狀菌,活性較低.在SBR中不同進水培養過程中,絮狀污泥由細小的不規則顆粒變成個體較大較飽滿的顆粒,最終長成形狀呈球形或橢球形,顏色為黃褐色或黑褐色,結構致密,邊緣較清晰的顆粒污泥.研究發現,反硝化除磷顆粒污泥顏色較深,原因是缺氧段顆粒污泥內部pH較低,使部分金屬鹽沉積.
R1~R3中顆粒污泥特性如表 4所示.從表 4可知,R1~R3間相比,R1、R2較R3中顆粒污泥平均粒徑和比重偏高,含水率和比耗氧速率偏低.說明R1和R2中顆粒污泥孔隙率較小,生物密度較大,但微生物活性較R3低.造成這些區別的主要原因有二:一是R1和R2中污水負荷較R3中偏高,二是R3中生活污水成分較R1和R2中配水更為復雜.與活性污泥相比,R1~R3中顆粒污泥粒徑和比重明顯增加,含水率明顯降低,比耗氧速率也有很大提高;與已有的關于反硝化除磷顆粒污泥報道相比,粒徑、含水率和比重處于中等水平區間,但比耗氧速率偏小,分析主要是COD負荷過低所致.

表4 顆粒污泥特性對比
3.2 啟動期除污性能
3.2.1 COD去除
啟動期R1~R3中COD去除情況如圖 2所示.由圖 2可以看出,R1、R2中COD去除率均較高,但R2平均出水COD較R1低,原因可能是Ca2+有助于顆粒污泥的形成,R2中反硝化除磷顆粒污泥成長速度較快.R3初期對COD有一定的去除能力,但當進水濃度變化時,這種能力不穩定,說明抗沖擊負荷能力不強;后期,R3系統的處理能力逐漸增強并穩定,不隨進水濃度的變化出現大的波動,此時系統內顆粒污泥已經逐漸成熟起來,具有較強的去污能力和抗沖擊負荷能力.R3平均去除率低于R1、R2,主要是因為R3初期進水COD變化太大,抗沖擊負荷能力弱,同時水中含有較多的惰性有機質難被微生物利用;后期去除率穩定在90%左右,說明R3具備了穩定高效的處理能力,同時具有較強的抗沖擊負荷能力.

圖2 R1~R3中COD去除情況
由此可見,反硝化除磷顆粒污泥啟動階段對COD的去除是很高效的,這主要是因為生物除磷過程是一個需能反應過程,必須供給足夠的能量才能合成PHAs供微生物使用.本文結果與以往試驗結果一致.
3.2.2 氮的去除
圖 3為R1、R2和R3對NH4+-N的去除情況.從圖 3中可以看出,R1和R2對NH4+-N的去除情況呈現與COD類似的規律,即R2的處理能力和處理效果較R1強且穩定.后期系統對NH4+-N的去除率都穩定在95%以上.R3前期對NH4+-N的處理能力比較強,這是因為系統中本來就存在一定數量的硝化細菌.當進水NH4+-N濃度從18.44 mg · L-1驟升到111.98 mg · L-1時,系統出水NH4+-N濃度也隨之升高,去除率下降,這主要是由于系統硝化菌數量有限,未完全進行硝化反應;但系統抗沖擊負荷能力很強,迅速恢復了高效去除NH4+-N能力,去除率上升并穩定在90%以上.

圖3 R1~R3中NH4+去除情況
根據Kishida等的研究發現,反硝化除磷顆粒污泥啟動過程中硝氮的去除率一般較高,基本可達95%以上,而普通SBR工藝去除率一般為90%左右.這說明反硝化除磷顆粒污泥工藝具有良好的同步脫氮除磷效果,主要原因是在顆粒污泥內部存在一個“缺氧區”,在此區域內能進行好氧條件下的反硝化作用,增加了氨氮的去除效果.
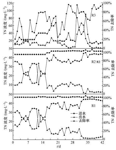
圖 4為R1、R2、R3對TN的去除情況.從圖 4可以看出,R1和R2中前期TN去除效果波動較大,后期趨于平穩,主要是因為隨著系統內絮狀污泥逐漸轉化為顆粒污泥,DNPAOs得到有效富集,提高了反硝化能力,使硝酸氮和亞硝酸氮徹底反硝化去除.與R1和R2相比,R3對TN的去除效果波動較大,并呈現出與NH4+-N去除效果類似的趨勢.從圖 4中還可以看出,在運行第30 d時,進水TN濃度驟升至114.16 mg · L-1,TN去除效果下降,但經過4 d的短時運行后,系統對TN的去處效果又恢復了穩定,說明R3系統已經具備了很強的抗沖擊負荷能力.

圖4 系統對TN的去除情況
綜合來看,R3系統對氨氮的去除效果與對總氮的去除效果并不同步,在對氨氮去除效果良好的基礎上,系統只有具有良好的反硝化能力,才可以實現高效生物脫氮.
3.2.3 磷的去除
R1、R2和R3系統對TP的去除情況如圖 5所示.從圖 5中可見,R1、R2系統前期的除磷能力較差,出水濃度較高;中后期R1和R2系統除磷能力逐漸提高并保持穩定,最終TP去除率均可保持在90%左右;并且運行前期R1對TP去除能力較R2稍強,后期卻稍弱于R2.分析原因可能是運行前期兩系統中投泥量稍有差異,R1污泥濃度稍高于R2;運行后期R2中反硝化除磷顆粒污泥生長速度快于R1,致使R2中DNPAOs逐漸呈現優勢.R3前期除磷效果較差,主要是因為系統中DNPAOs濃度較低,進水COD負荷不足;后期系統除磷效果逐步提高并趨于穩定,最終TP出水濃度穩定在1 mg · L-1以下,去除率高于90%.與R1、R2相比,R3出水平均TP濃度更低,因為R3進水平均TP濃度遠低于R1、R2;R3平均去除率低于R1、R2系統,這是由于R3采用的生活污水中有機物濃度較低,可供DNPAOs吸收利用的短鏈脂肪酸較少,不利于DNPAOs的增長繁殖,系統除磷效率的提高較人工配水系統緩慢.

