1、方法原理
用蒸餾法使揮發性酚類化合物蒸餾出,并與干擾物質和固定劑分離。由于酚類化合物的揮發速度是隨餾出液體積而變化,因此,餾出液體積必須與試樣體積相等。被蒸餾出的酚類化合物,于pH(10.0±0.2)介質中,在鐵氰化鉀存在下,與4-氨基安替比林反應生成橙紅色的安替比林染料,用三氯甲烷萃取后,在460nm波長下測定吸光度。
2、干擾及消除
氧化劑、油類、硫化物、有機或無機還原性物質和苯胺類干擾酚的測定。
2.1氧化劑(如游離氯)的消除
樣品滴于淀粉-碘化鉀試紙(6.23)上出現藍色,說明存在氧化劑,可加入過量的硫酸亞鐵去除。
2.2硫化物的消除
當樣品中有黑色沉淀時,可取一滴樣品放在乙酸鉛試紙上,若試紙變黑色,說明有硫化物存在。此時樣品繼續加磷酸酸化,置通風櫥內進行攪拌曝氣,直至生成的硫化氫完全逸出。
甲醛、亞硫酸鹽等有機或無機還原性物質的消除可分取適量樣品于分液漏斗中,加硫酸溶液使呈酸性,分次加入50、30、30ml乙醚以萃取酚,合并乙醚層于另一分液漏斗,分次加入4、3、3ml氫氧化鈉溶液進行反萃取,使酚類轉入氫氧化鈉溶液中。合并堿萃取液,移入燒杯中,置水浴上加溫,以除去殘余乙醚,然后用水將堿萃取液稀釋到原分取樣品的體積。同時應以水做空白試驗。
2.3油類的消除
樣品靜置分離出浮油后,按照操作步驟進行。
2.4苯胺類的消除
苯胺類可與4-氨基安替比林發生顯色反應而干擾酚的測定,一般在酸性(pH<0.5)條件下,可以通過預蒸餾分離。
3、樣品采集
樣品采集按照HJ/T91的相關規定執行。
在樣品采集現場,用淀粉-碘化鉀試紙檢測樣品中有無游離氯等氧化劑的存在。若試紙變藍,應及時加入過量硫酸亞鐵去除。樣品采集量應大于500ml,貯于硬質玻璃瓶中。采集后的樣品應及時加磷酸酸化至pH約4.0,并加適量硫酸銅(6.4),使樣品中硫酸銅質量濃度約為1g/L,以抑制微生物對酚類的生物氧化作用。
4、樣品保存
采集后的樣品應在4℃下冷藏,24h內進行測定。
5、分析步驟
5.1預蒸餾
取250ml樣品移入500ml全玻璃蒸餾器中,加25ml水(6.1),加數粒玻璃珠以防暴沸,再加數滴甲基橙指示液(6.22),若試樣未顯橙紅色,則需繼續補加磷酸溶液(6.10)。
連接冷凝器,加熱蒸餾,收集餾出液250ml至容量瓶中。蒸餾過程中,若發現甲基橙紅色褪去,應在蒸餾結束后,放冷,再加1滴甲基橙指示液。若發現蒸餾后殘液不呈酸性,則應重新取樣,增加磷酸溶液加入量,進行蒸餾。
注:
1:使用的蒸餾設備不宜與測定工業廢水或生活污水的蒸餾設備混用。每次試驗前后,應清洗整個蒸餾設備。
2:不得用橡膠塞、橡膠管連接蒸餾瓶及冷凝器,以防止對測定產生干擾。
5.2顯色
將餾出液250ml移入分液漏斗中,加2.0ml緩沖溶液(6.13),混勻,pH值為10.0±0.2,加1.5ml4-氨基安替比林溶液(6.14),混勻,再加1.5ml鐵氰化鉀溶液(6.15),充分混勻后,密塞,放置10min。
5.3萃取
在上述顯色分液漏斗中準確加入10.0ml三氯甲烷,密塞,劇烈振搖2min,倒置放氣,靜置分層。用干脫脂棉或濾紙拭干分液漏斗頸管內壁,于頸管內塞一小團干脫脂棉或濾紙,將三氯甲烷層通過干脫脂棉團或濾紙,棄去最初濾出的數滴萃取液后,將余下三氯甲烷直接放入光程為30mm的比色皿中。
5.4吸光度測定
于460nm波長,以三氯甲烷為參比,測定三氯甲烷層的吸光度值。
5.5空白試驗
用水代替試樣,按照5.1~5.4步驟測定其吸光度值。空白應與試樣同時測定。
5.6校準
5.6.1校準系列的制備
于一組8個分液漏斗中,分別加入100ml水(6.1),依次加入0.00、0.25、0.50、1.00、3.00、5.00、7.00和10.00ml酚標準使用液(6.21),再分別加水(6.1)至250ml。
按照5.2~5.4步驟進行測定。
5.6.2校準曲線的繪制
由校準系列測得的吸光度值減去零濃度管的吸光度值,繪制吸光度值對酚含量(μg)的曲線,校準曲線回歸方程相關系數應達到0.999以上。具體參見http://m.dongaorq.cn更多相關技術文檔。
6、結果計算
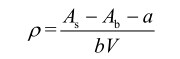
試樣中揮發酚的質量濃度(以苯酚計),按式(1)計算:

(1)式中:ρ——試樣中揮發酚的質量濃度,mg/L;
As——試樣的吸光度值;
Ab——空白試驗(5.5)的吸光度值;
a——校準曲線(5.6.2)的截距值;
b——校準曲線(5.6.2)的斜率;
V——試樣的體積,ml。
當計算結果小于0.1mg/L時,保留到小數點后四位;大于等于0.1mg/L時,保留三位有效數字。


