1 引言
隨著國家政策支持和引導力度的加大,太湖富營養化的治理逐見成效,對太湖富營養化的研究也逐步由外源性的污染控制轉移到對內源性污染的關注,但外源性污染的控制依然不容忽視.太湖流域污染性工業已經得到一定控制,但流域內生活污水、農業面源污染仍未得到有效的控制,而這些污染物均通過入湖河流排入到太湖中.太湖流域內村鎮級的河流特別是斷頭浜均與入湖河流水系相通,而這些河流長期受到沿岸農業面源污染、生活污水和人畜廢水的影響,蓄積了大量的營養物質,底泥淤積嚴重,有些則形成黑臭河流,對下游河流及湖泊的水體生態系統構成重要的影響;此外,這些河流平時成為環保部門監測和治理的盲點區域,第一手資料仍然十分匱乏,因此,要從污染源頭抓起,使外源性污染得到一定控制.
沉積物是磷等營養物質的重要蓄積庫,既可作為“匯”收集來自上覆水體中沉降、顆粒物、運輸等多種途徑帶來的污染物;也可在特定的環境條件下,沉積物作為“源”將污染物再次釋放到上覆水體中,從而引起水體二次污染.因此,對深受外源性污染影響的村鎮級的河流特別是斷頭浜給予關注外,其河流的內源性污染也不容忽視.沉積物作為內源性污染的重要來源之一,是構成黑臭河流中重要的一部分.掌下浜(北段)是太滆南運河下游的自然支流之一,沿途與數條斷頭浜相連,流域內由于農村居住分散,加上農村集體經濟實力有限,缺乏有效管理和技術處理能力,基本無完整的生活污水收集系統和處理設施,農村生活污水、農業退水直接排入現有排水溝渠塘及河道,導致河流污染日益嚴重,加上河道沉積物中污染物含量高,嚴重影響了太湖水質.同時,目前對湖泊、入湖河流、入湖河口、城市內河及湖泊的外源性污染控制的研究較多,但對農村地區的黑臭河流、斷頭浜的沉積物污染狀況從外源和內源兩方面研究相對較少.
因此,筆者從太湖流域農村黑臭河流中選取掌下浜(北段)作為典型研究區域,分析河道沉積物中磷形態的分布特征及相關性,從日益加重的外源性污染和不容忽視的內源性污染兩方面給予評價,以期為河流污染現狀和治理及太湖富營養化防治提供基礎數據.
2 研究區域及方法
2.1 研究區域概況
掌下浜(北段)為太滆南運河下游的一條天然支流,全長約3 km,河段主要位于江蘇省宜興市周鐵鎮內,由北向南注入太滆南運河.河流兩岸土地以農業用地和居住用地為主,隨著區域經濟的發展和居民生活水平的提高,日益增長的生活污水和農業退水均未經處理直接排入河流,導致河流污染日益嚴重.
2.2 采樣點設置及樣品采集
采樣點的布設結合河流的特點,特別是農村村落分布及斷頭浜交匯處,從上游到下游共設13個采樣點,樣點具體布設如圖 1所示.于2014年10月對掌下浜(北段)進行現場觀測與采樣,采用口徑為9 cm的柱狀采樣器(HYDROBIOS,德國)采集未經擾動的沉積物柱狀樣品,每個采樣點均隨機采集3個樣品,沉積物現場以5 cm分層,混勻后立即裝入聚乙烯自封袋中,并同時運用有機玻璃采水器采集相應點位距離水面30 cm深處的河水,一同放入冷藏箱中4 ℃保存,送往實驗室處理.沉積物樣品送至實驗室后采用孔徑1 cm的鐵篩對底泥進行粗篩,以除去植物殘體和貝類等大顆粒物質,對篩過的底泥進行充分混勻,經冷凍干燥機(LABCONCO凍干機,美國)凍干后,瑪瑙研缽充分研磨,過100目篩,放入玻璃瓶置于陰涼干燥處備用.采集的柱狀沉積物均分為3層,即表層(0~5 cm)、中層(6~10 cm)、底層(11~15 cm).