圖5 系統對TP的去除情況
總體來看,與普通SBR工藝及顆粒污泥工藝相比,反硝化除磷顆粒污泥工藝對TP的去除是很高效的.這主要是由于氧氣滲透深度的限制在顆粒污泥內部形成了好氧狀態下的“好氧-缺氧-厭氧”分區,促進了同步反硝化除磷效能.
在系統運行的第22 d,供電系統斷電故障,導致R1~R3中去除情況波動.當系統供電恢復后,R1~R3也得以恢復正常.綜合看來,R1、R2和R3系統出水COD、NH4+-N、TN均達到一級A排放標準,出水TP達到一級B標準,出水TP多維持在0.02~0.70 mg · L-1范圍內.
3.3 典型周期除污性能
反硝化除磷顆粒污泥系統穩定后對COD、NH4+-N、TN和TP的去除效果較培養階段有所提高,圖 6為一典型周期內R1、R2和R3中污染物濃度變化情況.從圖 6中可見,三系統對COD、NH4+-N、TN和TP的去除率都在90%左右,系統對污染物的去除穩定且高效.從圖 6可以看出,一個周期內R1~R3中NH4+-N分別減少了143.66、160.91、41.87 g,對應的NO3--N增加量則僅為75.85、84.04、15.01 g.因此,根據的化學計量方程計算出通過好氧反硝化去除的NO3--N量分別為64.85、73.56、26.00 g.

圖6 典型周期營養物變化情況
根據和)的報道,DNPAOs的反硝化吸磷率分別為2.10、1.97 g · g-1(以每克NO3--N吸收的P量(g)計),本實驗中均值為2.0 g · g-1.反硝化除磷分析及對比如表 5所示.由表 5可知,R1、R2中經DNPAOs去除的磷含量比例分別為42.01%、60.95%,與報道的50%較接近;與活性污泥和已有的反硝化除磷顆粒污泥報道數據相比,本實驗中R1~R3的最大比釋磷速率(SPRR)偏小,而最大比吸磷速率(SPUR)則偏大,主要是由于顆粒污泥內部存在擴散阻力,同時在好氧段中顆粒污泥內部PAOs由于氧氣不足無法正常發揮作用吸磷,而DNPAOs厭氧比吸磷速率較好氧時.
需要特別提出的是,已有報道中提出的DNPAOs去除的磷含量比例(1.97、2.10 g · g-1)均不適用于R3系統,已有數值偏大,具體系數有待進一步研究.分析原因是因為上述系數都是在人工配水條件下得到的,而生活污水系統組分復雜,影響因素更多.

表5 反硝化除磷分析及對比
4 顆粒化機制探析
在好氧顆粒污泥的形成過程中,選擇壓假說是最受認可的,選擇壓可以分為水力選擇壓和生物選擇壓.通過控制反應器的結構特性(主要是H/D)和水力條件等將性能差的污泥淘汰,同時通過改變混合液中有機負荷選擇適宜的微生物種類和數量.本試驗通過逐步降低沉降時間、曝氣提供水力剪切力、A/O/A交替運行等水力選擇壓來促進反硝化除磷顆粒污泥的形成;通過逐步縮短好氧段運行時間,延長缺氧段運行時間來強化反硝化除磷能力.具體表現為:①逐步縮短反應器沉降時間(由起始的20 min逐步降低至2 min),在此過程中排出沉降性能差的污泥,富集沉降性能優良的菌膠團.②通過曝氣為反應器提供連續、均勻水力剪切力,同時提供充分混合的好氧條件(好氧段DO值約5 mg · L-1),以促進細胞之間的自凝聚.③A/O/A交替運行模式為具有反硝化除磷功能的細菌提供理想的生長環境,使其在同絲狀細菌的競爭中處于優勢地位,提供較大的傳質動力.
同時,一些學者提出了好氧顆粒污泥形成的晶核假說,無機晶核在反應前期提供細胞凝聚的晶核,促進顆粒污泥的快速形成.本試驗R2系統中加入10 mg · L-1 Ca2+使反應器顆粒污泥形成速度較快,也可以佐證這種觀點.具體參見污水寶商城資料或http://m.dongaorq.cn更多相關技術文檔。
5 結論
1)以污水廠二沉池污泥作為接種污泥,采用A/O/A運行模式,分別以普通人工配水、加Ca2+人工配水和實際生活污水為進水水源,于30 d內培養得到平均粒徑大于600 μm的反硝化除磷顆粒污泥.顆粒污泥粒徑較大、含水率較低、比重較大、比耗氧速率較高.試驗結果表明,一定濃度的Ca2+對顆粒化過程有促進作用.
2)R1、R2和R3系統培養期間除污性能逐步提高,抗沖擊負荷能力逐漸加強.三系統對COD、NH4+-N、TN和TP的平均去除率可達90%,R1~R3中最大 比釋磷速率分別達14.34、8.32和2.32 mg · g-1 · h-1,R1和R2中最大比吸磷速率分別達14.13和2.34 mg · g-1 · h-1.
3)反硝化除磷顆粒污泥穩定運行后,典型周期的試驗結果顯示,R1、R2和R3系統對COD、NH4+-N、TN和TP的去除率均為90%左右,表明反硝化除磷顆粒污泥系統具有良好的污染物去除效果.



