公布日:2023.12.08
申請日:2023.08.17
分類號:C12N11/08(2020.01)I;C08G83/00(2006.01)I;C02F3/34(2023.01)I
摘要
本發明涉及具有負荷響應功能的超分子凝膠ANAMMOX增強型包埋微生物制備方法及應用,超分子凝膠支架主體由戊二酸酐橋聯脲基苯酚結構單元之間通過六重氫鍵作用自組裝形成,戊二酸酐橋聯脲基苯酚結構上分別引入羰基和胺基;連接各個主體的支鏈結構為甘醇鏈。本發明的有益效果是:本發明主要針對傳統厭氧氨氧化工藝世代周期長、抗沖擊負荷能力弱、污泥富集困難的不足,通過引入六重氫鍵作用形成的超分子凝膠支架對氨氧化菌進行包裹,進而完成有益菌種的篩選和富集,縮短世代周期的同時也大大提升了總氮容積負荷和總氮去除負荷。

權利要求書
1.一種具有負荷響應功能的超分子凝膠ANAMMOX增強型包埋微生物,其特征在于,超分子凝膠支架主體由戊二酸酐橋聯脲基苯酚結構單元之間通過六重氫鍵作用自組裝形成,戊二酸酐橋聯脲基苯酚結構上分別引入羰基和胺基;連接各個主體的支鏈結構為甘醇鏈。
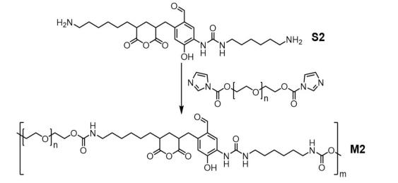
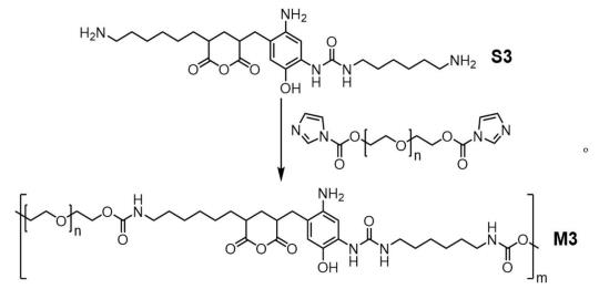
2.根據權利要求1所述的具有負荷響應功能的超分子凝膠ANAMMOX增強型包埋微生物,其特征在于,戊二酸酐橋聯脲基苯酚結構單元包括M2和M3,其化學結構式為:

3.根據權利要求2所述的具有負荷響應功能的超分子凝膠ANAMMOX增強型包埋微生物,其特征在于,六重氫鍵的化學結構式為:

4.根據權利要求3所述的具有負荷響應功能的超分子凝膠ANAMMOX增強型包埋微生物,其特征在于,M2和M3混合形成超分子凝膠支架后,低負荷情況下為中性或弱酸性,席夫堿斷裂,支架內片層分離,允許足量氨氮和亞硝酸根自由通過;高負荷情況下環境呈現強堿性,席夫堿閉合,支架內片層收緊,允許氨氮和亞硝酸根的通過量減小以防止好氧氨氧化菌和厭氧氨氧化菌中毒失活。
5.一種如權利要求1所述超分子凝膠ANAMMOX增強型包埋微生物的制備方法,其特征在于,包括:S1、活性污泥預處理:用城市污水處理廠A2/O工藝中的反硝化污泥作為厭氧氨氧化工藝的啟動污泥,使用前需先去除污泥中攜帶的氨氮、有機物、亞硝酸鹽及硝酸鹽雜質成分;S2、制備超分子凝膠包埋微生物顆粒:將新鮮制備好的M2和M3按一定摩爾比混合均勻,并加入去離子水,水與凝膠混合物的質量比控制在24:1至18:1;體系用保鮮膜密封后置于75℃~90℃的油浴中攪拌加熱,待體系由無色變為淺黃色澄清溶液后停止加熱,至于恒溫培養箱中緩慢降溫至45℃~55℃,取出后迅速向體系中加入一定量的經過預處理的脫水活性污泥,凝膠水溶液與含水率50%~60%的活性污泥混合質量比為5:1至15:1;將加入污泥后的體系繼續水浴加熱至50℃~60℃并恒溫攪拌10min~15min,待攪拌均勻后,置于恒溫培養箱緩慢冷卻,冷卻速度為2K/min-4K/min;溫度降至室溫后,繼續放置20min~30min,體系變為深褐色凝膠塊,經機械切割成長度為2-5mm的方形超分子凝膠包埋微生物顆粒;取少許顆粒自然風干至恒重,得到干凝膠;S3、將S2制得的超分子凝膠包埋微生物顆粒投加至反應器中,投加為反應容器有效容積的30%-60%,隨后倒入除鹽水,由底部微孔曝氣盤進行曝氣同時調節曝氣量使系統內溶解氧維持在2-3mg/L以激活菌體;曝氣12小時后調小曝氣量使溶解氧維持在0.2-0.5mg/L,開始根據微生物顆粒使用量投加營養鹽并逐步提升進水氨氮負荷。
6.根據權利要求5所述的超分子凝膠ANAMMOX增強型包埋微生物的制備方法,其特征在于,S1中,雜質去除方法為用pH=6.5-7.5的K2HPO4/KH2PO4緩沖液清洗啟動污泥三次后,靜置沉降,傾倒掉上層清液后經板框壓濾機將污泥含水率降至50%~60%備用。
7.根據權利要求5所述的超分子凝膠ANAMMOX增強型包埋微生物的制備方法,其特征在于,S2中,M2和M3的摩爾比為1:1.1至1:1.3。
8.根據權利要求5所述的超分子凝膠ANAMMOX增強型包埋微生物的制備方法,其特征在于,S2中,M2和M3的制備方法包括:步驟1、化合物S1的合成:將羥基封端的聚乙二醇置于高真空下加熱蒸掉水分;將干燥好的PEG10k溶解于氯仿中,隨后緩慢滴加到1,1-羰基二咪唑的氯仿溶液中;體系在氮氣保護下室溫攪拌,隨后將混合物倒入過量的二乙醚中進行沉淀;通過過濾分離得到粗產物,在真空下干燥得到S1;表示為:

