申請日2014.10.15
公開(公告)日2015.02.04
IPC分類號C02F9/14
摘要
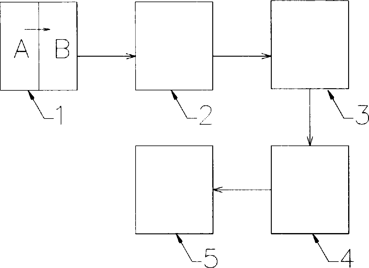
本實用新型提供一種石化廢水生化出水深度處理系統,所述系統包括混凝反應池(1)、沉淀池(2)、臭氧接觸池(3)、中間水池(4)、生物活性炭濾池(5);其中所述混凝反應池(1)的出水口依次與沉淀池(2)、臭氧接觸池(3)、中間水池(4)、生物活性炭濾池(5)連接。本實用新型的石化廢水生化出水深度處理系統操作簡單、處理成本低,經過本實用新型的深度處理系統處理后,生化出水COD由60mg/L降至30mg/L,達到地表水五類排放標準。
權利要求書
1.一種石化廢水生化出水深度處理系統,其特征在于,所述系統包括 混凝反應池(1)、沉淀池(2)、臭氧接觸池(3)、中間水池(4)、生物活性炭濾 池(5);其中所述混凝反應池(1)的出水口依次與沉淀池(2)、臭氧接觸池(3)、 中間水池(4)、生物活性炭濾池(5)連接;所述混凝反應池(1)由池A和池B 組成,由底部孔口相連,池A和池B分別配置快速攪拌機和慢速攪拌機, 其轉速分別為100~300轉/分鐘、40~60轉/分鐘;所述沉淀池(2)出水自 流至臭氧接觸池(3);所述臭氧接觸池(3)出水自流至中間池(4);所述中間 水池(4)出水由水泵提升至生物活性炭濾池(5)。
2.如權利要求1所述的系統,其特征在于,所述混凝池(1)進水口設置在 池A底部,出水口設置在池B上部,與所述沉淀池(2)通過管道相連。
3.如權利要求1所述的系統,其特征在于,所述沉淀池(2)進水口設置 在池底部,出水口設置在池體上部,與所述臭氧接觸池(3)通過管道相連。
4.如權利要求1所述的系統,其特征在于,所述臭氧接觸池(3)的進水口 與水口均設置在池體上部,分別位于池體兩側,與所述中間水池(4)通過管 道相連。
5.如權利要求1所述的系統,其特征在于,所述中間水池(4)的進水口與 出水口分別設置在池體上部與下部。
6.如權利要求1所述的系統,其特征在于,所述生物活性炭濾池(5)的入 水口設置在池體上部,出水口設置在池體上部。
7.如權利要求1所述的系統,其特征在于,所述中間水池(4)的出水口與 所述生物活性炭濾池(5)的入水口之間連接有一水泵。
說明書
一種石化廢水生化出水深度處理系統
技術領域
本實用新型涉及廢水處理領域,尤其涉及石化廢水生化出水深度 處理系統。
背景技術
石化廢水成分復雜,通常含有苯環類、雜環類、多環類等多種難降解 有機物,具有污染物濃度高、毒性強、水質水量波動大等特點,是一種處 理難度較大的工業廢水。國內石化廠大多采用生化法處理石化廢水。近年 來,隨著原油加工深度不斷加大和國家對污水排放要求不斷提高,原有生 化工藝很難滿足要求,很多石化廠生化出水無法達標排放,需進行提標改 造。
發明內容
為了提高石化廢水生化出水水質,本實用新型的研究人員通過大量深 入研究工作,研究出了一種新的石化廢水生化出水深度處理系統,為石化 廠生化出水提標改造提供了一種新方案。
本實用新型的目的在于提供一種石化廢水生化出水深度處理系統。
本實用新型提供了一種石化廢水生化出水處理系統,所述系統包括混 凝反應池、沉淀池、臭氧接觸池、中間水池、生物活性炭濾池;其中所述 混凝反應池的出水口依次與沉淀池、臭氧接觸池、中間水池、生物活性炭 濾池連接;所述混凝反應池由池A和池B組成,池A與池B共壁,在共 壁底部開口相連,池A和池B分別配置快速攪拌機和慢速攪拌機,其轉速 分別為100~300轉/分鐘、40~60轉/分鐘;所述沉淀池出水自流至臭氧接 觸池;所述臭氧接觸池出水自流至中間池;所述中間水池出水由水泵提升 至生物活性炭濾池。
在一個優選例中,其特征在于,所述混凝池進水口設置在池A底部, 出水口設置在池B上部,池B與所述沉淀池通過管道相連。
在另一個優選例中,其特征在于,所述沉淀池進水口設置在池底部, 出水口設置在池體上部,所述沉淀池與所述臭氧接觸池通過管道相連。
在另一個優選例中,其特征在于,所述臭氧接觸池的進水口與水口均 設置在池體上部,分別位于池體兩側,所述臭氧接觸池與所述中間水池通 過管道相連。
在另一個優選例中,其特征在于,所述中間水池的進水口與出水口分 別設置在池體上部與下部。
在另一個優選例中,其特征在于,所述生物活性炭濾池的入水口設置 在池體上部,出水口設置在池體上部。
在另一個優選例中,所述中間水池的出水口與生物活性炭濾池的入水 口之間連接有一水泵。
通過本實用新型提供的石化廢水生化出水深度處理的系統處理石化 廢水生化出水具有如下優點:
(1)石化廢水生化出水COD可由60mg/L降至30mg/L,達地表水五類 排放標準;
(2)運行成本低,操作簡便。