圖1 采樣點位示意
2.3 理化指標測定
上覆水體指標包括總氮(TN)、總磷(TP),采樣點位置及上覆水體部分理化指標如表 1所示.沉積物中磷形態分析采用歐洲標準測試測量組織提出的SMT(The St and ards,Measurements and Testing Programme)協議來進行沉積物的磷形態提取.SMT法將磷分為5種形態:總磷(TP)、無機磷(IP)、有機磷(OP)、氫氧化鈉提取態磷(Fe/AlP)、鹽酸提取態磷(CaP),具體步驟如圖 2所示.磷形態的測定采用鉬銻抗分光光度法.有機質含量以沉積物分別在105 ℃及450 ℃下灼燒所得燒失量(LOI)表示.

表1 采樣點上覆水體部分理化指標
圖2 沉積物磷形態分級和測定
2.4 數據分析
實驗所有數據均為3次平行取得的平均值.采用Excel2013進行整理,使用SPSS 18.0和Origin 8.0進行數據分析和相關圖件制作.使用SNK檢驗進行差異顯著性分析(p<0.05表示差異顯著,p<0.01表示差異極顯著).
3 結果與討論
3.1 沉積物總磷和各組分磷的垂向分布特征
3.1.1 鈣結合態磷(CaP)
CaP主要是與Ca結合的磷,是沉積物中較惰性的磷組分,也是一種難溶于水的化合物,它對湖水復磷貢獻較小,常被認為是生物難利用性磷.CaP主要包括自生成因或生物成因的自生磷灰石磷,以及與自生碳酸鈣共沉淀或外源輸入的各種難溶性的磷酸鈣礦物,如羥基磷灰石、過磷酸鈣等.這些礦物在沉積物中穩定性很高,通常被認為是生物難利用磷,較難與活性磷成分進行形態轉化,因此,也不易在沉積剖面中進行上下層間的遷移,是沉積物早期成巖過程的最終產物之一.在人為磷輸入量較高的湖區,沉積物中 CaP 的含量應該較高.
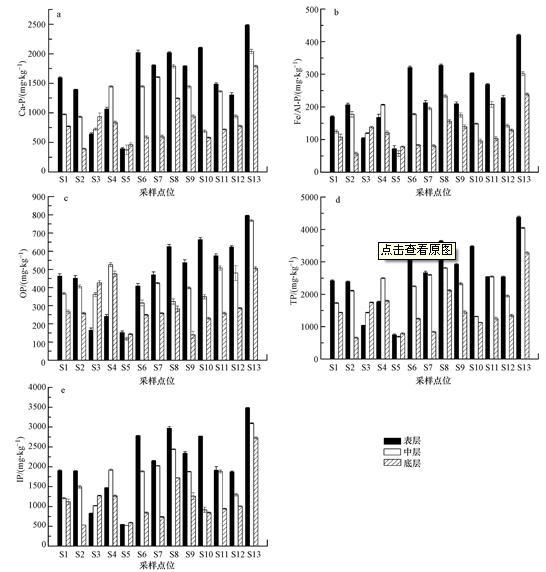
從圖 3a中可以看出,各采樣點沉積物中的Ca P含量在垂直剖面上總體呈現下降趨勢.表層含量最大值出現在S13號采樣點處,平均含量達到2484.84 mg · kg-1;底層(10~15 cm處)最小值出現在S2號采樣處,平均含量達到392.73 mg · kg-1;在S10號采樣點處含量降幅最大,表層CaP平均含量達到2102.40 mg · kg-1,底層(10~15 cm處)達到581.73 mg · kg-1,下降幅度達到72.33%.在采樣點S8和S13的沉積物中,CaP的相對含量最高,分別占測定TP的58.91%和53.91%,也是沉積物中IP的主要組成部分(70.87%和67.87%).表層沉積物CaP含量高可能是由于河流兩岸以居民聚居區和農田為主,河水帶入大量的農業灌溉用水和生活污水,農業灌溉用水中含有大量的磷肥和未被利用的農藥,加上動植物殘骸隨降雨徑流帶入河流,使得河流表層沉積物CaP含量相對較高.隨著沉積深度增加,CaP含量在垂直剖面上表現出下降的趨勢,說明掌下浜(北段)短暫的沉積歷史內,鈣磷的轉化不是沉積磷早期成巖作用的優勢過程.此外,這也與已有的一些研究結論并不相同.由于各研究采用的是不同的分級分離方法,得到的磷形態并不一致,導致結論不同也是可能的.從圖 4可以看出,沉積物中CaP的平均含量占TP的比例達到57.13%,說明CaP構成了沉積物TP的主要部分,同時說明CaP是沉積物中主要的無機磷形態.

