工業電泳涂裝工藝產生的高濃度有機廢水主要是陰極液、超濾液是機械(汽車、家電等),其成分見表1。
表1 陰極液、超濾液主要成分
|
兩液中BOD很低,BOD/COD <0.1,不宜采用生化法處理。兩液中高分子樹脂、顏填漆料可采用混凝法處理,而低分子溶劑(醇、醚類)成為處理難點。
水中易揮發的低分子有機物如醇、醚類等用吹脫法、蒸餾法、汽提法均可去除,其中蒸餾法耗能較大,汽提法則須密閉攪拌,吹脫法耗能少、簡便易行。被吹脫的有機廢氣可用多種方法處理,其中燃燒法對低濃度有機廢氣并不適用,且存在不完全燃燒的二次污染問題;吸收法則效率較低,而用作吸收劑的柴油、汽油耗量較大。吸附法則對有機化合物吸附選擇性好,吸附效率高,用低壓蒸汽解吸再生方便。因此采用吹脫—吸附法分離低分子溶劑,由吸附劑吸附后解吸冷凝回收是一種值得研究的處理方法。
1吹脫—吸附法處理廢水流程
吹脫吸附法處理兩液廢水的工藝過程見圖1。
![]() |
原水中含高分子樹脂、顏填漆料,直接進行吹脫將影響低分子溶劑向氣相的傳質過程,從而影響吹脫效率。投加PFS(藥劑)(1 400~1 600 mg/L),采用混凝法進行預處理,則易于通過電中和及吸附架橋去除水中高分子物質及懸浮態的顏填漆料,處理水澄清,COD有不同程度的下降。水中醇醚類低分子溶劑水溶性好,藥劑混凝對醇醚類低分子物質的去除效果較差,混凝處理出水中剩余COD主要由醇醚類低分子溶劑組成;炷A處理出水水質見表2。
|
2 試驗裝置
吹脫—吸附法試驗裝置見圖2。
試驗條件:
吹脫器:φ120 mm×250 mm,吸附器:φ300 mm×300 mm,冷凝器:φ40 mm×400 mm
壓縮空氣壓力:P=0.88~0.92 kPa,低壓蒸汽壓力:P=0.1 MPa
活性炭:粒狀,20~50目,比表面積:a=1 200 m2/g,吸附塔空塔線速:v=0.25 m/s
試驗時取經預處理的陰極液、超濾液加入吹脫器1,通入壓縮空氣鼓泡,出氣由閥5由上向下通過吸附器2,由閥7排出。吸附飽和后,由閥8通入低壓蒸汽,出氣由閥6進入冷凝器3,并同時開通冷卻水,冷凝后液態溶劑由溶劑收集器4收集。
測試檢驗項目:
進入吹脫器原水COD,流出吹脫器出水COD、冷凝回收液態溶劑COD。
吸附出氣(即閥7出氣)嗅味,采用直接嗅味法(嗅覺有刺激即為超標,約100 mg/L)測定,此法較簡便。
3 試驗結果及討論
吹脫試驗中測定陰極液、超濾液吹脫前后的COD,其結果如圖3、4。
| |
由圖3、4可知,吹脫氣水比越高,出水COD越低,即COD去除率越高。陰極液吹脫氣水比達48時(原水COD=2.76×104 mg/L,氣壓P=0.882 kPa,水溫20~22 ℃),COD去除率達72.6%。超濾液吹脫氣水比達104時(原水COD=2.76×104 mg/L,氣壓P=0.882 kPa,水溫20~22 ℃),去除率達49.8%。
加溫吹脫甚至采用汽提法對溶劑氣化分離顯然有益,但對活性炭吸附有機氣體將降低效果。
用嗅味法測定吸附出氣是否帶有刺激性氣味來判斷活性炭是否吸附飽和。一旦有異味即停止吹脫,對活性炭用低壓蒸汽再生。再生試驗測得數據如表3。
表3 活性炭再生冷凝回收溶劑試驗數據
| |||||||||||||||||||||||
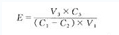
回收率計算式:
由于吸附過程采用單柱,難免有機溶劑氣體泄漏,活性炭吸附亦難以達到全飽和,所以本試驗回收率不高。工程上擬采用多柱串聯吸附(如青島頤中汽車公司、南汽NAVECO公司),則既可防止泄漏,又可保證炭柱在全飽和狀態下再生,從而可提高溶劑回收率。吸附容量:
![]() |
4 結論
、俅得摲椒ǹ捎糜诤袡C溶劑的高濃度有機廢水陰極液、超濾液的處理,該法可在氣水比λ=48及λ=104時,使COD=2.76×104 mg/L的陰極液、超濾液的COD去除率分別達到72.6%和49.8%。
、活性炭對陰極液、超濾液吹脫的有機溶劑氣體單柱吸附時,飽和吸附容量為0.123 gCOD/g炭,用低壓蒸汽解吸再生、冷凝回收有機溶劑,回收率可達46.7%~47.3%。
、鄄捎么得摗椒ㄌ幚黼娪就垦b工藝廢液可以大大降低出水COD濃度,減輕污染,并可回收有機溶劑,產生一定的經濟效益。該處理工藝與其他方法配合使用可成為含有機溶劑高濃度有機廢水處理的一種有效方法 。谷騰水網




