某水廠以黃河水為源水,由于地處北方,黃河水在冬季有4~5個月的時間處于低溫低濁水階段,此時水溫在10℃以下,濁度低于10NTU。低溫對絮凝過程的影響主要體現在導致混凝劑水解不徹底;同時低濁度水源水由于雜質較少,凝聚、碰撞機會也少,因此不容易形成絮體。由于絮體形成不明顯導致水中余鋁含量升高,人體攝取過量的鋁可能引起嚴重缺鈣,且體內過高的殘余鋁可能引發帕金森綜合癥、老年癡呆、脫發等疾病[1]。
許多研究結果表明,絮體破碎后不可完全恢復。張忠國等[2]研究發現,絮體破碎后再絮凝能力與混凝劑的投加量有關。Yukselen等[3,4]研究硫酸鋁和聚合氯化鋁形成的絮體,只能表現出有限的再絮凝能力,這表明絮體破碎過程具有顯著的不可逆性,而且絮體破碎再絮凝后剩余濁度增加。Li等[5]和Hermawan等[6]也得出了類似的結論,即當硫酸鋁為混凝劑時,破碎絮體較難恢復。Solomentseva等[7]研究認為,絮體形成、破碎和再絮凝過程重復多次后,每次破碎后絮凝的絮體尺寸均比該次破碎前要小。有研究表明,當硫酸鋁和聚丙烯酰胺作為混凝劑時,破碎絮體在高剪切速率下發生破碎后,就很難再絮凝[8]。
本文針對低溫低濁水源水處理難度大,水質不易達標的問題,研究了幾種不同混凝劑的處理效果,并同時監測混凝過程中絮體的破碎與再生長、剩余濁度以及余鋁,以期為水廠更加高效地處理低溫低濁水提供指導。
1 材料與方法
1.1 實驗儀器
六聯攪拌儀用來進行混凝燒杯實驗;濁度儀用于測定剩余濁度;分光光度計(UV-vis2910,Hita-chi)用來測量混凝劑中鋁形態;馬爾文激光粒度儀(Mastersizer2000)用來測量混凝過程中的絮體粒徑;絮體沉降柱用于測定不同條件下絮體的沉降性;三維熒光光譜用于測定有機物組成。
1.2 實驗所用混凝劑及鋁形態
實驗選擇氯化鋁(AlCl3),聚合氯化鋁(PACl),高效聚合氯化鋁(HPAC)3種鋁系混凝劑。利用Ferron比色法[9]測定混凝劑中鋁形態:取5.5mLFerron比色液加到25mL比色管中,采用去離子水定容至25mL,然后加入一定量(微升級)的待測液,迅速搖勻并計時,將盛有樣品的比色皿置于分光光度計中進行自動掃描,掃描區間為混合反應后30s到2h,掃描波長366nm,Ferron表征結果見表1,其中Ala是混凝劑中與Ferron試劑在1min內發生反應的鋁形態部分,主要為單體鋁;Alb是混凝劑中與Ferron試劑在1~120min內發生反應的鋁形態部分,主要為低聚態和中聚態的鋁;Alc是混凝劑中與Ferron試劑在120min內仍不能反應的鋁形態部分,主要為高聚態的鋁。
1.3 混凝實驗程序
本實驗在500mL燒杯中進行,混凝程序見表2,經過0.5min的快速攪拌之后,加入所需的混凝劑。本混凝實驗均設3組平行樣,最終結果取平均值。
1.4 絮體破碎與再生長實驗具體參見http://m.dongaorq.cn更多相關技術文檔。
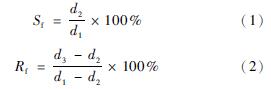
經過10min慢攪結束后,提高攪拌速度到50、100、150、200和500r/min進行5.0min的破碎,破碎后再經過10min的40r/min的慢攪進行絮體恢復,利用馬爾文激光粒度儀測定混凝過程中的絮體粒徑。絮體的強度因子(strengthfactor,Sf)、恢復因子(recoveryfactor,Rf)[10-12]的計算公式如下:

式中:d1(μm)為破碎前絮體粒徑;d2(μm)為破碎后絮體粒徑;d3(μm)為重新絮凝后絮體粒徑。
1.5 實驗周期內原水水質情況
實驗周期內監測原水水質,水溫為2.0~6.5℃,濁度為7.12~8.30NTU,pH值為8.1~8.6,UV254為0.041~0.045cm-1,CODMn為2.4~2.6mg/L,溶解氧為11.2~13.5mg/L。
詳情請下載:不同混凝劑處理低溫低濁水