圖3 各采樣點磷形態垂向分布(a.CaP,b.Fe/AlP,c.OP,d.TP,e.IP)
圖4 各采樣點磷形態垂向分布含量占TP的比例
3.1.2 鐵鋁結合態磷(Fe/AlP)
鐵鋁結合態磷(Fe/AlP)主要是指通過物理和化學作用吸附在鐵、鋁氧化物和氫氧化物膠體表面上的磷,深受沉積物粒度及pH、氧化還原電位等環境因子的影響.大多數研究認為,鐵鋁結合態磷的遷移轉化過程是沉積物向上覆水體釋放磷的主要機制之一,因此,被認為是沉積物中主要活性磷組分,對沉積物水界面磷的循環起到主要作用.同時,Fe/AlP在各種磷形態中占有重要的地位,這部分磷的來源與人類活動有關,主要來源于生活污水和工業廢水,所以Fe/AlP可以反映出區域磷污染的情況.
從圖 3b中可以看出,各采樣點沉積物中的Fe/AlP含量在垂直剖面上從底層到表層總體呈現增加趨勢,Fe/AlP的相對含量在不同采樣點存在明顯差異.其中,在S6號采樣點處含量降幅最大,表層Fe/AlP平均含量達到320.55 mg · kg-1,底層(10~15cm)達到83.15 mg · kg-1,下降幅度達到74.06%.在S5號采樣點處Fe/AlP平均含量出現逆增長,Fe/AlP平均含量由表層的72.27 mg · kg-1增加到底層的78.45mg · kg-1,增長幅度僅到8.55%.在采樣點S8和S13的沉積物中,Fe/AlP的相對含量較高,分別占測定TP的8.4%和8.19%.究其原因,由于鐵存在氧化還原平衡,容易受到氧化還原電位變化的影響.隨著沉積深度的增加,有機質降解消耗溶解氧,導致溶解氧隨深度增加而不斷降低,使沉積環境相應變得還原,沉積物還原能力也隨之大大增強,氧化還原電位降低,沉積物中的三價鐵隨之被還原為二價鐵,膠體狀的〖Fe(OH)3〗x變成可溶性的Fe(OH)2,吸附在上面的磷隨著二價鐵的溶出而釋放到間隙水中,然后依靠濃度梯度向上覆水中遷移釋放,在氧化還原電位較高的表層沉積物中形成礦物而沉淀,表層沉積物對磷酸根遷移的屏蔽效應造成在沉積物表層的富集.底泥中存在的厭氧細菌也會促進這一過程的進行.另外,隨著沉積深度的增加,非晶礦物逐步變得有序化,鐵的氧化物和氫氧化物與磷結合能力隨之逐漸減弱,這也可能是鐵磷含量隨深度增加而降低的原因.沉積物中鋁磷含量同樣隨著沉積深度的增加而呈現降低的趨勢,可能受到如沉積物粒度和沉積物粘度,以及其形成時間和沉積物成因等環境因子的影響,但關于其機理一部分人認為這可能與其氧化物在沉積物中的循環相關,隨著深度的增加,沉積環境由氧化轉向還原,Fe/AlP隨著其氧化物被還原溶解而逐漸釋放或向其它形態磷轉化;另一部分人則認為Fe/AlP對沉積物中磷的吸附與釋放雖然有很多相似之處,但鋁氫氧化物不受氧化還原電位的影響,而且對水體和沉積物中的磷是永久性吸附.沉積物Fe/AlP 的分布規律及遷移機制還需進一步深入研究.
3.1.3 有機磷(OP)
有機磷(OP)包括由陸源性排放物質組成的難降解性有機磷部分和由死亡的水生生物尸體組成的可降解性有機磷部分.其中,可降解有機磷部分可以在早期成巖過程中隨有機質的降解而釋放,甚至向其它結合態磷轉化.有機磷作為湖泊沉積物中重要的組成部分,是不容忽視的潛在生物有效磷源,對湖泊富營養化具有重要作用.有機磷在沉積物中的含量是由多種因素控制的,如輸入量、沉積特性、早期成巖作用及生物作用等,被認為部分可被生物所利用,與人類活動有關,主要來源于面源污染.
