公布日:2024.04.16
申請日:2023.12.14
分類號:B66B31/00(2006.01)I;B66B29/00(2006.01)I
摘要
本發明提供了一種用于電扶梯清洗及污水處理的一體化控制系統,涉及清洗技術領域,包括:清洗方案獲取模塊,用于利用固定攝像機拍攝每個拆卸梯級的若干張當下圖像,得到同個拆卸梯級的每張圖像的污漬分布以及每個分布位置點的污漬清洗系數,進而得到對應拆卸梯級的清洗方案;污水處理模塊,用于將所述清洗方案輸入到方案分析模型中確定梯級清洗處理裝置的第一處理參數,并對清洗后的污水進行檢驗確定含油廢水處理裝置第二處理參數;方法匹配模塊,用于基于第二處理參數向相應廢水處理單元匹配污水處理方法;污水驗證模塊,用于獲取按照所述處理方法處理后的待排放污水,確定是否可以排放。保證衛生的清潔,提高污水處理效率。
權利要求書
1.一種用于電扶梯清洗及污水處理的一體化控制系統,其特征在于,包括:清洗方案獲取模塊,用于對電梯中的每個梯級進行拆卸,并利用固定攝像機拍攝每個拆卸梯級的若干張當下圖像,得到同個拆卸梯級的每張圖像的污漬分布以及每個分布位置點的污漬清洗系數,進而得到對應拆卸梯級的清洗方案;污水處理模塊,用于將所述清洗方案輸入到方案分析模型中確定梯級清洗處理裝置中每個清洗處理單元的第一處理參數,并對清洗后的污水進行檢驗確定含油廢水處理裝置中每個廢水處理單元的第二處理參數;方法匹配模塊,用于基于第二處理參數向相應廢水處理單元匹配污水處理方法;污水驗證模塊,用于獲取按照所述處理方法處理后的待排放污水,確定是否可以排放,并對不可以排放的待排放污水再次進行處理。
2.根據權利要求1所述的系統,其特征在于,清洗方案獲取模塊,包括:圖像獲取單元:基于所述固定攝像機拍攝每個拆卸梯級在不同方位下的當下圖像;分布確定單元:對每張當下圖像進行灰度轉化獲取灰度圖像,并通過對所述灰度圖像進行像素分析得到第一污漬分布;將不同方位下的當下圖像進行融合拼接,得到融合圖像,并確定所述融合圖像的第二污漬分布;根據所述第一污漬分布以及第二污漬分布,分析得到對應拆卸梯級的最終污漬分布;系數確定單元,用于根據所述最終污漬分布、每個污漬位置點的像素信息以及每個污漬位置點所處連通污漬區域的位置坐標,確定對應拆卸梯級的污漬清洗系數;向量構建單元,用于按照每個污漬位置點的污漬清洗系數以及每個污漬位置點的污漬類型,構建得到對應拆卸梯級的梯級污漬向量;方案獲取單元,用于將所述梯級污漬向量輸入到向量分析模型得到對應梯級的清洗方案。
3.根據權利要求2所述的系統,其特征在于,所述系數確定單元,包括:比較子單元,用于統計每個污漬位置點所處連通污漬區域中的污漬位置點的總個數lN,并與預設污漬個數Dy進行比較;當IN≥yN時,確定第一調節系數A1;

當IN<yN時,確定第二調節系數A2;

ln表示對數函數符號;μ1為基于污漬分布的轉換系數;D02為所處連通污漬區域中所有污漬位置點的平均污漬像素值;Dy為預設污漬像素值;σ42為基于所處連通污漬區域中所有污漬位置點的污漬像素值方差;系數確定子單元,用于基于第一調節系數A1、第二調節系數A2以及每個污漬位置點的像素信息以及每個污漬位置點所處連通污漬區域的位置坐標,計算對應污漬位置點的清洗系數X0。
4.根據權利要求3所述的系統,其特征在于,系數確定子單元,用于:

其中,r01為對應污漬像素點的像素信息所對應的污漬轉化系數;w01為對應污漬像素點所處連通污漬區域的位置坐標的坐標權重。
5.根據權利要求1所述的系統,其特征在于,方法匹配模塊,包括:檢測物質確定單元:基于梯級清洗處理裝置與含油廢水處理裝置中存在的清洗介質以及處理介質,由介質-物質檢測表獲取得到需要檢測的待檢測物質;檢測方法獲取單元:基于全部待檢測物質,得到相對應的檢測方法;模型構建單元:基于全部檢測方法,構建污水檢測模型。
6.根據權利要求5所述的系統,其特征在于,方法匹配模塊,還包括:預檢單元:將獲取的第二處理參數輸入至污水檢測模型,得到相對應的預檢報告;匹配單元:基于所述預檢報告在處理方法數據庫中匹配相對應的處理方法。
7.根據權利要求1所述的系統,其特征在于,污水驗證模塊,還包括:物質獲取單元:獲取不可以排放的待排放污水的檢測報告,得到不符合排放標準的待檢測物質;計算單元:基于每種待檢測物質在歷史處理日志中不符合排放標準的第一個數以及相對應的第一含量,計算每種待檢測物質的處理有效指數;優化單元:將每種待檢測物質的處理有效指數與對應預設有效指數進行比較,若小于,則對相對應的待檢測物質相對應的處理方法進行優化。
8.根據權利要求7所述的系統,其特征在于,計算單元,包括:

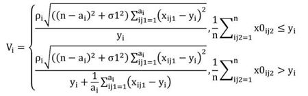
其中,Vi表示每i待檢測物質的處理有效指數;n表示歷史處理日志中全部污水處理的次數;ai表示第i種待檢測物質在歷史處理日志中全部污水處理中不符合排放標準的第一個數;xij1表示第i種待檢測物質在歷史處理日志中全部污水處理中第j1次不符合排放標準的第一含量;yi表示第i種待檢測物質符合排放標準時的含量閾值;ρi表示第i種待檢測物質的有效權重;x0ij2表示第i種待檢測物質在歷史處理日志中的第j2次污水處理中的排放含量;σ12表示第i種待檢測物質所涉及到的所有xij1的方差。
發明內容
本發明提供一種用于電扶梯清洗及污水處理的一體化控制系統,用以通過固定攝像機對每個拆卸梯級進行不同方位的圖像拍攝,來確定對應梯級的污漬分布,進而按照與其對應的清洗方案實現對梯級的針對性以及有效性的清洗,且通過后續對污水的分析及處理,保證清洗電扶梯后的污水排放安全。
本發明提供一種用于電扶梯清洗及污水處理的一體化控制系統,包括:
清洗方案獲取模塊,用于對電梯中的每個梯級進行拆卸,并利用固定攝像機拍攝每個拆卸梯級的若干張當下圖像,得到同個拆卸梯級的每張圖像的污漬分布以及每個分布位置點的污漬清洗系數,進而得到對應拆卸梯級的清洗方案;
污水處理模塊,用于將所述清洗方案輸入到方案分析模型中確定梯級清洗處理裝置中每個清洗處理單元的第一處理參數,并對清洗后的污水進行檢驗確定含油廢水處理裝置中每個廢水處理單元的第二處理參數;
方法匹配模塊,用于基于第二處理參數向相應廢水處理單元匹配污水處理方法;
污水驗證模塊,用于獲取按照所述處理方法處理后的待排放污水,確定是否可以排放,并對不可以排放的待排放污水再次進行處理。
優選的,清洗方案獲取模塊,包括:
圖像獲取單元:基于所述固定攝像機拍攝每個拆卸梯級在不同方位下的當下圖像;
分布確定單元:對每張當下圖像進行灰度轉化獲取灰度圖像,并通過對所述灰度圖像進行像素分析得到第一污漬分布;
將不同方位下的當下圖像進行融合拼接,得到融合圖像,并確定所述融合圖像的第二污漬分布;
根據所述第一污漬分布以及第二污漬分布,分析得到對應拆卸梯級的最終污漬分布;
系數確定單元,用于根據所述最終污漬分布、每個污漬位置點的像素信息以及每個污漬位置點所處連通污漬區域的位置坐標,確定對應拆卸梯級的污漬清洗系數;
向量構建單元,用于按照每個污漬位置點的污漬清洗系數以及每個污漬位置點的污漬類型,構建得到對應拆卸梯級的梯級污漬向量;
方案獲取單元,用于將所述梯級污漬向量輸入到向量分析模型得到對應梯級的清洗方案。
優選的,所述系數確定單元,包括:
比較子單元,用于統計每個污漬位置點所處連通污漬區域中的污漬位置點的總個數lN,并與預設污漬個數Dy進行比較;
當IN≥yN時,確定第一調節系數A1;