步驟2、化合物M2的合成:將制備好的S1和二氨基化合物S2分別溶解于干燥氯仿中,再分別倒至滴液漏斗中,兩滴液漏斗安裝于三口燒瓶的兩側口,中間口裝機械攪拌器,反應開始時調節兩滴液漏斗滴加速度,待全部滴加完成后將混合物在氮氣保護下繼續室溫攪拌,得到澄清的粘稠溶液;向溶液中加入乙醚后獲得白色沉淀,抽濾得到白色粉末粗產物,收集并在高真空下干燥過夜得化合物M2;表示為:

步驟3、化合物M3的合成:將制備好的S1和二氨基化合物S3分別溶解于干燥氯仿中,再分別倒至滴液漏斗中,兩滴液漏斗安裝于三口燒瓶的兩側口,中間口裝機械攪拌器,反應開始時調節兩滴液漏斗滴加速度,待全部滴加完成后將混合物在氮氣保護下繼續室溫攪拌,得到澄清的粘稠溶液;向溶液中加入乙醚后獲得白色沉淀,抽濾得到白色粉末粗產物,收集并在高真空下干燥過夜得化合物M3;表示為:

9.一種如權利要求1所述超分子凝膠ANAMMOX增強型包埋微生物在處理氨氮廢水的應用。
發明內容
本發明的目的是針對現有技術的不足,提出了具有負荷響應功能的超分子凝膠ANAMMOX增強型包埋微生物制備方法及應用。
第一方面,提供了一種具有負荷響應功能的超分子凝膠ANAMMOX增強型包埋微生物,超分子凝膠支架主體由戊二酸酐橋聯脲基苯酚結構單元之間通過六重氫鍵作用自組裝形成,戊二酸酐橋聯脲基苯酚結構上分別引入羰基和胺基;連接各個主體的支鏈結構為甘醇鏈。
作為優選,戊二酸酐橋聯脲基苯酚結構單元包括M2和M3,其化學結構式為:

作為優選,六重氫鍵的化學結構式為:

作為優選,M2和M3混合形成超分子凝膠支架后,低負荷情況下為中性或弱酸性,席夫堿斷裂,支架內片層分離,允許足量氨氮和亞硝酸根自由通過;高負荷情況下環境呈現強堿性,席夫堿閉合,支架內片層收緊,允許氨氮和亞硝酸根的通過量減小以防止好氧氨氧化菌和厭氧氨氧化菌中毒失活。
第二方面,提供了一種如第一方面所述超分子凝膠ANAMMOX增強型包埋微生物的制備方法,包括:
S1、活性污泥預處理:用城市污水處理廠A2/O工藝中的反硝化污泥作為厭氧氨氧化工藝的啟動污泥,使用前需先去除污泥中攜帶的氨氮、有機物、亞硝酸鹽及硝酸鹽雜質成分;
S2、制備超分子凝膠包埋微生物顆粒:將新鮮制備好的M2和M3按一定摩爾比混合均勻,并加入去離子水,水與凝膠混合物的質量比控制在24:1至18:1;體系用保鮮膜密封后置于75℃~90℃的油浴中攪拌加熱,待體系由無色變為淺黃色澄清溶液后停止加熱,至于恒溫培養箱中緩慢降溫至45℃~55℃,取出后迅速向體系中加入一定量的經過預處理的脫水活性污泥,凝膠水溶液與含水率50%~60%的活性污泥混合質量比為5:1至15:1;將加入污泥后的體系繼續水浴加熱至50℃~60℃并恒溫攪拌10min~15min,待攪拌均勻后,置于恒溫培養箱緩慢冷卻,冷卻速度為2K/min-4K/min;溫度降至室溫后,繼續放置20min~30min,體系變為深褐色凝膠塊,經機械切割成長度為2-5mm的方形超分子凝膠包埋微生物顆粒;取少許顆粒自然風干至恒重,得到干凝膠;
S3、將S2制得的超分子凝膠包埋微生物顆粒投加至反應器中,投加為反應容器有效容積的30%-60%,隨后倒入除鹽水,由底部微孔曝氣盤進行曝氣同時調節曝氣量使系統內溶解氧維持在2-3mg/L以激活菌體;曝氣12小時后調小曝氣量使溶解氧維持在0.2-0.5mg/L,開始根據微生物顆粒使用量投加營養鹽并逐步提升進水氨氮負荷。
作為優選,S1中,雜質去除方法為用pH=6.5-7.5的K2HPO4/KH2PO4緩沖液清洗啟動污泥三次后,靜置沉降,傾倒掉上層清液后經板框壓濾機將污泥含水率降至50%~60%備用。
作為優選,S2中,M2和M3的摩爾比為1:1.1至1:1.3。
作為優選,S2中,M2和M3的制備方法包括:
步驟1、化合物S1的合成:將羥基封端的聚乙二醇置于高真空下加熱蒸掉水分;將干燥好的PEG10k溶解于氯仿中,隨后緩慢滴加到1,1-羰基二咪唑的氯仿溶液中;體系在氮氣保護下室溫攪拌,隨后將混合物倒入過量的二乙醚中進行沉淀;通過過濾分離得到粗產物,在真空下干燥得到S1;表示為:

步驟2、化合物M2的合成:將制備好的S1和二氨基化合物S2分別溶解于干燥氯仿中,再分別倒至滴液漏斗中,兩滴液漏斗安裝于三口燒瓶的兩側口,中間口裝機械攪拌器,反應開始時調節兩滴液漏斗滴加速度,待全部滴加完成后將混合物在氮氣保護下繼續室溫攪拌,得到澄清的粘稠溶液;向溶液中加入乙醚后獲得白色沉淀,抽濾得到白色粉末粗產物,收集并在高真空下干燥過夜得化合物M2;表示為:

步驟3、化合物M3的合成:
將制備好的S1和二氨基化合物S3分別溶解于干燥氯仿中,再分別倒至滴液漏斗中,兩滴液漏斗安裝于三口燒瓶的兩側口,中間口裝機械攪拌器,反應開始時調節兩滴液漏斗滴加速度,待全部滴加完成后將混合物在氮氣保護下繼續室溫攪拌,得到澄清的粘稠溶液;向溶液中加入乙醚后獲得白色沉淀,抽濾得到白色粉末粗產物,收集并在高真空下干燥過夜得化合物M3;表示為:

第三方面,提供了一種如第一方面所述超分子凝膠ANAMMOX增強型包埋微生物在處理氨氮廢水的應用。
本發明的有益效果是:
1.本發明主要針對傳統厭氧氨氧化工藝世代周期長、抗沖擊負荷能力弱、污泥富集困難的不足,通過引入六重氫鍵作用形成的超分子凝膠支架對氨氧化菌進行包裹,進而完成有益菌種的篩選和富集,縮短世代周期的同時也大大提升了總氮容積負荷和總氮去除負荷。
2.本發明通過在戊二酸酐橋聯脲基苯酚結構上分別引入羰基和胺基形成對環境因素敏感的動態可逆健使包埋微生物顆粒具有負荷響應功能,凝膠框架片層之間可在高氨氮負荷下自動響應使結構緊縮以免內部包裹的微生物與高濃度氨氮接觸中毒失活,是一種新型智能底物材料。
3.本發明提供的超分子凝膠支架原料簡便易制,合成反應條件溫和產率高,制得的包埋微生物顆粒力學性能優異,能長時間抵御水流剪切力和個體碰撞帶來的沖擊,且化學性質穩定易保存,便于工業化生產和存儲。
(發明人:張馳;朱新平;崔科杰;陳晨;婁寶輝;馮向東;吳賢豪;陳雨帆;張雅琴;黃斐鵬;魯衛哲;張賀;趙文滔;王驍杰)