由圖 3c可以看到,各采樣點OP含量(除 S3、S5外)隨深度增加而逐漸減小,其中,在S9號采樣點處含量降幅最大,表層OP平均含量達到537.14 mg · kg-1,底層(10~15 cm)達到140.01 mg · kg-1,下降幅度達到73.93%.下降幅度最小出現在S5號采樣點處,OP平均含量為152.26~143.69 mg · kg-1,下降幅度僅到5.63%.表層OP平均含量相對較高可能與河流兩岸長期不斷排放的生活污水和農業退水,以及地表徑流將作物秸稈、有機生活垃圾帶入河流,使大量有機質沉降在沉積物表層發生降解有關,造成表層有機磷含量偏高.此外,OP平均含量隨著沉積深度增加而減少可能是OP己經部分出現分解釋放,有一部分隨著沉積深度的增加,沉積物中溶解氧含量隨之降低,厭氧程度越高,而厭氧條件加劇了有機質的礦化作用,OP進入泥-水界面后轉化為其他形態,很可能分解成為可溶性的小分子有機磷或溶解性正磷酸鹽,溶解組分經過間隙水自下而上遷移擴散,轉化為其它可生物利用的磷,從而影響上覆水的質量.
3.1.4 總磷(TP)和無機磷(IP)
掌下浜(北段)沉積物中TP含量及IP含量在剖面上的變化(除S3、S4、S5號采樣點外)總體表現出自底層到表層逐步增加的趨勢(如圖 3d和3e所示),表現出“表層富集”現象.在各采樣點,沉積物中TP含量較高,平均含量達到2050.13 mg · kg-1;表層沉積物中TP含量最大值出現在S13號采樣點處,達到4379.31 mg · kg-1,但降幅最大的出現在S7號采樣點處,表層TP含量是沉積物底層(10~15 cm)的3.18倍,降幅達到68.55%.
無機磷(IP)是湖泊生態系統中非常重要的磷形態.沉積物中IP平均含量達到1625.30 mg · kg-1;表層沉積物中IP平均含量最大值和最小值分別出現在S13號和S5號采樣點處,分別為3484.57 mg · kg-1和545.37 mg · kg-1,含量降幅最大的出現在S2號采樣點處,表層TP含量是沉積物底層(10~15 cm)的3.57倍,降幅達到71.96%.從圖 3d、3e和圖 4中可以得出,沉積物TP、IP含量垂向變化趨勢基本與CaP一致,而且CaP又在TP、IP中比例均達到最大,說明沉積物中TP含量主要受其中IP含量影響,而IP含量主要受其中CaP含量影響.沉積物中TP含量所表現出的“表層富集”一種普遍存在的現象,一些人認為這主要是外源污染嚴重而導致沉積物表層磷含量的增加: 還有一些人認為這可能是由于沉積物中磷的地球生物化學作用而導致其向表層遷移所致越大.TP含量在垂直距離上表現出逐漸降低的原因可能是河流流速緩慢,低棲動物較少,河流中水生植物較少,根系對沉積物中TP含量影響較小;此外,受到生活污水排放量的增加和農業面源污染加大的影響,大量的外源營養物質不能夠及時擴散被懸浮物質吸附就直接沉淀下來.
3.2 有機質含量與各形態磷的相關關系
沉積物中有機質是極為重要的膠體之一,是與重金屬及其有機質污染物發生吸附、分配和絡合等作用的活性物質,同時也是反映沉積物有機營養程度的重要標志.掌下浜(北段)各采樣點位沉積物中垂向剖面上有機質含量的變化如圖 5所示.從圖 5可以看出,各采樣點沉積物中有機質的平均含量位于均7.25%~9.46%之間,比對長壽湖沉積物有機質含量研究結果高出3~4倍,與對南四湖沉積物有機質含量研究結果相似,與對太湖西岸湖濱帶沉積物有機質含量研究結果相似但變化范圍相比較小.在現場采樣時發現各采樣點河流均淤積嚴重,黑臭底泥淤積最嚴重的可達1 m以上,沉積物中有機質的重要來源有可能是河流兩岸的生活污水、農業退水和各種生物殘體的分解.除S3、S5、S10采樣點外,其余采樣點沉積物中有機質含量均隨沉積深度的增加而降低,其中,降幅最大的出現在S2號采樣點處,由表層的8.05%降到底層的5.14%;此外,表層有機質含量最大值同樣出現在S9號采樣點處,表層最小值出現在S3號采樣點處,有機質含量僅達6.72%.由表 2可知,沉積物中有機質與各形態磷的相關性并不一致.沉積物中有機質在空間分布上與TP與IP含量均具有顯著的相關性(p<0.01),相關系數分別為0.94和0.92,說明沉積物中LQI的礦化分解過程中產生的有機酸與其他的螯合劑將部分無機固定態磷釋放為可溶態的磷,有機質中富里酸聚陰離子與磷酸鹽陰離子產生吸附競爭,通過專性吸附進入礦物離子,由此促進沉積物中磷的釋放.此外,沉積物中有機質含量與CaP也顯著相關(p<0.05,n=13),與OP和Fe/AlP的相關性不顯著,表明沉積物中TP含量主要來自于CaP,其次是Fe/AlP和OP.