當IN<yN時,確定第二調節系數A2;

ln表示對數函數符號;μ1為基于污漬分布的轉換系數;D02為所處連通污漬區域中所有污漬位置點的平均污漬像素值;Dy為預設污漬像素值;σ42為基于所處連通污漬區域中所有污漬位置點的污漬像素值方差;
系數確定子單元,用于基于第一調節系數A1、第二調節系數A2以及每個污漬位置點的像素信息以及每個污漬位置點所處連通污漬區域的位置坐標,計算對應污漬位置點的清洗系數X0。
優選的,系數確定子單元,用于:

其中,r01為對應污漬像素點的像素信息所對應的污漬轉化系數;w01為對應污漬像素點所處連通污漬區域的位置坐標的坐標權重。
優選的,方法匹配模塊,包括:
檢測物質確定單元:基于梯級清洗處理裝置與含油廢水處理裝置中存在的清洗介質以及處理介質,由介質-物質檢測表獲取得到需要檢測的待檢測物質;
檢測方法獲取單元:基于全部待檢測物質,得到相對應的檢測方法;
模型構建單元:基于全部檢測方法,構建污水檢測模型。
優選的,方法匹配模塊,還包括:
預檢單元:將獲取的第二處理參數輸入至污水檢測模型,得到相對應的預檢報告;
匹配單元:基于所述預檢報告在處理方法數據庫中匹配相對應的處理方法。
優選的,污水驗證模塊,還包括:
物質獲取單元:獲取不可以排放的待排放污水的檢測報告,得到不符合排放標準的待檢測物質;
計算單元:基于每種待檢測物質在歷史處理日志中不符合排放標準的第一個數以及相對應的第一含量,計算每種待檢測物質的處理有效指數;
優化單元:將每種待檢測物質的處理有效指數與對應預設有效指數進行比較,若小于,則對相對應的待檢測物質相對應的處理方法進行優化。
優選的,計算單元,包括:
其中,Vi表示每i待檢測物質的處理有效指數;n表示歷史處理日志中全部污水處理的次數;ai表示第i種待檢測物質在歷史處理日志中全部污水處理中不符合排放標準的第一個數;xij1表示第i種待檢測物質在歷史處理日志中全部污水處理中第j1次不符合排放標準的第一含量;yi表示第i種待檢測物質符合排放標準時的含量閾值;ρi表示第i種待檢測物質的有效權重;x0ij2表示第i種待檢測物質在歷史處理日志中的第j2次污水處理中的排放含量;σ12表示第i種待檢測物質所涉及到的所有xij1的方差。
與現有技術相比,本申請的有益效果如下:
1、通過固定攝像機對每個拆卸梯級進行不同方位的圖像拍攝,來確定對應梯級的污漬分布,進而按照與其對應的清洗方案實現對梯級的針對性以及有效性的清洗,且通過后續對污水的分析及處理,保證清洗電扶梯后的污水排放安全。
2、通過分析每種待檢測物質在歷史處理日志中不符合排放標準的第一個數以及相對應的第一含量,計算每種待檢測物質的處理有效指數,精準地對污水處理方法進行檢測,有利于提高污水處理的效率。
(發明人:葛建新;趙鴻強;韓云龍)