圖5 各采樣點垂直剖面上有機質含量的變化
表2 沉積物樣品中有機質、總磷和各形態磷含量之間的相關關系
3.3 沉積物各形態磷相關性分析
沉積物中磷的質量比受沉積物性質、水力條件、生物作用及人類干擾等多種因素的影響.了解沉積物中各形態磷之間的相關關系及各形態磷與物理化學因素之間的關系,有利于認識磷形態分布特征,能夠為總結沉積物中磷遷移轉化規律提供依據,從而更好地為入湖河流治理及管理服務,本文中各形態磷含量之間的相關關系如表 2所示.
TP和IP、CaP具有顯著的相關性(p<0.01),相關系數均達到0.98以上,與OP也具有顯著的相關性(r=0.88,p<0.05,n=13).TP與IP之間存在顯著的相關性(r=0.99,p<0.01, n=13),說明沉積物中TP的含量主要是由IP控制;而TP和CaP、IP和CaP含量同樣均呈顯著的相關性(r=0.98,r=0.99 p<0.01,n=13),由此進一步表明沉積物中 TP 含量的增加,主要來自CaP,其次是OP,也說明CaP構成了IP的主要部分,同樣也映證了近年來河流兩岸農業廢水和生活污水排放量日益增加的現狀,使得采樣區域富營養化現狀不斷加劇,河流水體中不斷增加的磷向沉積物遷移,造成沉積物中磷的不斷增加并在沉積物中沉淀下來.在各形態磷中,OP與Fe/AlP、CaP均呈顯著的正相關關系(相關系數分別為0.80、0.88,p<0.01,n=13),表明沉積物中OP含量對Fe/AlP、CaP的含量均有影響,與其部分可被生物利用的特征較為符合,但從實驗結果看,對CaP的影響要稍大一些.CaP與Fe/AlP之間也存在顯著的相關性(r=0.95, p<0.01,n=13),說明Fe/AlP的還原釋放對CaP的形成,特別是對自生磷灰石磷形成具有一定的影響.具體參見污水寶商城資料或http://m.dongaorq.cn更多相關技術文檔。
4 結論
1)在垂向分布上,各形態磷都有一定的變化規律,各采樣點沉積物中的各形態磷含量在垂直剖面上總體均呈現下降趨勢.TP平均含量的變化范圍為659.33~4379.31 mg · kg-1;IP是各采樣點沉積物中磷的主要成分,占TP的66.59%~88.25%.沉積物中TP的含量主要是由IP控制的.CaP占TP的44.17%~71.47%,占IP的62.17%~83.70%,是構成IP的主要部分.統計數據表明,在不同采樣點位,各形態磷含量在垂向分布上差異性不同.
2)沉積物中有機質含量分布及其與各形態磷的相關性并不一致.沉積物中有機質(LQI)平均含量為7.25%~9.46%;在空間分布上與TP與IP含量均達到顯著的相關性,說明有機質的礦化分解可促進沉積物中IP的釋放.
3)沉積物樣品中總磷、各形態磷含量之間的相關關系顯示,IP、CaP、OP與TP均具有顯著的相關關系,表明沉積物中 TP 含量的增加,主要來自CaP,其次是OP,CaP構成了IP的主要部分;OP與Fe/AlP、CaP也具有顯著的正相關關系表明OP含量對Fe/AlP、CaP的含量均有影響,CaP與Fe/AlP之間存在顯著的相關性說明Fe/AlP的還原釋放對CaP的形成具有一定的影響.


